Studies on the Energy Consumption of Material Cutting in the Onion Peeling Process
Abstract
1. Introduction
2. Materials and Methods
- Mr—reaction force moment,
- Fr—reaction force,
- rr—radius of action of the reaction forces.
- Ejc—unit cutting power,
- N—power consumed by the cutting unit,
- W—capacity of the machine.
- Ejc—unit energy of the cutting process ,
- Mr—load moment on the cutting unit equal to the force reaction moment [Nm],
- n—rotational speed of the cutting knives ,
- W—machine performance .
- Ejz—unit energy consumption of the compressed air flow of the skin-blowing device ,
- Ew—internal energy derived from the work carried out during the adiabatic compression of 1 Nm3 of air to a given pressure p ,
- qpG—volume flow rate of the air flowing through the GreenTec MQL47003 ,
- nd—number of GreenTec MQL 47,003 nozzles,
- W—machine performance .
- Ejm—unit energy consumption of the compressed air flow of the correction module device ,
- Ew—internal energy derived as a result of the work done during the adiabatic compression of 1 Nm3 of air to a given pressure p device ,
- qpS—volume flow rate of the air flowing through the Silvent MJ5 nozzle device ,
- tmp—duration time of a single treatment of the onion blowing off the skin in the module making the corrections [s],
- nmp—volume of onions peeled by the correction module per minute ,
- Wmp—the mass stream of onions passing through the correction module .
- mt = mr—mi—weight of onions leaving the correction module.
- ΔEj—average error of measurement of the unit energy consumption of the onion peeling process for the machine with visual quality control and correction module deactivated for the respective test position ],
- Ej—total unit energy consumption n of the onion peeling process for the machine with the deactivated visual quality control function and the touch-up module for the respective test point ],
- Fr—reaction force measured with a tensometer beam measuring system [N].
- ΔEj1—average error of measurement of the total energy consumption of the onion peeling process for the machine with visual quality control and correction module activated for the respective test point ],
- Ej1—total energy consumption of the onion peeling process for the machine with visual quality control and test point correction module activated for the respective test point ],
- mt—weight of onions leaving the correcting module [kg].
- dm = 1 kg,
- dt = 0.1 s,
- dFr = 0.008 N.
3. Results
4. Conclusions
- Within the framework of the realisation of the study, the energy consumption of the onion cutting process under machine peeling conditions was tested. The energy consumption indicated as the unit energy consumption for the realization of the process Ej was estimated using the ratio of the sum of the energy consumed for the process of cutting the ends and removing the outer skins to the weight of the onion peeled per unit time.
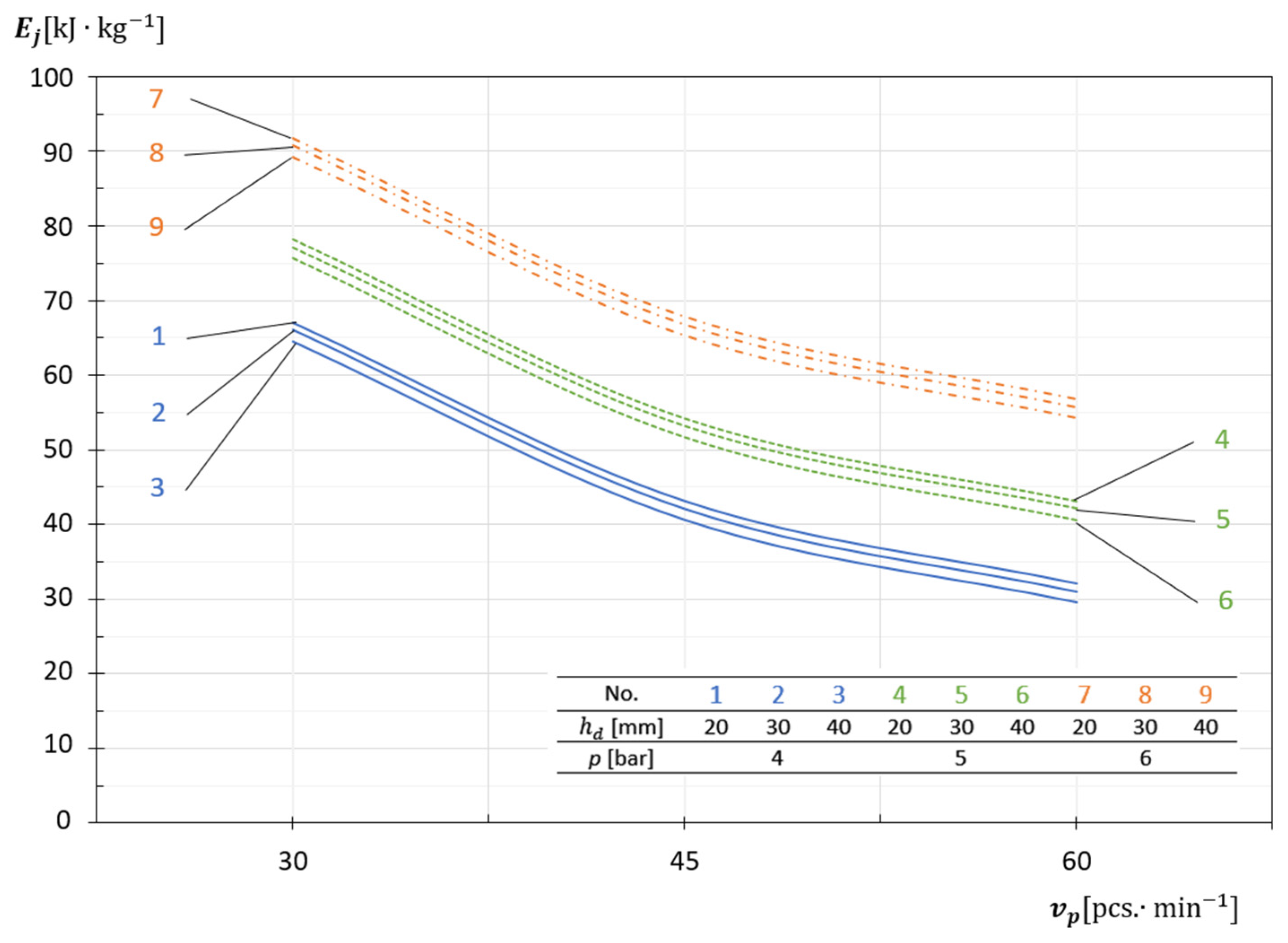
- The unit energy consumption Ej for execution of the onion peeling process increases together with an increase in the number of air nozzles nd and the air pressure supplying the skin removal unit p. An increase in the material feeding speed vp and in the distance of the air nozzles from the material hd results in a decrease in the unit energy consumption.
- Considering the unit energy consumption of the realization of the onion peeling process Ej as a quotient of the energy consumed per unit time and the performance of the machine, it can be concluded that the value of the energy depends only on the number of skin removal nozzles and the air pressure supplying them, as well as on the unit cutting energy Ejc, which, as the studies have shown, is a quantity independent of the considered system of variables. Therefore, it should be assumed that the lowest values of unit energy consumption Ej will be achieved for those systems of independent variables for which the highest values of machine performance have been obtained. However, taking into account the high multivariate correlation coefficient, the value of the standard deviation of the residuals and the high value of the F statistic indicating the strong adequacy of the regression function, the relationships shown in the graphs should be assumed to be true.
Author Contributions
Funding
Institutional Review Board Statement
Informed Consent Statement
Data Availability Statement
Conflicts of Interest
References
- McCallum, J.; Clarke, A.; Pither-Joyce, M.; Shaw, M.; Butler, R.; Brash, D.; Scheffer, J.; Sims, I.; Van Heusden, S.; Shigyo, M.; et al. Genetic Mapping of a Major Gene Affecting Onion Bulb Fructan Content. Theor. Appl. Genet. 2006, 112, 958–967. [Google Scholar] [CrossRef] [PubMed]
- Rashmi, H.B.; Negi, P.S. Chemistry and Physiology of Fruits and Vegetables. In Advances in Food Chemistry: Food Components, Processing and Preservation; Springer Nature: Berlin/Heidelberg, Germany, 2022. [Google Scholar]
- Vojvodić Cebin, A.; Šeremet, D.; Mandura, A.; Martinić, A.; Komes, D. Onion Solid Waste as a Potential Source of Functional Food Ingredients. Eng. Power Bull. Croat. Acad. Eng. 2020, 15, 7–13. [Google Scholar]
- Roldán-Marín, E.; Krath, B.N.; Poulsen, M.; Binderup, M.L.; Nielsen, T.H.; Hansen, M.; Barri, T.; Langkilde, S.; Pilar Cano, M.; Sánchez-Moreno, C.; et al. Effects of an Onion By-Product on Bioactivity and Safety Markers in Healthy Rats. Br. J. Nutr. 2009, 102, 1574–1582. [Google Scholar] [CrossRef] [PubMed]
- Bochat, A.; Zastempowski, M.; Wachowicz, M. Cutting Tests of the Outer Layer of Material Using Onion as an Example. Materials 2021, 14, 2360. [Google Scholar] [CrossRef] [PubMed]
- Du, D.D.; Wang, J. Research on Mechanics Properties of Crop Stalks: A Review. Int. J. Agric. Biol. Eng. 2016, 9, 10–19. [Google Scholar] [CrossRef]
- Si, S.; Zhang, B.; Huang, J.; Shen, C.; Tian, K.; Liu, H.; Zhang, Y. Bending Mechanics Test and Parameters Calibration of Ramie Stalks. Sci. Rep. 2023, 13, 8666. [Google Scholar] [CrossRef] [PubMed]
- Igathinathane, C.; Pordesimo, L.O.; Schilling, M.W.; Columbus, E.P. Fast and Simple Measurement of Cutting Energy Requirement of Plant Stalk and Prediction Model Development. Ind. Crops Prod. 2011, 33, 518–523. [Google Scholar] [CrossRef]
- Lisowski, A.; Klonowski, J.; Sypuła, M.; Chlebowski, J.; Kostyra, K.; Nowakowski, T.; Strużyk, A.; Świętochowski, A.; Dąbrowska, M.; Mieszkalski, L.; et al. Energy of Feeding and Chopping of Biomass Processing in the Working Units of Forage Harvester and Energy Balance of Methane Production from Selected Energy Plants Species. Biomass Bioenergy 2019, 128, 105301. [Google Scholar] [CrossRef]
- Kruszelnicka, W.; Kasner, R.; Bałdowska-Witos, P.; Flizikowski, J.; Tomporowski, A. The Integrated Energy Consumption Index for Energy Biomass Grinding Technology Assessment. Energies 2020, 13, 1417. [Google Scholar] [CrossRef]
- El-Ghobashy, H.; Bhansawi, A.; Ali, S.A.; Afify, M.T.; Emara, Z. Development and Evaluation of Onion Peeling Machine. Plant J. 2004, 38, 663–682. [Google Scholar] [CrossRef]
- Ravichandran, P.; Anbu, C.; Sathish Kumar, S.; Sakthivel, A.; Thenralarasu, S. Design and Fabrication of Automatic Onion Peeling and Cutting Machine. Int. J. Sci. Technol. Res. 2019, 8, 2067–2070. [Google Scholar]
- Woźniak, P.; Nosal, S.; Bieńczak, A. Analysis of Technology and Machining Devices for Cleaning Onion in the Food Industry. MATEC Web Conf. 2021, 343, 01006. [Google Scholar] [CrossRef]
- Kumawat, L.; Raheman, H. Determination of Engineering Properties of Onion Crop Required for Designing an Onion Harvester. Cogent Eng. 2023, 10, 2191404. [Google Scholar] [CrossRef]
- Tereshkin, O.; Horielkov, D.; Dmytrevskyi, D.; Chervonyi, V. The Study of Influence of the Process of Mechanical Additional Cleaning on the Surface Onion Layer at Combined Process of Cleaning. EUREKA Life Sci. 2016, 6, 24–30. [Google Scholar] [CrossRef][Green Version]
- Srivastava, A.; VanEe, G.; Ledebuhr, R.; Welch, D.; Wang, L. Design and Development of an Onion-Peeling Machine. Appl. Eng. Agric. 1997, 13, 167–173. [Google Scholar] [CrossRef]
- Nor, N.H.M.; Hassan, M.F.; Ali, M.H.M.; Tuparman, M.H. Design and Development of Shallots Skin Peeler Machine. J. Ind. 2019, 1, 2. [Google Scholar]
- Piotrowska, K.; Kruszelnicka, W.; Bałdowska-Witos, P.; Kasner, R.; Rudnicki, J.; Tomporowski, A.; Flizikowski, J.; Opielak, M. Assessment of the Environmental Impact of a Car Tire throughout Its Lifecycle Using the LCA Method. Materials 2019, 12, 4177. [Google Scholar] [CrossRef] [PubMed]
- Kruszelnicka, W. Design Features of Comminution Disc and Their Relation with CO2 Emission in Disc Life Cycle. Proc. J. Phys. Conf. Ser. 2021, 1781, 012015. [Google Scholar] [CrossRef]









| Independent Variables | Values of Variables | |||
|---|---|---|---|---|
| x1 | x2 | x3 | x4 | |
| Material speed vp [pcs·min−1] | 30 | 45 | 60 | |
| Depth of cuts in the outer shell dn [mm] | 1.5 | 1.25 | 3 | |
| Number of air nozzles nd [pcs.] | 2 | 3 | 4 | |
| Distance of air nozzles from the cut material hd [mm] | 20 | 30 | 40 | |
| Air pressure supplying the nozzle system p [bar] | 4 | 5 | 6 | 7 |
| Measurement error of the unit energy consumption of the onion peeling process | ΔEj | 0.1767–7.0044 |
| ΔEj1 | 0.1862–7.2650 |
| vp [pcs.·min−1] | hd [mm] | p [bar] | dn [mm] | Ej [kJ·kg−1] | dn [mm] | Ej [kJ·kg−1] | dn [mm] | Ej [kJ·kg−1] |
|---|---|---|---|---|---|---|---|---|
| 30 | 20 | 4 | 1.5 | 55.1133 | 2.25 | 55.0025 | 3 | 56.8005 |
| 5 | 75.1148 | 77.6213 | 78.5865 | |||||
| 6 | 106.6335 | 106.5929 | 107.1472 | |||||
| 7 | 136.4845 | 139.8616 | 144.5362 | |||||
| 30 | 4 | 52.7418 | 53.6988 | 54.9114 | ||||
| 5 | 74.7079 | 76.3210 | 75.8991 | |||||
| 6 | 101.5387 | 106.6241 | 105.3129 | |||||
| 7 | 129.4598 | 134.0152 | 140.6034 | |||||
| 40 | 4 | 51.6940 | 52.6541 | 53.3708 | ||||
| 5 | 69.0028 | 73.7363 | 72.5320 | |||||
| 6 | 98.1014 | 98.2668 | 103.6590 | |||||
| 7 | 126.3576 | 132.0104 | 130.1968 | |||||
| 45 | 20 | 4 | 1.5 | 37.9796 | 2.25 | 35.5370 | 3 | 37.1167 |
| 5 | 52.3637 | 50.3970 | 50.1128 | |||||
| 6 | 70.4167 | 69.3469 | 69.8021 | |||||
| 7 | 92.0164 | 88.9956 | 88.1150 | |||||
| 30 | 4 | 36.6748 | 36.0362 | 35.4230 | ||||
| 5 | 50.8458 | 48.3987 | 49.6469 | |||||
| 6 | 70.8899 | 65.6394 | 69.3466 | |||||
| 7 | 89.3006 | 83.9039 | 85.5826 | |||||
| 40 | 4 | 35.3912 | 35.4137 | 35.8290 | ||||
| 5 | 50.1196 | 48.4507 | 48.6974 | |||||
| 6 | 66.0728 | 64.0323 | 65.9395 | |||||
| 7 | 83.9071 | 80.4145 | 84.5623 | |||||
| 60 | 20 | 4 | 1.5 | 26.8609 | 2.25 | 29.1680 | 3 | 28.7624 |
| 5 | 35.4667 | 38.2291 | 38.9524 | |||||
| 6 | 49.8089 | 53.7925 | 53.3369 | |||||
| 7 | 61.9091 | 67.6202 | 68.4917 | |||||
| 30 | 4 | 26.8524 | 27.9156 | 29.2224 | ||||
| 5 | 35.8098 | 38.6776 | 37.9744 | |||||
| 6 | 48.3174 | 50.9005 | 53.3567 | |||||
| 7 | 61.1995 | 67.5122 | 66.3512 | |||||
| 40 | 4 | 26.9231 | 27.4880 | 28.2274 | ||||
| 5 | 35.5974 | 37.0855 | 37.4038 | |||||
| 6 | 47.7068 | 49.8969 | 51.6134 | |||||
| 7 | 59.8303 | 62.5774 | 60.6636 |
| Unit energy consumption Ej | Standard experimental deviation s | 0.5742–3.8428 |
| Coefficient of variation xz | 0.0255–0.03842 |
| Regression Coefficient | Regression Coefficient Value | Standard Deviation of the Regression Coefficient | Significance Test | |
|---|---|---|---|---|
| t | tkr | |||
| a1 | 69.8626 | 8.8197 | 7.92 | |
| a2 | −3.7402 | 0.4014 | 9.32 | |
| a4 | 16.1797 | 0.5767 | 28.06 | |
| a7 | 0.0286 | 0.0044 | 6.45 | 1.98 |
| a10 | −0.0021 | 0.0010 | 2.16 | |
| a11 | 1.2353 | 0.0382 | 3237 | |
| Residual standard deviation | 8.4752 | F | Fkr | |
| Multidimensional correlation coefficient | 0.9476 | 559.88 | 1.82 | |
| Dependent Variables | Independent Variables | |||||
|---|---|---|---|---|---|---|
| vp [pcs.·min−1] | dn [mm] | nd [pcs.] | hd [mm] | p [bar] | ||
| Unit energy consumption Ej [kJ·kg−1] | min | 60 | - | 2 | 40 | 4 |
| max | 30 | - | 4 | 20 | 7 | |
Disclaimer/Publisher’s Note: The statements, opinions and data contained in all publications are solely those of the individual author(s) and contributor(s) and not of MDPI and/or the editor(s). MDPI and/or the editor(s) disclaim responsibility for any injury to people or property resulting from any ideas, methods, instructions or products referred to in the content. |
© 2023 by the authors. Licensee MDPI, Basel, Switzerland. This article is an open access article distributed under the terms and conditions of the Creative Commons Attribution (CC BY) license (https://creativecommons.org/licenses/by/4.0/).
Share and Cite
Zastempowski, M.; Bochat, A.; Wachowicz, M.; Tanaś, W. Studies on the Energy Consumption of Material Cutting in the Onion Peeling Process. Appl. Sci. 2023, 13, 12276. https://doi.org/10.3390/app132212276
Zastempowski M, Bochat A, Wachowicz M, Tanaś W. Studies on the Energy Consumption of Material Cutting in the Onion Peeling Process. Applied Sciences. 2023; 13(22):12276. https://doi.org/10.3390/app132212276
Chicago/Turabian StyleZastempowski, Marcin, Andrzej Bochat, Marcin Wachowicz, and Wojciech Tanaś. 2023. "Studies on the Energy Consumption of Material Cutting in the Onion Peeling Process" Applied Sciences 13, no. 22: 12276. https://doi.org/10.3390/app132212276
APA StyleZastempowski, M., Bochat, A., Wachowicz, M., & Tanaś, W. (2023). Studies on the Energy Consumption of Material Cutting in the Onion Peeling Process. Applied Sciences, 13(22), 12276. https://doi.org/10.3390/app132212276

