Abstract
Disinfection and sterilization based on the use of UVC radiation are the key technologies ensuring health and safety. Their reliability depends on assuring the effectiveness of the performed process. In recent years, the rapid development of LED sources emitting high-power radiation in the UVC range has been observed, and there is a growing interest in using them in a variety of smart applications, mostly because they are easy to control, do not contain hazardous substances, and there are prospects to increase their energy efficiency. However, the literature does not provide enough knowledge on the reliability of disinfection with high-power UVC LEDs. This research aims to present a methodology of linking the performance characteristics with assessing the forecasted changes in the disinfection efficiency of exemplary UVC high-power LEDs caused by thermal and temporal changes in their characteristics. Based on the performed degradation test, the impact of the temperature and time of operation of the high-power UVC LEDs on the effectiveness of disinfection was evaluated, and the required disinfection times for exemplary pathogens were calculated. The results reveal a strong influence of the time of operation of high-power UVC LEDs on the disinfection reliability caused by the degradation of their optical power but with a low significance of wavelength shift.
1. Introduction
The SARS-CoV-2 virus pandemic has highlighted the importance of biosecurity in everyday life [,,]. Facing global health problems and the anticipated challenges related to the development of cities, as well as forecasting subsequent pandemics, increased importance has been placed on preventing the transmission of pathogens []. For many years, various methods of deactivating pathogens have been used, including primarily active chemical substances of high toxicity [], electrostatic disinfection technologies [], and UV radiation [,]. The last one is currently being developed in many areas, including the disinfection of water [,], air [], surfaces [], skin [], food products [,], and crops [,]. The main advantages of ultraviolet radiation disinfection are its fast action, low cost, the possibility of full automation, and the lack of risks associated with using chemicals containing chlorine compounds []. The availability of effective and safe devices plays a crucial role in developing new technological solutions based on applying ultraviolet radiation.
Due to the effects of ultraviolet radiation on living organisms, non-germicidal bands (UVA 315–400 nm) and actinic bands (UVB 280–315 nm, UVC 200–280 nm, and VUV 100–200 nm) are distinguished []. The UVB and UVC radiation bands cover the DNA and RNA absorption spectrum, which enables the elimination of viruses, bacteria, and fungi []. Still, not every radiation wavelength in this range is characterized by the same germicidal effectiveness [,,,]. Even a slight change in the wavelength of UV radiation used for disinfection results in a significant modification to its germicidal effectiveness (see Figure 1), e.g., between wavelengths of approximately 265 nm and 255 nm or 275 nm, its decrease is about 10–20% []. The modern germicidal effectiveness curves used are the IESNA and DIN curves, published in []. Although the older Gates curve, proposed in 1930, is not very popular nowadays, it is still sometimes mentioned in research as it was elaborated based on experiments with multiple species, in contrast to the other curves []. According to DIN, the maximum inactivation efficiency equal to 1 is for the wavelength range from 265 nm to 267.5 nm, and for IESNA, it is only for 265 nm [].

Figure 1.
Relative spectral characteristics of the germicidal effectiveness of UV radiation according to [,,] (average—average DIN and IESNA curves).
Currently, the most popular sources of UVC radiation for disinfection are low-pressure mercury lamps (LP-Hg) [] emitting narrowband radiation cumulated around 253.7 nm. The germicidal effectiveness of this wavelength is between 60%, according to [], and 80% [,]. This source of UVC radiation is well characterized, and the maintenance of its operation can be easily predicted. However, due to the harmfulness of mercury, the UN announced the desire to eliminate mercury-containing products, including their significant reduction after 2020. For this reason, UVC LEDs have been developed as the most promising technology to replace LP-Hg lamps.
UVC LEDs are characterized by an emission spectrum comparable to that of an LP-Hg lamp—a typical half-width of the spectrum (FWHM) in the range of 250–280 nm is 10–15 nm []. Their significant advantages are their low energy consumption and the availability of radiation sources with a maximum emission at different wavelengths, including those close to the maximum spectral germicidal effectiveness (RGE) (Figure 1). In addition, unlike LP-Hg lamps, when the power supply is turned on, they emit radiation at the full predicted power, and during their operation, it can be easily adjusted electronically; therefore, they are suitable for smart applications. Although the thermal emission per 1 W of electric power in UVC LEDs is higher than that from LP-Hg lamps, it is easier to manage the heat during operation, ensuring thermal stability []. Among the disadvantages of UVC LEDs, the relatively high price and the low optical power (OP) of single chips (currently up to about 100 mW), as well as energy efficiency (currently 5–10%) [], should be listed. Despite that, due to their small size, they are increasingly being used to construct devices for inactivating microorganisms; a solution with a conventional UVC lamp is impossible or much more complex [], e.g., in water purifiers [], containers for the disinfection and sterilization of small items [], and gas detection sensors [].
Independently from the application, the efficiency and reliability of the deactivation of the pathogen depends on the stability of the OP delivered to the disinfected area. The highest contribution to its instability comes from changes in the characteristics of the source of UVC radiation, which are caused by its degradation. The mechanisms of the degradation of the OP have been the subject of many scientific studies. Among them, the primary concern is the gradual degradation related to the operation time. This phenomenon occurs with the successive loss of OP of the source and is also known for all types of sources for all wavelength ranges; for example, it is the reason for oversizing lighting installations to ensure at least the minimum maintained illuminance on a working plane during an assumed period of operation. Similarly, the sources of UVC radiation should be controlled adequately considering the decrease in the OP in order to maintain the required dose of radiation at the disinfected area. Regardless of the technology of the source of UVC radiation, the effects of the sources’ degradation should be considered by the designers of disinfecting devices and systems.
The degradation rate of optical radiation sources is assessed using standard methods [,,], in which the essential part is conducting a degradation procedure called an accelerated life test (ALT). On this basis, the characteristics of changes in the emitted optical radiation in time can be recognized and predicted. For example, the lifetime of an LP-Hg lamp can be estimated as about 9000 h of operation (depending on the manufacturer), during which the decrease in the OP reaches about 30%. As this type of lamp has been known for many years, this knowledge is widely available, and the manufacturers provide the data.
High-power UVC LEDs are still an emerging technology; therefore, there is a lack of manufacturer information and experimental data on the influence of the operation conditions on their performance and, consequently, on their disinfection process efficiency. Few papers considering the changes in the characteristics of UVC LEDs with an OP of over 10 mW have been published. In [,], the authors showed that 50% of the OP of a 280 nm cooled LED emitter is lost after about 3000 h. The results of the research described in [] indicate that the OP of a UVC LED with a wavelength of 262 nm operating at a constant current of 100 mA decreases by 42% after 250 h of operation []. The authors of some works have proven that a more substantial degradation of electroluminescence over time is observed for LEDs with an emission peak of 275–278 nm [], while the opposite relationship was demonstrated in [] for an LED with an emission peak of 275 nm. In none of these papers were the consequences for disinfection efficiency evaluated.
Currently, UVC LEDs are increasingly being used in several applications. However, apart from reliability analyses and lifetime estimations [,,,,,,], there has been no comparative analysis of the application reliability of commercially available UVC high-power LEDs in the scientific literature. Therefore, this study aims to experimentally assess the effect of degradation of currently available high-power UVC LEDs on their disinfection efficiency. Additionally, the focus on the consequences of selecting various wavelengths of radiation emitted by the LEDs is considered. This problem was not significant before the era of high-power UVC LEDs when only LP-Hg lamps were used. The results of this research will contribute to the knowledge that is significant for microbial safety and the development of smart disinfection technologies, e.g., for potential applications of high-power UVC LEDs in disinfecting robots [].
2. Materials and Methods
Disinfection is a process that depends on the effective delivery of a necessary amount of energy to a surface, which is determined by the dose of energy required to inactivate the microorganisms at the level of 90% (in the air or at the surface). It can be expressed by the radiant energy (in J) delivered to a specific area or its surface density (radiant exposure) (in J/m2) []. These values depend on the environmental conditions (e.g., relative humidity) and the type of microorganism. For LP-Hg lamps, they typically stay within the range from 20 J/m2 to 200 J/m2 []. Technically, this dose of energy, D, can be delivered by generating a specific value of irradiance, E (in mW/cm2 or W/m2), on the disinfected surface and keeping it constant during the disinfection procedure lasting for time tdis [s]:
The delivered energy destroys the molecular structure of the microorganisms, but different wavelengths of optical radiation are characterized by different levels of germicidal effectiveness (Figure 1 and Figure 2). For this reason, to predict the germicidal efficiency of the procedure, the OP of the radiation used for disinfection should be corrected to obtain the value of the effective power:
where OPg—the germicidal weighted optical power (W), OP(λ)—the spectral power distribution (SPD) of optical radiation, and Sg(λ)—the relative spectral sensitivity of the microorganism, which is equal to the average (Equation (3)) spectral germicidal effectiveness (black curve from Figure 1).

Figure 2.
Relative germicidal effectiveness of UV radiation for selected monochromatic wavelengths (average GDI—average RGE of Gates DIN and IESNA curves; average DI—average of DIN and IESNA curves) [,,].
The closer the radiation emission wavelength is to the maximum of the germicidal effectiveness curve (Figure 1 and Figure 2), the higher its expected effectiveness, and thus, it is possible to reduce the working time or the power density of the radiation reaching the surface. This, in turn, affects the system’s geometry and the number and power of the radiation sources used. Sources manufactured with semiconductor technology (LEDs) are considered sources whose operation is affected by the temperature. Therefore, a necessary stage in constructing these disinfection systems is to determine the operating temperature of the UVC LED. The temperature changes may affect the SPD of the emitted optical radiation at various stages of LED operation. The changes in the SPD may include a reduction in the OP, a shift in the emission spectrum ∆λ, and a change in the half-width of the spectrum, ∆FWHM. Consequently, a change in the germicidal weighted power, OPg, of the source and in the disinfection time tdis required to achieve its deactivation at the assumed level may occur. Therefore, it is essential to know how their SPD changes over time to predict the changes in the disinfection efficiency and the required time of the procedure caused by the degradation of the UVC LED emitters.
We conducted research according to the following procedure to obtain data for the analysis. In the first step, the electro-optical characteristics of 6 different UVC LEDs were measured. For this study, emitters of various designs (Figure 3) with an emission in the spectral range of 270–280 nm and an OP in the 10–100 mW range were selected (Table 1). Based on the obtained results, the functional effects of their degradation were assessed. The measurements were carried out in an air-conditioned optical darkroom. Throughout the measurements, the ambient temperature was maintained at 20 °C.

Figure 3.
View of LED chips.

Table 1.
Basic data of tested UVC LEDs.
The measurements included a study of the characteristics of the OP and SPD (λ and FWHM) as a function of the current, I, and the housing temperature, T, before and after the degradation process lasting 1500 h of continuous operation with a DC power supply. During this period, the LEDs were never switched off. To perform such measurements, a dedicated and secure stand with micrometric control of the position of the LEDs against measuring tools was constructed. The measuring stand was based on a basic layout for irradiance and radiant intensity measurement (photodetector next to the radiation source at a constant distance). The field of view of the photodetector was limited by a dedicated shielding element to exclude the effect of other LEDs, and, based on the changes in the irradiance, the changes in the OP were concluded as relative changes in the OP following the relative changes in the irradiance. The OP and SPD measurements were performed for 20 °C and 60 °C housing temperatures and were stabilized by a controlled Peltier-based thermal system using a Cooltronic TC2812 Peltier cell controller, Pt100 temperature sensors, and two Peltier cells with a power of 89 W each. The measurements were carried out by setting the temperature of the LED housing, T, starting from the lowest (20 °C), and then the value of the supply current was set, starting from Imax and reducing it in 10% steps. The LED emitters were supplied separately with direct current with the maximum intensity specified by the manufacturer for the housing temperature of T = 60 °C (Table 1). The OP was measured with an accuracy of ±7% (Thorlabs PMD100D power meter with an S120VC UV extended Si photodiode), while the SPD was captured with a cooled Stellarnet Silver fiberoptic spectrometer.
Based on the measurement results in the second step, the changes in the OP, λ, and FWHM due to the degradation of the tested LEDs were assessed, and their impact on the tdis values for the selected microorganisms was analyzed. The results were compared to the times required for the same process conducted using a non-degraded LP-Hg lamp. For this purpose, the relative germicidal effectiveness values, RGEIESNA,LEDx, RGEDIN,LEDx, and RGEGates,LEDx, of each of the tested LEDs’ radiation were calculated:
where x—the LED number, RGEIESNA,LEDx, RGEDIN,LEDx, and RGEGates,LEDx—the IESNA, DIN, and Gates relative germicidal effectiveness of LED radiation, OPg,IESNA,LEDx, OPg,DIN,LEDx, and OPg,Gates,LEDx—the IESNA, DIN, and Gates germicidal weighted power of LED radiation (W), OPg,LP-Hg—the germicidal weighted power of LP-Hg lamp radiation (W), OPLEDx(λ)—the spectral power distribution of LED radiation, OPLP-Hg(λ)—the spectral power distribution of LP-Hg lamp radiation, and Sg(λ)—the average relative spectral sensitivity of the microorganism.
To estimate the impact of the adopted germicidal curve, the value of tdis for the SARS-CoV-2 virus was calculated as an example for each of the curves (Figure 1), assuming a constant UVC radiation power density E of 1 W/m2 on the exposed surface, as follows:
where x—the LED number, tdis,IESNA,SARS-CoV-2,LEDx, tdis,DIN,SARS-CoV-2,LEDx, and tdis,Gates,SARS-CoV-2,LEDx—the IESNA, DIN, and Gates disinfection time of the SARS-CoV-2 virus with UVC LED radiation (s), DSARS-CoV-2,LP-Hg—the dose of the LP-Hg lamp radiation required to inactivate the SARS-CoV-2 virus by 90% (J/m2), E—irradiance on the surface, OPg,LP-Hg—the average germicidal weighted power of LP-Hg lamp (W), and OPg,IESNA,LEDx, and OPg,DIN,LEDx, OPg,Gates,LEDx—the IESNA, DIN, and Gates germicidal weighted power of each LED (W).
Then, the required average disinfection times, tdis,average, for a 90% disinfection of the selected pathogens (viruses, bacteria, and fungi), which are often found in hospitals (Table 2), were determined for the tested UVC LEDs, assuming a constant radiation power density E equal to 1 W/m2 on the exposed surface:
where x—LED number, tdis,average,P,LEDx—average disinfection time of pathogen P with UVC LED radiation (s), DP,LP-Hg—the dose of the LP-Hg lamp radiation required to inactivate microorganism P by 90% (J/m2), E—surface radiation power density (assumed equal to 1 W/m2), RGELEDx—average(IESNA, DIN, Gates) germicidal effectiveness for each LED, OPg,LP-Hg—the average germicidal weighted power of LP-Hg lamp (W), and OPg,LEDx—the average germicidal weighted power for each LED (W).

Table 2.
Doses of incident radiation DLP-Hg (for a wavelength of 253.7 nm) required for deactivation of 90% of selected pathogens in laboratory conditions [].
3. Results
Figure 4 presents the changes in the OP of the radiation of the tested UVC LEDs over time after 1500 h of continuous operation. The OP degradation rate for each of the tested LEDs was different. The decrease in the measured OP for most of the tested LEDs was between 21% and 44%. In the case of one of the tested LEDs, catastrophic degradation occurred (LED4, multi-emitter chip); consequently, the OP drop was significantly higher (over 80%).

Figure 4.
Changes in OP of tested UVC LEDs over time (OP of each LED relative to OP of this LED at time 0 h and temperature 60 °C).
The differences in the OP degradation rate may have been caused by several reasons, for example, differences in the internal structure of the tested chips, various current densities, and various thermal resistances of the chips. These data were not available in the manufacturers’ datasets, but each affects the operation conditions of an LED and its junction temperature. Figure 5 presents the characteristics of the OP of the tested LEDs for two test temperatures before and after the degradation process. For each LED, we observed a significant change in the shape of the characteristic after the procedure time, which occurred with the decrease in the OP.

Figure 5.
Characteristics of OP as a function of the supply current of the tested UVC LEDs before and after the degradation process for two housing temperatures (20 °C and 60 °C) (OP of each LED relative to OP of this LED at time 0 h and temperature 20 °C).
Figure 6 and Figure 7 present the relative changes in the SPD of the tested UVC LEDs due to the time of operation (Figure 6) and temperature (Figure 7). According to these results, the degradation process caused a change in the peak wavelength of ∆λ = ±0.5 nm (Figure 8a) and the change in the FWHM of ∆FWHM = <−0.5 nm; 1.0 nm > (Figure 8b) depending on the UVC LED type. An increase in the temperature of the LED housing from 20 °C to 60 °C (Figure 7) caused an increase in the wavelength at the emission peak ∆λ of 0.5–1.0 nm (Figure 8a) and the ∆FWHM of 0.5–1.0 nm (Figure 8b). A more significant impact was observed regarding energy efficiency; an increase in the temperature from 20 °C to 60 °C resulted in a reduction in the OP of from 4 to 9% (Figure 5 and Figure 7).

Figure 6.
Relative SPDs of UVC LEDs measured before (solid line) and after degradation procedure (dotted line) (SPDs of LEDs before the degradation process are the reference); T = 60 °C, ILED = Imax. LP-Hg spectrum was added as a reference to illustrate the difference in the shape of SPD.

Figure 7.
Relative SPDs of UVC LEDs measured for emitter housing temperatures of T = 20 °C and 60 °C; t = 1500 h, ILED = Imax. LP-Hg spectrum was added as a reference to illustrate the difference in the shape of SPD.

Figure 8.
Peak wavelength λ (a) and spectral half-width FWHM (b) of LEDs before (0 h) and after the procedure of degradation (1500 h) at temperatures of 20 °C and 60 °C.
Although the detected changes in the value of λ and the FWHM of the tested LEDs seem to be not very significant, they may affect the disinfection effectiveness due to the strong dependence of the pathogen sensitivity on the spectral distribution of the radiation (Figure 1).
3.1. Evaluation of the Impact of Degradation of UVC LEDs on Their Relative Germicidal Effectiveness
To analyze the effect of ∆OP, ∆λ, and ∆FWHM, based on the results presented in Figure 4, Figure 5, Figure 6, Figure 7 and Figure 8, the times required for the deactivation of the selected groups of pathogens were calculated (Equations (4)–(6)) considering different efficiency curves (IESNA, DIN, Gates—Figure 1).
Figure 9 and Figure 10 present the results of calculating the relative germicidal effectiveness of the tested LEDs due to the degradation procedure and the increase in the operation temperature, respectively, assuming delivering an equal OP to the disinfected surface from the LP-Hg and all LEDs before degradation.

Figure 9.
RGELEDx of UVC LED radiation before and after the degradation process at temperature of 60 °C related to the GE obtained by non-degraded LP-Hg lamp; (a) decrease in optical power excluded (only effect of time on λ and FWHM included), (b) the decrease in optical power included (cumulative effect of time on OP, λ, and FWHM).

Figure 10.
RGELEDx of tested UVC LEDs radiation when changing the operating temperature from 20 °C to 60 °C, causing a change in the radiation spectrum (cumulative effect of temperature on OP, λ, and FWHM; equal OP of each LED and temperature of 20 °C assumed).
Comparing the calculated pathogen germicidal efficiencies, RGELED1 and RGELED5 (Equations (4)–(6)), for the LEDs emitting different wavelengths, LED1 (271 nm) and LED5 (281 nm), relative differences ranging from 32% (IESNA) to 64% (Gates) can be noticed (Figure 9b). It follows that the degradation process significantly impacted the power of the UVC LED radiation and, as a result, the RGE. The effect of the changes in the OP and spectral parameters of each tested LED on the RGE after 1500 h of degradation is presented in Figure 9b. During this research, a 20.5–85% decrease in the OP of each LED can be observed, which caused a 22–85% decrease in their RGE.
Based on the above results, analyses were carried out to determine the role of the changes in the spectral parameters in this process (Figure 9a). According to the results of the calculations, the changes in the value of λ and the FWHM of the tested LEDs due to the degradation while maintaining a constant OP on the disinfection effectiveness can be considered insignificant. The calculated RGE values due to the degradation shift in the SPD varied only within ±2%.
The results of the calculation of the effect of the increase in the operation temperature on the RGE are presented in Figure 10. The most significant decrease in the RGE of 14–16% (depending on the assumed pathogen spectral sensitivity curve Sg(λ)) was observed for LED5 with an increase in the housing temperature from 20 °C to 60 °C. The most minor changes in the RGE were noted for LED4 and LED2 (7–9%). The above changes in the RGE resulted directly from the difference in their OP and, to a lesser extent, from the SPD of the radiation.
3.2. Evaluation of the Impact of Degradation on the Disinfection Time
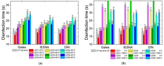
In the final step, the predicted required average disinfection times tdis,average for each LED was determined according to Equation (10) considering the IESNA and DIN curves and the required doses of radiation (Table 2) assuming equal irradiance values (E = 1 W/m2) of all sources before degradation. The results are presented in Figure 11 and Figure 12. According to our results and based on the literature data (Table 2), the inactivation of 90% of the population of SARS-CoV-2 virus in the laboratory conditions with E = 1 W/m2 could be obtained after 18 s of exposure to LP-Hg radiation (Figure 12). For each of the tested LEDs, tdis (Equations (7)–(9)) stayed within the range from 14.3 s to 23.4 s before degradation (Figure 12b), while tdis,average ranged from 16.3 s to 21.9 s (Figure 11b). After the degradation procedure, tdis extended from 18.5 s to 34.7 s (Figure 12b), and tdis,average extended from 21 s to 34.6 s (Figure 11b).

Figure 11.
tdis,average of exemplary pathogens by UVC LED radiation; (a) before degradation, LEDs operating at temperatures T = 20 °C and 60 °C (cumulative effect of temperature onto OP, λ, and FWHM), (b) before and after the degradation process at temperature of 60 °C (cumulative effect of time on OP, λ, and FWHM). Additional data calculated for other pathogens can be found in Appendix A.

Figure 12.
tdis of the SARS-CoV-2 virus by UVC LED radiation determined based on the spectral germicidal curves of Gates, IESNA, and DIN: (a) before degradation, LEDs working at temperatures of T = 20 °C and 60 °C (cumulative effect of temperature on OP, λ, and FWHM) (b) before and after the UVC LED degradation process at temperature of 60 °C (cumulative effect of time on OP and SPD)—for LED4 times significantly longer and out of range due to catastrophic degradation: Gates—134.9 s, IESNA—134.8 s, DIN—133.2 s.
We also observed the impact of the temperature of operation on the value of tdis. For the low LED housing temperature T = 20 °C, tdis ranged from 16.0 s to 25.3 s (Figure 12a), and the value of tdis,average ranged from 16.8 s to 23.6 s (Figure 11a). For the higher temperatures (T = 60 °C), tdis ranged from 17.6 s to 30.2 s (Figure 12a), and tdis,average ranged from 18.4 s to 27.7 s (Figure 11a). Disregarding these changes in the disinfection time means a significant decrease in the reliability of the process and, consequently, insufficient microbiological safety.
4. Discussion
The results of the measurements of the optical power and spectral parameters of the tested LEDs (Figure 4, Figure 5, Figure 6, Figure 7 and Figure 8) showed that in order to ensure the stability of the OP of UVC LEDs in disinfection systems, the changes to the specific operating conditions (I, T) as well as their impact on the degradation process resulting in a decrease in the electroluminescence (OP) over time must be known. The results of our tests indicated that the time of operation affects the characteristics of high-power UVC LEDs. As predicted, similarly to LEDs operating in other spectral ranges, the supply current during the tests, the housing and junction temperatures, and the structure of the emitter are also important.
According to our results, the degradation of the OP of the tested high-power UVC LEDs was the strongest during the initial 100 h of operation, after which the process was slower (Figure 4). This observation confirms the results available in the literature []. The analysis of the influence of the degradation on the spectral parameters of the radiation of the UVC LEDs showed that the changes in the value of λ and the FWHM were not more significant than +/−0.5 nm and could be considered insignificant. On the contrary, the increase in the LED housing temperature affected its spectral parameters enough to be evident in terms of the disinfection reliability. According to our calculations and including the germicidal effectiveness curves (Figure 1), we may state that even such minor modifications to the value of λ of UVC radiation, as obtained in our tests, may affect the exposure time required to achieve a certain level of disinfection. A more significant impact was observed in terms of the thermal changes in OP. According to our research, the decrease in the OP was the most substantial effect of the time-related degradation of UVC LEDs. Consequently, it had the highest impact on the required disinfection time tdis (Figure 11b and Figure 12b), which was inversely proportional to the changes in the relative germicidal effectiveness RGE (Figure 9b). A similar relationship should be considered to include the effect of the temperature on the OP.
An LP-Hg lamp (currently the most popular germicidal lamp) was chosen as a reference with the assumption that a constant irradiance was maintained. This result means that when the LED1 emitting peak wavelength at 271 nm was used, a higher effectiveness is obtained, and therefore, a shorter disinfection time could be applied to achieve the same effect. This was caused by the difference in the peak wavelength of the emitted optical radiation and the position of this wavelength concerning the peaks of the germicidal curves in Figure 1. The peak of LED1 was the nearest to the peaks of these curves, and therefore, it may be recognized as the most efficient if the spectrum is considered. When comparing the RGE characteristics for monochromatic wavelengths and the real radiation of LED and LP-HG sources with actual spectral distributions, it should be emphasized that the differences were noticeable and reached up to 10%, as shown in Figure 2 versus Figure 9a.
5. Conclusions
We present these results to spread awareness of the consequences of applying the currently available wavelengths of UVC LEDs in disinfecting systems because we have observed their increasing applicability in research and commercial projects. Our discussions with researchers of various specializations since the beginning of the COVID-19 pandemic convinced us that this awareness is not common.
Our research aimed to analyze the disinfection reliability of the exemplary latest technological solutions for UV radiation sources. For this purpose, we selected six models of high-power UVC LEDs and analyzed their characterization during a 1500 h degradation test. Based on the results of the measurements, we evaluated the disinfection times of exemplary microorganisms. Therefore, we linked the UVC source’s degradation performance with the effectiveness of the disinfection process.
This research shows that applying UVC LED technology in disinfection devices requires a careful approach compared to using LP-Hg lamps. If the degradation effects (thermal or time-related) are not carefully investigated and considered during the design of the device or the duration of disinfection is not extended gradually during the device’s lifetime, the reliability of disinfection is not assured. Precisely, the delivered doses are not controlled. To conduct an effective disinfection process, it is necessary to know the wavelength of the emission (affecting the germicidal effectiveness) and to control the optical power of the sources after their thermal stabilization. Therefore, for each UVC LED emitter, it is necessary to determine its operating conditions (I, T) and their impact on the degradation process (decrease in electroluminescence and optical power over time). The prediction of the system efficiency should take into account the gradual reduction in the emitted optical power. Constant or periodic control of the energy parameters of the radiation should be recommended after each device start-up to ensure stable performance characteristics in the disinfection process. The most important operational parameters affecting the degradation rate of UVC LEDs are the operating current and operating temperature.
Our research shows that the reliability of long-term disinfection using UVC LEDs is limited if the degradation effects are neglected. Unlike LP-Hg lamps, the degradation of LEDs still requires investigation and analysis, as the variation in the parameters of commercially available UVC LEDs is significant, not commonly known, and depends on many factors, e.g., their construction, the manufacturer, and the quality of the emitter and its operating conditions. One of the leading technical problems is also the availability of manufacturer data, which are more modest when compared to emitters operating in the visible range. The ideal situation would be if manufacturers delivered degradation data on the guaranteed disinfection efficacy based on statistical measurements or at least the expected lifetime evaluated similarly to LP-Hg lamps. However, we can state, beyond any doubt, that when designing disinfection systems based on UVC LEDs, extreme caution should be taken due to their unpredictable degradation, especially in the absence of data to assess the current density of the semiconductor junction. It can also be noticed that when comparing the results of the UVC LED lifetime with the doses required for microorganism deactivation, a disinfection time of a single procedure in laboratory conditions may not be very time-consuming. However, it is converted into a longer disinfection time in actual conditions while maintaining similar irradiance values. Due to a specific area of health safety, it seems reasonable to elaborate dedicated methods, systems, and algorithms to control the emitter operating point over time in order to obtain a stable disinfection efficiency when LED emitters are applied. One of the solutions may be the implementation of controlling the current of UVC LEDs in a system with a feedback loop containing a control module of optical power, similar to the stabilization of the optical power of semiconductor lasers. However, a gradual increase in the supply current may lead to a decrease in the lifetime of UVC LEDs.
Author Contributions
Conceptualization, Ł.G. and U.J.B.; methodology, Ł.G. and U.J.B.; validation, Ł.G. and U.J.B.; formal analysis, Ł.G. and U.J.B.; investigation, Ł.G. and U.J.B.; data curation, Ł.G. and U.J.B.; writing—original draft preparation, Ł.G. and U.J.B.; writing—review and editing, Ł.G. and U.J.B.; visualization, Ł.G.; supervision, U.J.B.; project administration, M.Z.; funding acquisition, M.Z. All authors have read and agreed to the published version of the manuscript.
Funding
This paper was supported by the following projects: “PROTECT MED—development of innovative solutions to increase the safety of staff and patients of infectious and single-name hospitals”, implemented as part of the National Centre for Research and Development project “Support for single-name hospitals in the fight against the spread of SARS-CoV-2 infection and in the treatment of COVID-19”, and WZ/WE-IA/3/2023 at the Bialystok University of Technology.
Institutional Review Board Statement
Not applicable.
Informed Consent Statement
Not applicable.
Data Availability Statement
Data are contained within the article. Measurement data used to prepare the figures will be made available in tabular form on request by corresponding authors.
Conflicts of Interest
The authors declare no conflict of interest.
Appendix A

Table A1.
tdis,average (in seconds) of pathogens by UVC LED radiation before and after the degradation process at temperature of 60 °C (cumulative effect of time on OP, λ, and FWHM) at E = 1 W/m2.
Table A1.
tdis,average (in seconds) of pathogens by UVC LED radiation before and after the degradation process at temperature of 60 °C (cumulative effect of time on OP, λ, and FWHM) at E = 1 W/m2.
Pathogen | LP-Hg Lamp 0 h | LED1 0 h | LED1 1500 h | LED2 0 h | LED2 1500 h | LED3 0 h | LED3 1500 h | LED4 0 h | LED4 1500 h | LED5 0 h | LED5 1500 h | LED6 0 h | LED6 1500 h |
---|---|---|---|---|---|---|---|---|---|---|---|---|---|
Escherichia coli | 30 | 27.2 | 34.9 | 32.1 | 52.3 | 32.2 | 57.7 | 33.6 | 223.3 | 35.4 | 49.7 | 36.6 | 46.9 |
Pseudomonas aeruginosa | 55 | 49.9 | 64.0 | 58.8 | 95.8 | 59.0 | 105.7 | 61.6 | 409.4 | 64.9 | 91.1 | 67.0 | 86.1 |
Staphylococcus aureus | 26 | 23.6 | 30.3 | 27.8 | 45.3 | 27.9 | 50.0 | 29.1 | 193.5 | 30.7 | 43.1 | 31.7 | 40.7 |
Bacillus subtilis | 71 | 64.4 | 82.7 | 75.9 | 123.7 | 76.2 | 136.5 | 79.6 | 528.5 | 83.7 | 117.6 | 86.5 | 111.1 |
Aspergillus niger | 1320 | 1198 | 1537 | 1412 | 2299 | 1416 | 2537 | 1479 | 9826 | 1557 | 2187 | 1609 | 2065 |
SARS-CoV-2 | 18 | 16.3 | 21.0 | 19.3 | 31.4 | 19.3 | 34.6 | 20.2 | 134.0 | 21.2 | 29.8 | 21.9 | 28.2 |
Rotavirus | 81 | 73.5 | 94.3 | 86.6 | 141.1 | 86.9 | 155.7 | 90.8 | 602.9 | 95.5 | 134.2 | 98.7 | 126.7 |

Table A2.
tdis,average (in seconds) of pathogens by UVC LED radiation before degradation, LEDs operating at temperatures of T = 20 °C and 60 °C (cumulative effect of temperature on OP, λ, and FWHM) at E = 1 W/m2.
Table A2.
tdis,average (in seconds) of pathogens by UVC LED radiation before degradation, LEDs operating at temperatures of T = 20 °C and 60 °C (cumulative effect of temperature on OP, λ, and FWHM) at E = 1 W/m2.
Pathogen | LP-Hg Lamp | LED1 20 °C | LED1 60 °C | LED3 20 °C | LED3 60 °C | LED4 20 °C | LED4 60 °C | LED6 20 °C | LED6 60 °C | LED5 20 °C | LED5 60 °C | LED2 20 °C | LED2 60 °C |
---|---|---|---|---|---|---|---|---|---|---|---|---|---|
Escherichia coli | 30 | 28.7 | 31.2 | 33.8 | 38.4 | 35.2 | 38.0 | 37.8 | 44.2 | 37.6 | 42.0 | 33.6 | 36.4 |
Pseudomonas aeruginosa | 55 | 52.7 | 57.3 | 62.0 | 70.5 | 64.6 | 69.6 | 69.3 | 81.0 | 68.9 | 77.0 | 61.5 | 66.7 |
Staphylococcus aureus | 26 | 24.9 | 27.1 | 29.3 | 33.3 | 30.5 | 32.9 | 32.7 | 38.3 | 32.6 | 36.4 | 29.1 | 31.5 |
Bacillus subtilis | 71 | 68.0 | 73.9 | 80.0 | 91.0 | 83.4 | 89.9 | 89.4 | 104.6 | 89.0 | 99.4 | 79.5 | 86.0 |
Aspergillus niger | 1320 | 1264 | 1375 | 1487 | 1691 | 1551 | 1672 | 1662 | 1944 | 1654 | 1848 | 1477 | 1600 |
SARS-CoV-2 | 18 | 17.2 | 18.7 | 20.3 | 23.1 | 21.1 | 22.8 | 22.7 | 26.5 | 22.6 | 25.2 | 20.1 | 21.8 |
Rotavirus | 81 | 77.6 | 84.4 | 91.3 | 103.8 | 95.2 | 102.6 | 102.0 | 119.3 | 101.5 | 113.4 | 90.6 | 98.2 |
References
- Hummel, A.; Ergai, A.; Spiva, L.A.; Toney, S.; Crawford, A. Rapid Design and Implementation of a UVC Decontamination Room. Sci. Rep. 2022, 12, 835. [Google Scholar] [CrossRef] [PubMed]
- Freeman, S.; Kibler, K.; Lipsky, Z.; Jin, S.; German, G.K.; Ye, K. Systematic Evaluating and Modeling of SARS-CoV-2 UVC Disinfection. Sci. Rep. 2022, 12, 5869. [Google Scholar] [CrossRef] [PubMed]
- Vlaskin, M.S. Review of Air Disinfection Approaches and Proposal for Thermal Inactivation of Airborne Viruses as a Life-Style and an Instrument to Fight Pandemics. Appl. Therm. Eng. 2022, 202, 117855. [Google Scholar] [CrossRef] [PubMed]
- Sellera, F.P.; Sabino, C.P.; Cabral, F.V.; Ribeiro, M.S. A Systematic Scoping Review of Ultraviolet C (UVC) Light Systems for SARS-CoV-2 Inactivation. J. Photochem. Photobiol. 2021, 8, 100068. [Google Scholar] [CrossRef] [PubMed]
- Pelletier, J.P.R.; Transue, S.; Snyder, E.L. Pathogen Inactivation Techniques. Best Pract. Res. Clin. Haematol. 2006, 19, 205–242. [Google Scholar] [CrossRef] [PubMed]
- Feng, Z.; Cao, S.-J.; Wang, J.; Kumar, P.; Haghighat, F. Indoor Airborne Disinfection with Electrostatic Disinfector (ESD): Numerical Simulations of ESD Performance and Reduction of Computing Time. Build. Environ. 2021, 200, 107956. [Google Scholar] [CrossRef] [PubMed]
- Zajkowski, M. Promieniowanie UV a Pandemia COVID-19. Wiadomości Elektrotechniczne 2021, 1, 8–12. [Google Scholar] [CrossRef]
- Jarvis, P.; Autin, O.; Goslan, E.H.; Hassard, F. Application of Ultraviolet Light-Emitting Diodes (UV-LED) to Full-Scale Drinking-Water Disinfection. Water 2019, 11, 1894. [Google Scholar] [CrossRef]
- Włodyka-Bergier, A.; Bergier, T. Impact of Low-Pressure UV Lamp on Swimming Pool Water Quality and Operating Costs. Energies 2021, 14, 5013. [Google Scholar] [CrossRef]
- Kim, D.K.; Kang, D.H. UVC LED Irradiation Effectively Inactivates Aerosolized Viruses, Bacteria, and Fungi in a Chamber-Type Air Disinfection System. Appl. Environ. Microbiol. 2018, 84, e00944-18. [Google Scholar] [CrossRef]
- Kchaou, M.; Abuhasel, K.; Khadr, M.; Hosni, F.; Alquraish, M. Surface Disinfection to Protect against Microorganisms: Overview of Traditional Methods and Issues of Emergent Nanotechnologies. Appl. Sci. 2020, 10, 6040. [Google Scholar] [CrossRef]
- Rutala, W.A.; Weber, D.J. Disinfection, Sterilization, and Antisepsis: An Overview. Am. J. Infect. Control 2016, 44, e1–e6. [Google Scholar] [CrossRef] [PubMed]
- Chawla, A.; Lobacz, A.; Tarapata, J.; Zulewska, J. UV Light Application as a Mean for Disinfection Applied in the Dairy Industry. Appl. Sci. 2021, 11, 7285. [Google Scholar] [CrossRef]
- Guan, Z.; Liu, P.; Zhou, T.; Zhou, L.; Zhang, D.; Xie, Q.; Yu, Q.; He, Y.; Wang, S.; Wang, X.; et al. Study on the Light Field Regulation of UVC-LED Disinfection for Cold Chain Transportation. Appl. Sci. 2022, 12, 1285. [Google Scholar] [CrossRef]
- Vijay Rakesh Reddy, S.; Sudhakar Rao, D.V.; Sharma, R.R.; Preethi, P.; Pandiselvam, R. Role of Ozone in Post-Harvest Disinfection and Processing of Horticultural Crops: A Review. Ozone Sci. Eng. 2022, 44, 127–146. [Google Scholar] [CrossRef]
- Dombrovsky, A.; Mor, N.; Gantz, S.; Lachman, O.; Smith, E. Disinfection Efficacy of Tobamovirus-Contaminated Soil in Greenhouse-Grown Crops. Horticulturae 2022, 8, 563. [Google Scholar] [CrossRef]
- Matsumoto, T.; Tatsuno, I.; Hasegawa, T. Instantaneous Water Purification by Deep Ultraviolet Light in Water Waveguide: Escherichia Coli Bacteria Disinfection. Water 2019, 11, 968. [Google Scholar] [CrossRef]
- Kowalski, W. Ultraviolet Germicidal Irradiation Handbook; Springer: Berlin/Heidelberg, Germany, 2009; ISBN 978-3-642-01998-2. [Google Scholar]
- Gates, F.L. A Study of the Bactericidal Action of Ultra Violet Light: III. The Absorption of Ultra Violet Light by Bacteria. J. Gen. Physiol. 1930, 14, 31–42. [Google Scholar] [CrossRef]
- IESNA. The IESNA Lighting Handbook: Reference & Application, 9th ed.; Rea, M.S., Ed.; Illuminating Engineering Society of North America: New York, NY, USA, 2000; ISBN 0-87995-150-8. [Google Scholar]
- DIN 5031-10:2018-03; Optical Radiation Physics and Illuminating Engineering—Part 10: Photobiologically Effective Radiation, Quantities, Symbols and Action Spectra. Deutsches Institut für Normung: Berlin, Germany, 2018.
- Liang, J.-J.; Liao, C.-C.; Chang, C.-S.; Lee, C.-Y.; Chen, S.-Y.; Huang, S.-B.; Yeh, Y.-F.; Singh, K.J.; Kuo, H.-C.; Lin, Y.-L.; et al. The Effectiveness of Far-Ultraviolet (UVC) Light Prototype Devices with Different Wavelengths on Disinfecting SARS-CoV-2. Appl. Sci. 2021, 11, 10661. [Google Scholar] [CrossRef]
- Beck, S.E.; Hull, N.M.; Poepping, C.; Linden, K.G. Wavelength-Dependent Damage to Adenoviral Proteins Across the Germicidal UV Spectrum. Environ. Sci. Technol. 2018, 52, 223–229. [Google Scholar] [CrossRef]
- Commission Internationale de l’Eclairage. Technical Report: Ultraviolet Air Disinfection (CIE 155/2003); CIE: Vienna, Austria, 2003. [Google Scholar]
- Giese, N.; Darby, J. Sensitivity of Microorganisms to Different Wavelengths of UV Light: Implications on Modeling of Medium Pressure UV Systems. Water Res. 2000, 34, 4007–4013. [Google Scholar] [CrossRef]
- Reed, N.G. The History of Ultraviolet Germicidal Irradiation for Air Disinfection. Public Health Rep. 2010, 125, 15–27. [Google Scholar] [CrossRef]
- Ahmad, S.I.; Christensen, L.; Baron, E. History of UV Lamps, Types, and Their Applications. In Ultraviolet Light in Human Health, Diseases and Environment, 1st ed.; Ahmad, S.I., Ed.; Springer International Publishing: New York, NY, USA, 2017; Volume 996, pp. 3–11. [Google Scholar] [CrossRef]
- Sholtes, K.A.; Lowe, K.; Walters, G.W.; Sobsey, M.D.; Linden, K.G.; Casanova, L.M. Comparison of Ultraviolet Light-Emitting Diodes and Low-Pressure Mercury-Arc Lamps for Disinfection of Water. Environ. Technol. 2016, 37, 2183–2188. [Google Scholar] [CrossRef] [PubMed]
- Ploch, N.L.; Einfeldt, S.; Frentrup, M.; Rass, J.; Wernicke, T.; Knauer, A.; Kueller, V.; Weyers, M.; Kneissl, M. Investigation of the Temperature Dependent Efficiency Droop in UV LEDs. Semicond. Sci. Technol. 2013, 28, 125021. [Google Scholar] [CrossRef]
- Hsu, T.-C.; Teng, Y.-T.; Yeh, Y.-W.; Fan, X.; Chu, K.-H.; Lin, S.-H.; Yeh, K.-K.; Lee, P.-T.; Lin, Y.; Chen, Z.; et al. Perspectives on UVC LED: Its Progress and Application. Photonics 2021, 8, 196. [Google Scholar] [CrossRef]
- Amano, H.; Collazo, R.; De Santi, C.; Einfeldt, S.; Funato, M.; Glaab, J.; Hagedorn, S.; Hirano, A.; Hirayama, H.; Ishii, R.; et al. The 2020 UV Emitter Roadmap. J. Phys. D Appl. Phys. 2020, 53, 503001. [Google Scholar] [CrossRef]
- Gaska, I.; Bilenko, O.; Smetona, S.; Bilenko, Y.; Gaska, R.; Shur, M. Deep UV LEDs for Public Health Applications. Int. J. High Speed Electron. Syst. Syst. 2014, 23, 1450018. [Google Scholar] [CrossRef]
- Khan, S.; Newport, D.; Le Calvé, S. Gas Detection Using Portable Deep-UV Absorption Spectrophotometry: A Review. Sensors 2019, 19, 5210. [Google Scholar] [CrossRef]
- IESNA TM-28-14; Projecting Long-Term Luminous Flux Maintenance of LED Lamps and Luminaries. Illuminating Engineering Society: New York, NY, USA,, 2014.
- IESNA TM-21-11; Projecting Long Term Lumen Maintenance of LED Light Sources. Illuminating Engineering Society: New York, NY, USA, 2011.
- Available online: https://www.lighting.philips.nl/ (accessed on 1 October 2023).
- Fujioka, A.; Asada, K.; Yamada, H.; Ohtsuka, T.; Ogawa, T.; Kosugi, T.; Kishikawa, D.; Mukai, T. High-Output-Power 255/280/310 Nm Deep Ultraviolet Light-Emitting Diodes and Their Lifetime Characteristics. Semicond. Sci. Technol. 2014, 29, 084005. [Google Scholar] [CrossRef]
- Sun, B.; Jiang, X.; Yung, K.-C.; Fan, J.; Pecht, M.G. A Review of Prognostic Techniques for High-Power White LEDs. IEEE Trans. Power Electron. 2017, 32, 6338–6362. [Google Scholar] [CrossRef]
- Glaab, J.; Haefke, J.; Ruschel, J.; Brendel, M.; Rass, J.; Kolbe, T.; Knauer, A.; Weyers, M.; Einfeldt, S.; Guttmann, M.; et al. Degradation Effects of the Active Region in UV-C Light-Emitting Diodes. J. Appl. Phys. 2018, 123, 104502. [Google Scholar] [CrossRef]
- Trivellin, N.; Fiorimonte, D.; Piva, F.; Buffolo, M.; De Santi, C.; Meneghesso, G.; Zanoni, E.; Meneghini, M. Reliability of Commercial UVC LEDs: 2022 State-of-the-Art. Electronics 2022, 11, 728. [Google Scholar] [CrossRef]
- Trivellin, N.; Piva, F.; Fiorimonte, D.; Buffolo, M.; De Santi, C.; Zanoni, E.; Meneghesso, G.; Meneghini, M. Performance and Degradation of Commercial UV-C LEDs for Disinfection Purposes. Phys. Stat. Sol. A 2023, 220, 2200900. [Google Scholar] [CrossRef]
- Buffolo, M.; Caria, A.; Piva, F.; Roccato, N.; Casu, C.; De Santi, C.; Trivellin, N.; Meneghesso, G.; Zanoni, E.; Meneghini, M. Defects and Reliability of GaN-Based LEDs: Review and Perspectives. Phys. Stat. Sol. A 2022, 219, 2100727. [Google Scholar] [CrossRef]
- Letson, B.C.; Conklin, J.W.; Wass, P.; Barke, S.; Mueller, G.; Rasel, M.A.J.; Haque, A.; Pearton, S.J.; Ren, F. Review—Reliability and Degradation Mechanisms of Deep UV AlGaN LEDs. ECS J. Solid State Sci. Technol. 2023, 12, 066002. [Google Scholar] [CrossRef]
- Trivellin, N.; Monti, D.; Piva, F.; Buffolo, M.; De Santi, C.; Zanoni, E.; Meneghesso, G.; Meneghini, M. Degradation Processes of 280 Nm High Power DUV LEDs: Impact on Parasitic Luminescence. Jpn. J. Appl. Phys. 2019, 58, SCCC19. [Google Scholar] [CrossRef]
- Trivellin, N.; Piva, F.; Fiorimonte, D.; Buffolo, M.; De Santi, C.; Orlandi, V.T.; Dughiero, F.; Meneghesso, G.; Zanoni, E.; Meneghini, M. UV-Based Technologies for SARS-CoV2 Inactivation: Status and Perspectives. Electronics 2021, 10, 1703. [Google Scholar] [CrossRef]
- Dzierżek, K.; Rećko, M.; Zajkowski, M.; Błaszczak, U. RobUV–Robotic Decontamination System. Int. J. Mech. Eng. Robot. Res. 2022, 11, 405–410. [Google Scholar] [CrossRef]
- ISO 15714:2019(En); Method of Evaluating the UV Dose to Airborne Microorganisms Transiting in-Duct Ultraviolet Germicidal Irradiation Devices. ISO: Geneva, Switzerland, 2019.
Disclaimer/Publisher’s Note: The statements, opinions and data contained in all publications are solely those of the individual author(s) and contributor(s) and not of MDPI and/or the editor(s). MDPI and/or the editor(s) disclaim responsibility for any injury to people or property resulting from any ideas, methods, instructions or products referred to in the content. |
© 2023 by the authors. Licensee MDPI, Basel, Switzerland. This article is an open access article distributed under the terms and conditions of the Creative Commons Attribution (CC BY) license (https://creativecommons.org/licenses/by/4.0/).