Research into a Marine Helicopter Traction System and Its Dynamic Energy Consumption Characteristics
Abstract
:1. Introduction
2. Working Principle
3. Dynamic Energy Consumption Model of the System
- (1)
- The output speed of the synchronous motor (flow source, Sf) causes the motor spindle (inertia element, I4) to rotate, during which the rotational damping of the motor spindle (resistive element, R5) needs to be overcome, and the torque angle of the motor spindle changes with the torque received (capacitive element, C2);
- (2)
- The rotation of the motor spindle will amplify the torque and reduce the speed through the gearbox transmission ratio (converter, TF1), thereby driving the gearbox and the steel cable drum (inertia element, I10) to rotate. During this period, it is necessary to overcome the rotational damping of the gearbox and the steel cable drum (resistive element, R11), and the output shaft torsion angle of the gearbox changes with the torque received (capacitive element, C8);
- (3)
- At the steel cable drum, energy transfer is divided into ① the rotation of the steel cable drum is converted into the translation of the steel cable (converter, TF2), and the steel cable is fixedly connected to the correction device, thereby pulling the correction device and the captured helicopter (inertia element, I17). During this period, it is necessary to overcome the motion damping of the correction device on the deck (resistive element, R18) and the external load of the helicopter (potential source, Se). At the same time, the length of the steel cable varies with the force applied (capacitive element, C15); ② The rotation of the steel cable drum is driven by chain drives (converters, TF3and TF4) to drive the cable drum (inertia element, I24) to rotate. During this period, it is necessary to overcome the rotational damping of the cable drum (resistive element, R25). The length of the chain changes with the force applied (capacitive element, C21), and the cable does not transmit power to the correction device.
4. Simulation Analysis
4.1. Dynamic Characteristic Analysis
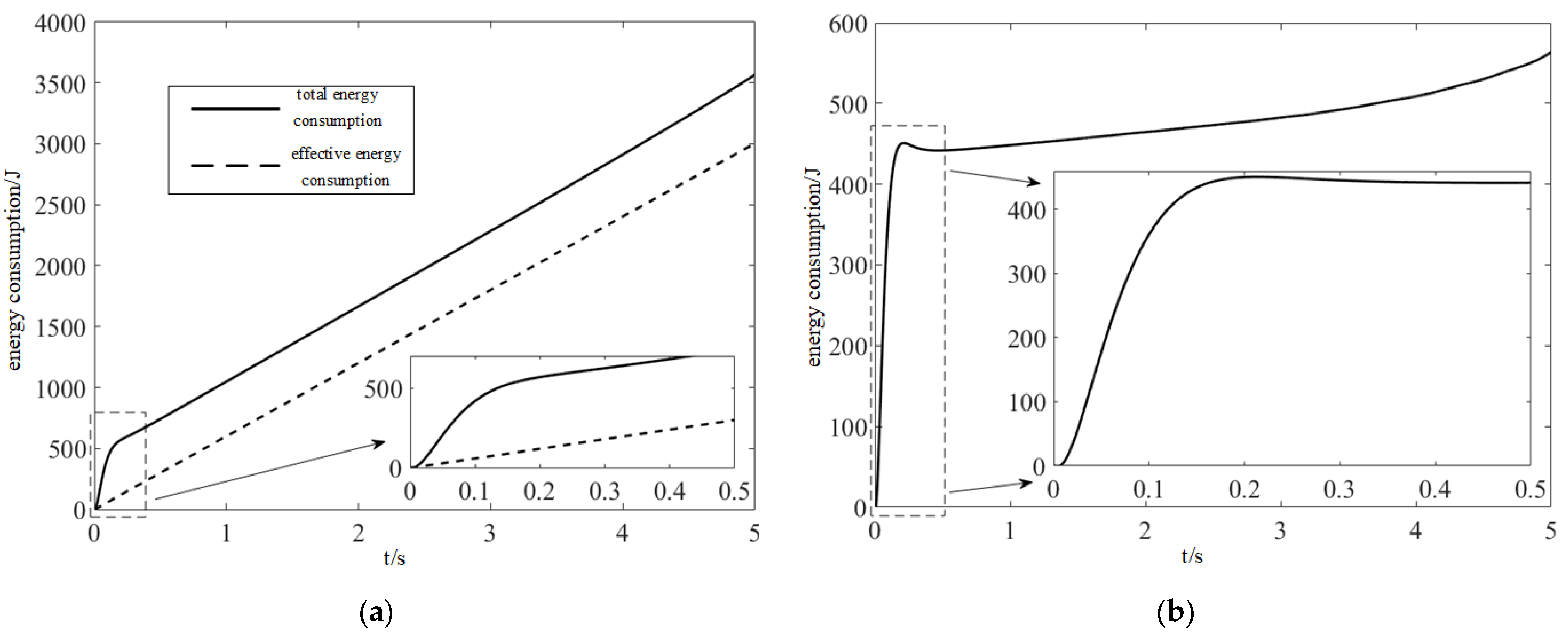
4.2. Analysis of Energy Consumption Characteristics
5. Conclusions
- (1)
- The developed electric helicopter traction system coupled with a fuzzy adaptive controller demonstrates rapid response and well-defined steady-state characteristics, meeting the demand of helicopter traction diversion whilst offering superior rapid reaction speed and steady-state performance. Specifically, the maximum overshoot of the system is approximately 3.25%, and the steady-state error approximates to 0.12%, which virtually approaches zero. Simultaneously, it presents a high energy utilization ratio with an impressive energy efficiency reaching 84% within a single working cycle.
- (2)
- The energy loss in the large inertia dynamic system, exemplified by a helicopter traction system, predominantly stems from the inertial losses during the initiation phase of the system. Consequently, in the realm of optimal design, the rotational inertia of components such as the decelerator input should be reduced while ensuring strength to positively impact system energetic efficiency.
- (3)
- The dynamic modeling method proposed in this study, based on the acquisition of the system’s dynamic characteristics, vividly reflects the dynamic energy consumption characteristics of the system. This addresses the deficiency in transmission dynamics analysis methods, which rarely consider energy consumption. It provides a reference for the dynamic energy consumption analysis of other complex mechanical systems.
Author Contributions
Funding
Institutional Review Board Statement
Informed Consent Statement
Data Availability Statement
Acknowledgments
Conflicts of Interest
References
- Beecher, J.D. The ffg7 guided missle frigate program model for the future. Nav. Eng. J. 1978, 90, 93–105. [Google Scholar] [CrossRef]
- Hu, Z.; Jin, Y.; Hu, Q.; Sen, S.; Zhou, T.; Osman, M.T. Prediction of fuel consumption for enroute ship based on machine learning. IEEE Access 2019, 7, 119497–119505. [Google Scholar] [CrossRef]
- Yu, H.; Fang, Z.; Fu, X.; Liu, J.; Chen, J. Literature review on emission control-based ship voyage optimization. Transp. Res. Part D Transp. Environ. 2021, 93, 102768. [Google Scholar] [CrossRef]
- Zhang, Z.; Liu, Q.; Zhao, D.; Wang, L.; Jia, T. Electrical Aircraft Ship Integrated Secure and Traverse System Design and Key Characteristics Analysis. Appl. Sci. 2022, 12, 2603. [Google Scholar] [CrossRef]
- Zhang, Z.; Liu, Q.; Zhao, D.; Wang, L.; Yang, P. Research on Shipborne Helicopter Electric Rapid Secure Device: System Design, Modeling, and Simulation. Sensors 2022, 22, 1514. [Google Scholar] [CrossRef]
- Man, Y.; Sturm, T.; Lundh, M.; MacKinnon, S.N. From ethnographic research to big data analytics—A case of maritime energy-efficiency optimization. Appl. Sci. 2020, 10, 2134. [Google Scholar] [CrossRef]
- Balsamo, F.; De Falco, P.; Mottola, F.; Pagano, M. Power flow approach for modeling shipboard power system in presence of energy storage and energy management systems. IEEE Trans. Energy Convers. 2020, 35, 1944–1953. [Google Scholar] [CrossRef]
- Nuchturee, C.; Li, T.; Xia, H. Energy efficiency of integrated electric propulsion for ships–A review. Renew. Sustain. Energy Rev. 2020, 134, 110145. [Google Scholar] [CrossRef]
- Tao, L.; Zhang, X.-G.; Lei, G.; Long, Q. Characteristics of Valve Control and Pump Control Dual Source Cooperative Drive Differential Cylindel System. Chin. Hydraul. Pneum. 2021, 45, 58–64. [Google Scholar]
- Qu, S.; Fassbender, D.; Vacca, A.; Busquets, E. A high-efficient solution for electro-hydraulic actuators with energy regeneration capability. Energy 2021, 216, 119291. [Google Scholar] [CrossRef]
- Zhang, Y. Analysis of Speed Regulation Principle of Marine Hydraulic System. Ship Eng. 2020, 42, 36–39. [Google Scholar]
- Pu, J.; Hu, W. Improved Design for Pump Station Vibration Reduction and Noise Control of Certain Ship Handling Device. Ship Eng. 2017, 8, 43–45. [Google Scholar]
- Liu, Y.; Zhou, Y.; Qu, D.; Wang, J.; Fu, B.; Zhang, F. Energy Consumption Analysis of Hybrid Continuously Variable Transmission Based on Electric Oil Pump. J. Mech. Eng. 2018, 54, 125–131. [Google Scholar] [CrossRef]
- Bai, Y.; Zhang, Q.; Fan, Y.; Zhai, X.; Tian, Q.; Tang, Y.; Zhang, A. Trajectory Planning of Deep-sea Electric Manipulator Based on Energy Optimization. Robot 2020, 42, 301–308. [Google Scholar]
- Yu, X.; Yang, J.; Li, S. Disturbance observer-based autonomous landing control of unmanned helicopters on moving shipboard. Nonlinear Dyn. 2020, 102, 131–150. [Google Scholar] [CrossRef]
- Owen, I.; Lee, R.; Wall, A.; Fernandez, N. The NATO generic destroyer—A shared geometry for collaborative research into modelling and simulation of shipboard helicopter launch and recovery. Ocean Eng. 2021, 228, 108428. [Google Scholar] [CrossRef]
- Zhao, D.; Yang, H.; Yao, S.; Ni, T. Numerical investigation for coupled rotor/ship flowfield using two models based on the momentum source method. Eng. Appl. Comput. Fluid Mech. 2021, 15, 1902–1918. [Google Scholar]
- Shi, Y.; Li, G.; Su, D.; Xu, G. Numerical investigation on the ship/multi-helicopter dynamic interface. Aerosp. Sci. Technol. 2020, 106, 106175. [Google Scholar] [CrossRef]
- Li, Y.; Zhang, Z.C.; Xiong, Z.; Xiao, J.X.; Li, G.H. Collision modeling method of ship-board helicopter landing. Syst. Eng. Electron. 2015, 37, 1691–1696. [Google Scholar]
- Wang, Q.; Zhao, D.X.; Wei, H.L.; Zhao, Y. Study of the landing dynamics of carrier based helicopter under complex sea conditions. J. Northeast. Univ. (Nat. Sci.) 2017, 38, 1595–1600. [Google Scholar]
- Wang, Q.; Zhao, D.X.; Zhao, Y.; Chen, N. Dynamic analysis of carrier helicopter on complex, Jilin Univ. Eng. Tech. 2017, 47, 1109–1113. [Google Scholar]
- Zhao, D.X.; Wang, Q.; Zhang, Z.X. Extenics theory for reliability assessment of carrier helicopter based on analytic hierarchy process. J. Jilin Univ. Eng. Technol. 2016, 46, 1528–1531. [Google Scholar]
- Feldman, A.R.; Langlois, R.G. Autonomous straightening and traversing of shipboard helicopters. J. Field Robot. 2006, 23, 123–139. [Google Scholar] [CrossRef]
- Linn, D.R.; Langlois, R.G. Development and experimental validation of a shipboard helicopter on-deck maneuvering simulation. J. Aircr. 2006, 43, 895–906. [Google Scholar] [CrossRef]
- Zhang, H.J.; Cai, B.; Zhang, C.Y.; Xu, T.; Zhao, H.; Zhang, Z.; Zhu, D.; Zhang, J.; Liu, F. A Safe and Quick Recovery and RELEASE System and Method for the Helicopter Operating at Sea. Beijing CN109398735A, 1 March 2019. [Google Scholar]
- Liang, T.; Zhang, X.G.; Quan, L.; Zhao, E. Characteristics of valve and pump dual-source collaborative driving multi-actuator system. Chin. Hudraulics Pneum. 2021, 45, 58. [Google Scholar]
- Qi, X.; Su, T.; Zhou, K.; Yang, J.; Gan, X.; Zhang, Y. Development of ac motor model predictive control strategy: An overview. Proc. CSEE 2021, 41, 6408–6418. [Google Scholar]
- He, H.; Sun, L.; Zhang, Y. Asynchronous motor active disturbance rejection control based on vector control. Electr. Mach. Control 2019, 31, 120–125. [Google Scholar]
- Ghoulemallah, B.; Sebti, B.; Abdesselem, C.; Said, B. Genetic algorithm and particle swarm optimization tuned fuzzy PID controller on direct torque control of dual star induction motor. J. Cent. South Univ. 2019, 26, 1886–1896. [Google Scholar] [CrossRef]
- He, H.C.; Sun, L.; Zhang, Y.F.; Zhou, Q. Research of Sensorless Vector Control Performance for Induction Motor at Very Low-speed and Zero-speed. Proc. CSEE 2019, 39, 6095–6103. [Google Scholar] [CrossRef]
- Lei, A.; Song, C.X.; Lei, Y.L.; Fu, Y. Design optimization of vehicle asynchronous motors based on fractional harmonic response analysis. Mech. Sci. 2021, 12, 689–700. [Google Scholar] [CrossRef]
- Xia, C.Y.; Yu, J.L.; Tian, C.Y.; Hou, X.X. Slip frequency type vector control for brushless doubly-fed machine. Control Decis. 2019, 34, 649–654. [Google Scholar] [CrossRef]
- Mario, P.; Boris, V. Helicopter Rapid Securing & Traversing System. U.S. Patent 4786014, 22 November 1988. [Google Scholar]
- Li, Y.; Qin, Y.; Zhou, Y.; Zhao, C. Model predictive torque control for permanent magnet synchronous motor based on dynamic finite-control-set using fuzzy control. Energy Rep. 2020, 6, 128–133. [Google Scholar] [CrossRef]
- Zhao, X.; Wang, H.; Zhu, W. Feedback linearization control of permanent magnet linear synchronous motor based on adaptive fuzzy controller and nonlinear disturbance observer. Control Theory Appl. 2021, 38, 595–602. [Google Scholar] [CrossRef]
- Liu, W.; Li, L.; Cai, W.; Li, C.; Li, L.; Chen, X.; Sutherland, J.W. Dynamic characteristics and energy consumption modelling of machine tools based on bond graph theory. Energy 2020, 212, 118767. [Google Scholar] [CrossRef]
- Abo-Shanab, R.F. Dynamic modeling of parallel manipulators based on Lagrange–D’Alembert formulation and Jacobian/Hessian matrices. Multibody Syst. Dyn. 2020, 48, 403–426. [Google Scholar] [CrossRef]
- Sosa-Méndez, D.; Lugo-González, E.; Arias-Montiel, M.; Garcia-Garcia, R.A. ADAMS-MATLAB co-simulation for kinematics, dynamics, and control of the Stewart–Gough platform. Int. J. Adv. Robot. Syst. 2017, 14, 1729881417719824. [Google Scholar] [CrossRef]
- Li, T.J.; Wang, M.Z.; Zhang, Y.M.; Zhao, C.Y. Real-time thermo-mechanical dynamics model of a ball screw system based on a dynamic thermal network. Int. J. Adv. Manuf. Technol. 2020, 108, 613–624. [Google Scholar] [CrossRef]
- Shen, N.Y.; Wang, W.D.; Li, J.; Cao, Y.L.; Wang, Y. Modelling and Analysis of Grinding Energy Consumption in Non-circular Grinding Process. J. Mech. Eng. 2017, 53, 208–216. [Google Scholar] [CrossRef]
- Wang, G.; Ding, L.; Gao, H.; Deng, Z.; Liu, Z.; Yu, H. Minimizing the energy consumption for a hexapod robot based on optimal force distribution. IEEE Access 2019, 8, 5393–5406. [Google Scholar] [CrossRef]
- Wang, F.; Zhang, J.; Xu, X.; Cai, Y.; Zhou, Z.; Sun, X. A comprehensive dynamic efficiency-enhanced energy management strategy for plug-in hybrid electric vehicles. Appl. Energy 2019, 247, 657–669. [Google Scholar] [CrossRef]
- Mezghani, D.; Mami, A.; Dauphin-Tanguy, G. Bond graph modelling and control enhancement of an off-grid hybrid pumping system by frequency optimization. Int. J. Numer. Model.-Electron. Netw. Devices Fields 2020, 33, e2717. [Google Scholar] [CrossRef]
- Ghimire, P.; Zadeh, M.; Pedersen, E.; Thorstensen, J. Dynamic Modeling, Simulation, and Testing of a Marine DC Hybrid Power System. IEEE Trans. Transp. Electrif. 2021, 7, 905–919. [Google Scholar] [CrossRef]
- Aftabi Talami, M.; Jamali, A.; Nariman-zadeh, N. A new method for extracting the state equations from bond graph of dynamical systems (SEBG method). Int. J. Gen. Syst. 2021, 50, 703–723. [Google Scholar] [CrossRef]
- Abdin, Z.U.; Rachid, A. Bond graph modeling of a water-based photovoltaic thermal (PV/T) collector. Sol. Energy 2021, 220, 571–577. [Google Scholar] [CrossRef]
- Ibănescu, R.; Ibănescu, M. A systematic procedure to obtain the block diagram model from the bond graph model. MATEC Web Conf. 2018, 178, 05006. [Google Scholar]
- Kumar, P.; Merzouki, R.; Bouamama, B.O. Multilevel modeling of system of systems. IEEE Trans. Syst. Man Cybern. Syst. 2017, 48, 1309–1320. [Google Scholar] [CrossRef]
- Wu, H.; Tan, D.-L.; Li, Q.-J.; He, S.-H.; Zhang, X.-X. Comparative analysis on comprehensive performance of foreign shipborne helicopter assist secure and traverse equipment. Ship Sci. Technol. 2021, 43, 185–189. [Google Scholar]











| Bonded Primitive | Reference Value | Bonded Primitive | Reference Value |
|---|---|---|---|
| C2 | 1/5.4 × 105 N·m/rad | C15 | 1/1 × 108 N/m |
| I4 | 4.32 × 10−4 kg·m2 | I17 | 10,000 kg |
| R5 | 1 × 10−3 N·m/(rad/s) | R18 | 100 N/(m/s) |
| TF1 | 30 | TF3 | 10 rad/m |
| C8 | 1/2 × 106 N·m/rad | C21 | 1/5 × 106 N/m |
| I10 | 14.2401 kg·m2 | TF4 | 0.1 m/rad |
| R11 | 0.2 N·m/(rad/s) | I24 | 14.17 kg·m2 |
| TF2 | 0.275 rad/m | R25 | 0.1 N·m/(rad/s) |
Disclaimer/Publisher’s Note: The statements, opinions and data contained in all publications are solely those of the individual author(s) and contributor(s) and not of MDPI and/or the editor(s). MDPI and/or the editor(s) disclaim responsibility for any injury to people or property resulting from any ideas, methods, instructions or products referred to in the content. |
© 2023 by the authors. Licensee MDPI, Basel, Switzerland. This article is an open access article distributed under the terms and conditions of the Creative Commons Attribution (CC BY) license (https://creativecommons.org/licenses/by/4.0/).
Share and Cite
Jia, T.; Shao, T.; Liu, Q.; Yang, P.; Li, Z.; Zhang, H. Research into a Marine Helicopter Traction System and Its Dynamic Energy Consumption Characteristics. Appl. Sci. 2023, 13, 12493. https://doi.org/10.3390/app132212493
Jia T, Shao T, Liu Q, Yang P, Li Z, Zhang H. Research into a Marine Helicopter Traction System and Its Dynamic Energy Consumption Characteristics. Applied Sciences. 2023; 13(22):12493. https://doi.org/10.3390/app132212493
Chicago/Turabian StyleJia, Tuo, Tucun Shao, Qian Liu, Pengcheng Yang, Zhinuo Li, and Heng Zhang. 2023. "Research into a Marine Helicopter Traction System and Its Dynamic Energy Consumption Characteristics" Applied Sciences 13, no. 22: 12493. https://doi.org/10.3390/app132212493
APA StyleJia, T., Shao, T., Liu, Q., Yang, P., Li, Z., & Zhang, H. (2023). Research into a Marine Helicopter Traction System and Its Dynamic Energy Consumption Characteristics. Applied Sciences, 13(22), 12493. https://doi.org/10.3390/app132212493

