Lateral Dynamic Response of Helical Pile in Viscoelastic Foundation Considering Shear Deformation
Abstract
1. Introduction
2. Equivalent Model of Helical Pile
2.1. Establishment of Equivalent Model
2.2. Validation of Equivalent Model
3. Governing Equations and Their Solutions
3.1. Dynamic Equation of Soil
3.2. Dynamic Equation of Helical Pile
- (1)
- The pile’s surrounding soil is a homogeneous, isotropic, and viscoelastic medium. Therefore, the stiffness and damping coefficients of the soil layers are both constants along the vertical direction.
- (2)
- The pile body is a combination of circular and rectangular sections, and only the bending deformation of the pile is considered after simplification.
- (3)
- The pile–soil system is subjected to small deformations and strains during lateral vibration, and the longitudinal displacement of the pile’s surrounding soil is ignored.
- (4)
- No relative sliding occurs at the pile–soil interface.
- (5)
- The influence of pile cap is not considered.
- (6)
- The harmonic excitation acts horizontally on the pile top.
3.3. Solutions of the Equations
4. Verification of the Present Solutions
4.1. Element Division Accuracy of Pile–Soil System
4.2. Comparison with Existing Analytical and FEM Solutions
5. Parametric Study
5.1. Space Response Analysis of Helical Pile
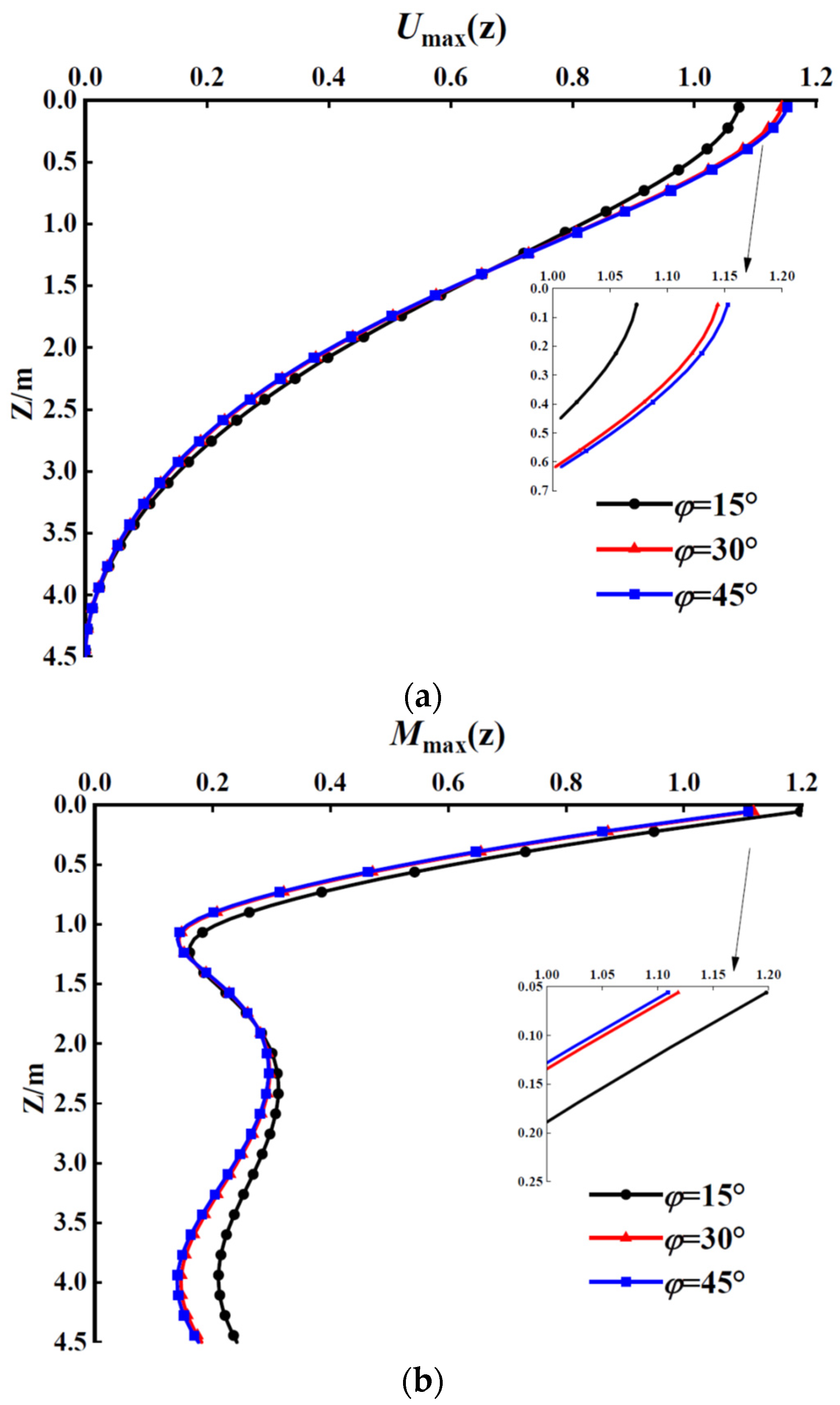
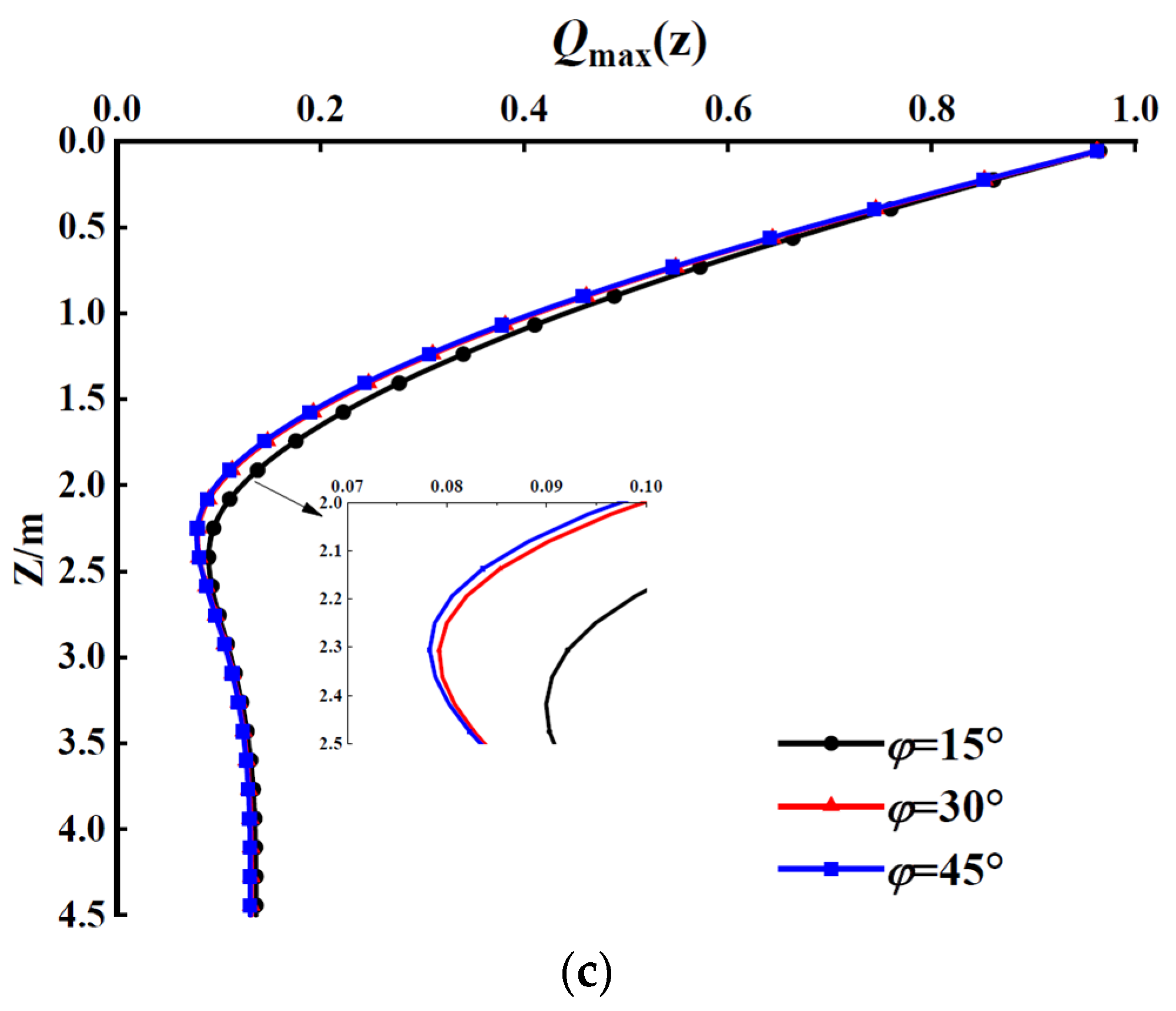
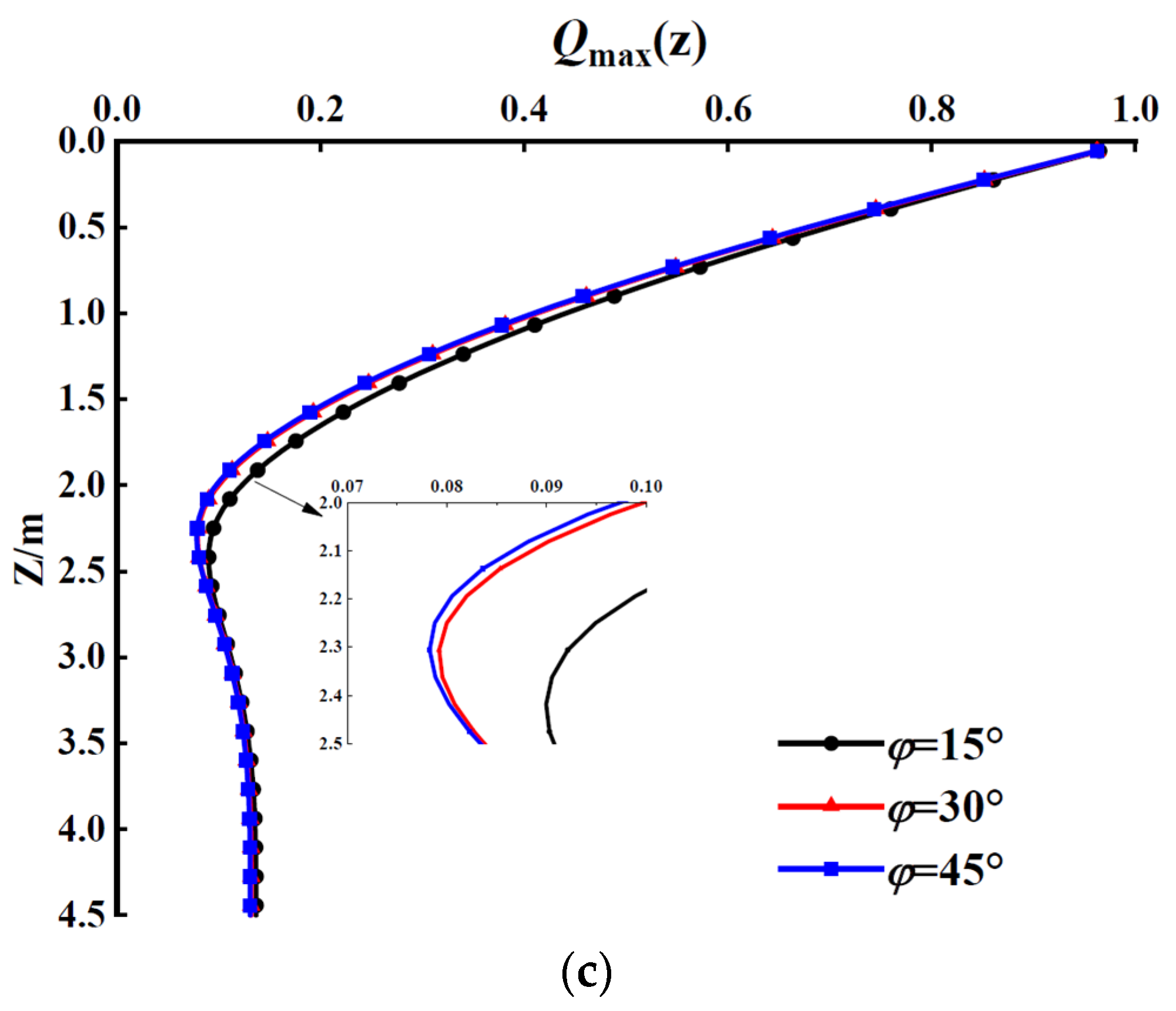
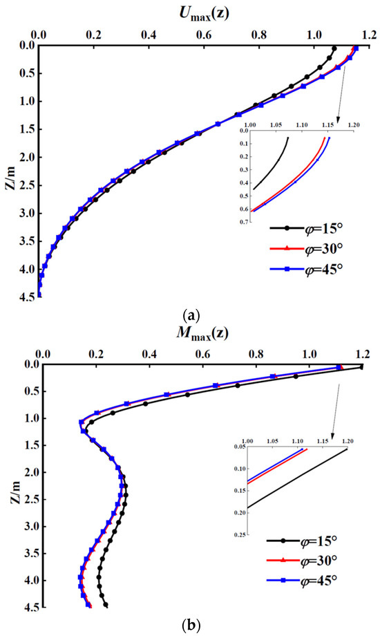
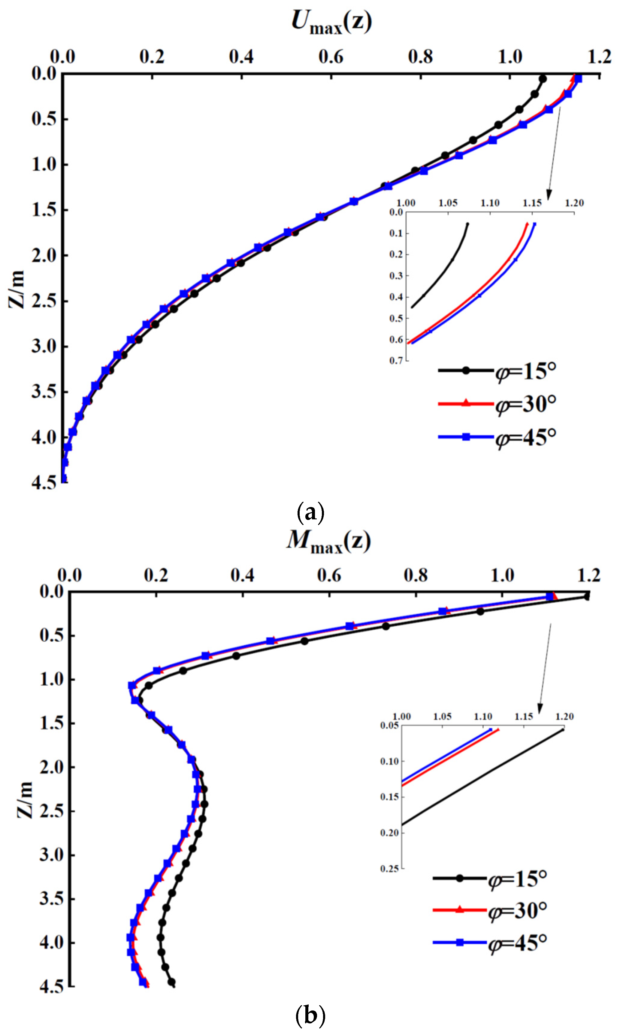
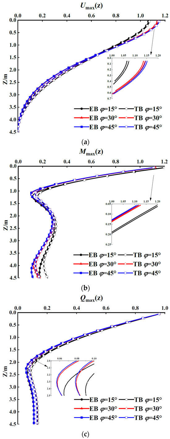
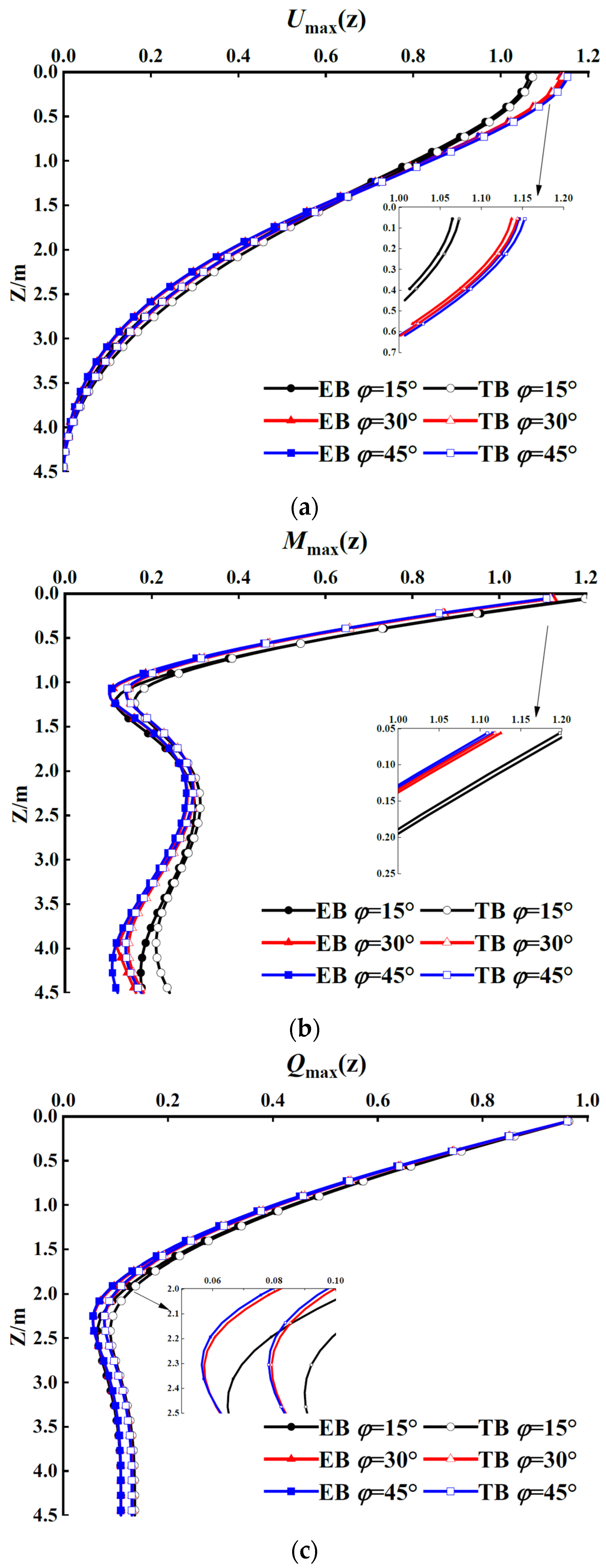
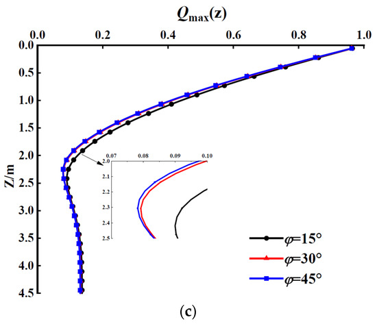
5.1.1. Influence of Helix Inclination Angle
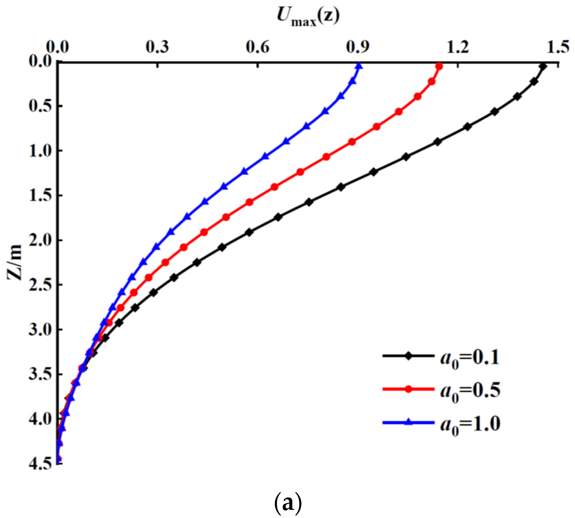
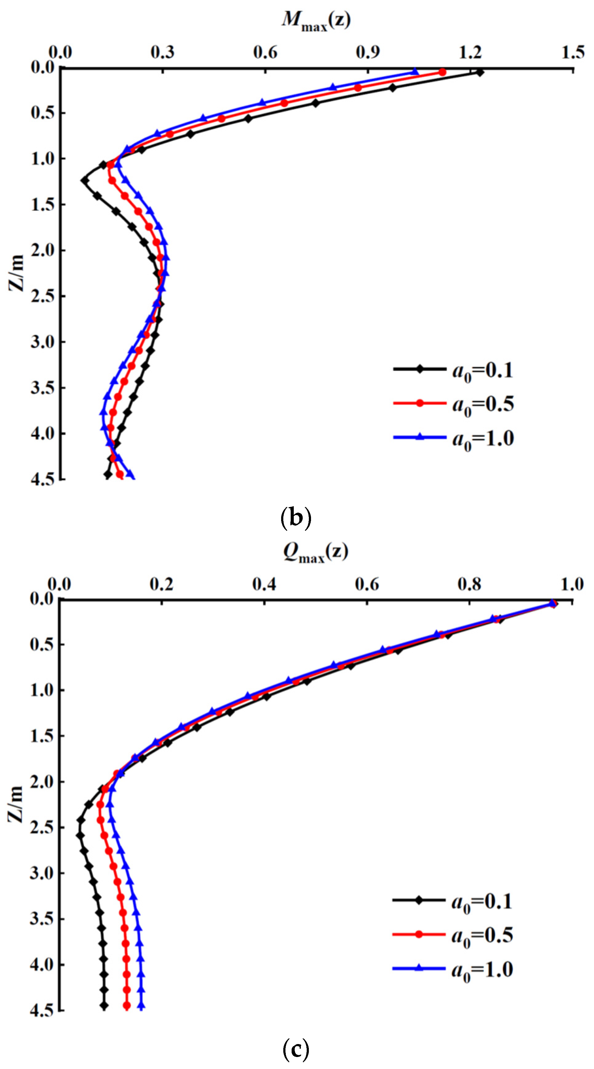
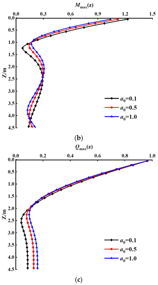
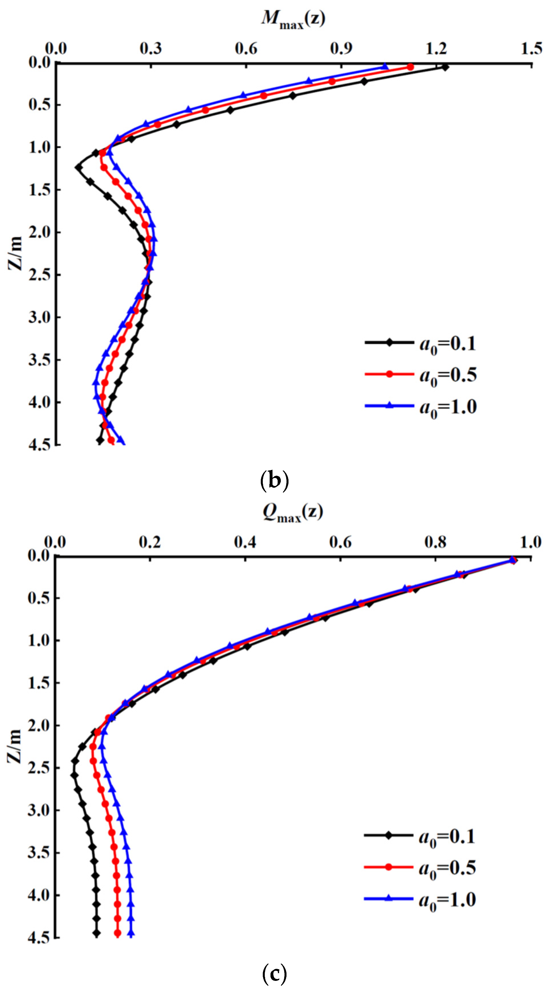
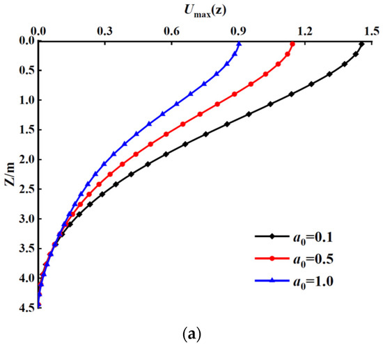
5.1.2. Influence of Dimensionless Frequency
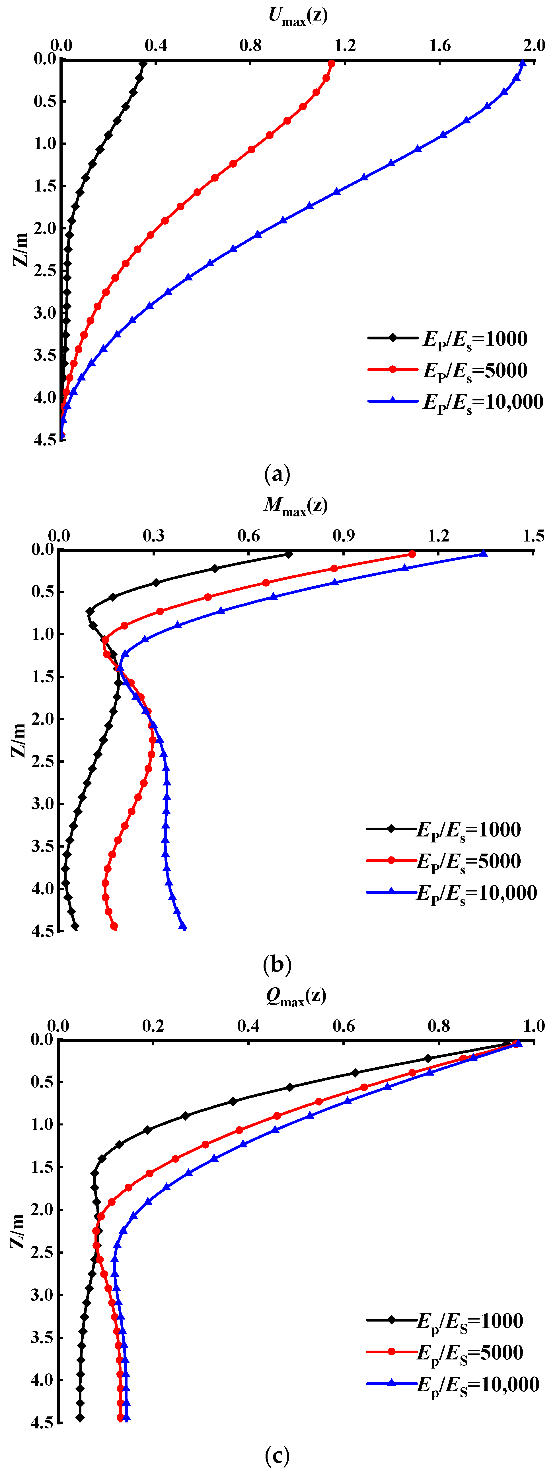
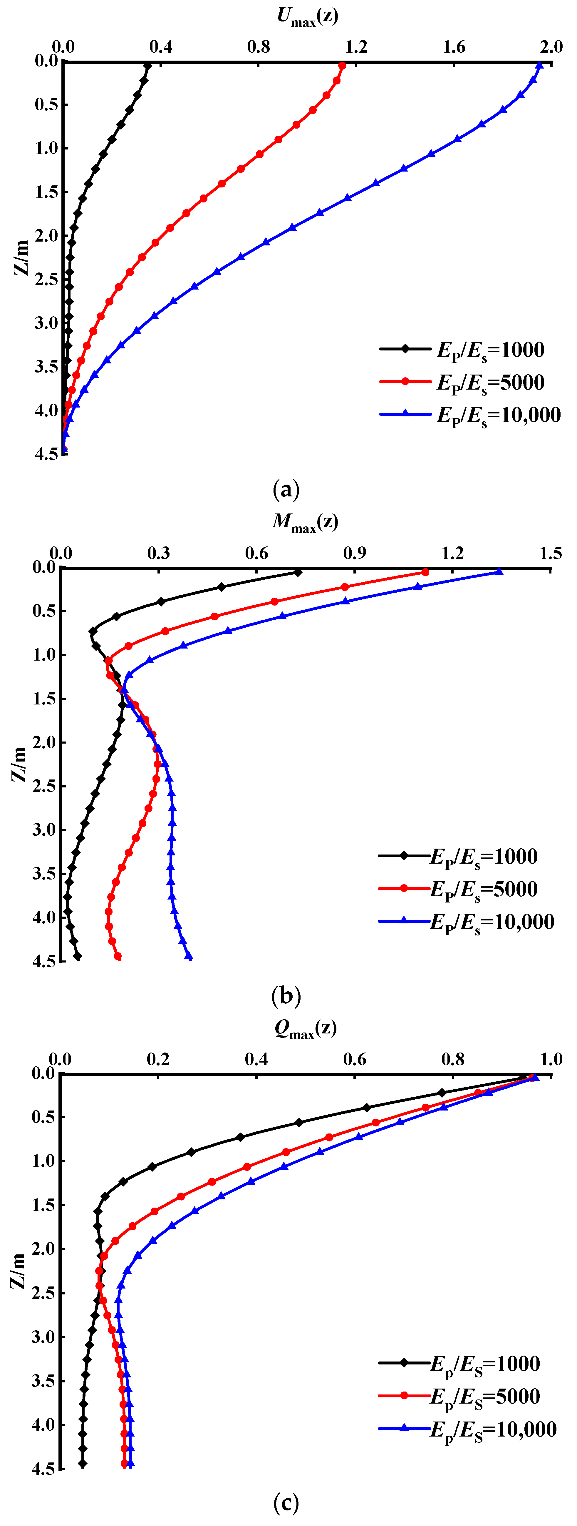
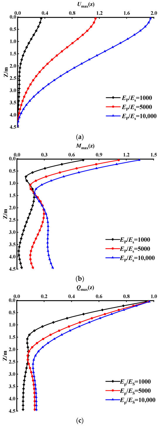
5.1.3. Influence of Pile–Soil Stiffness Ratio
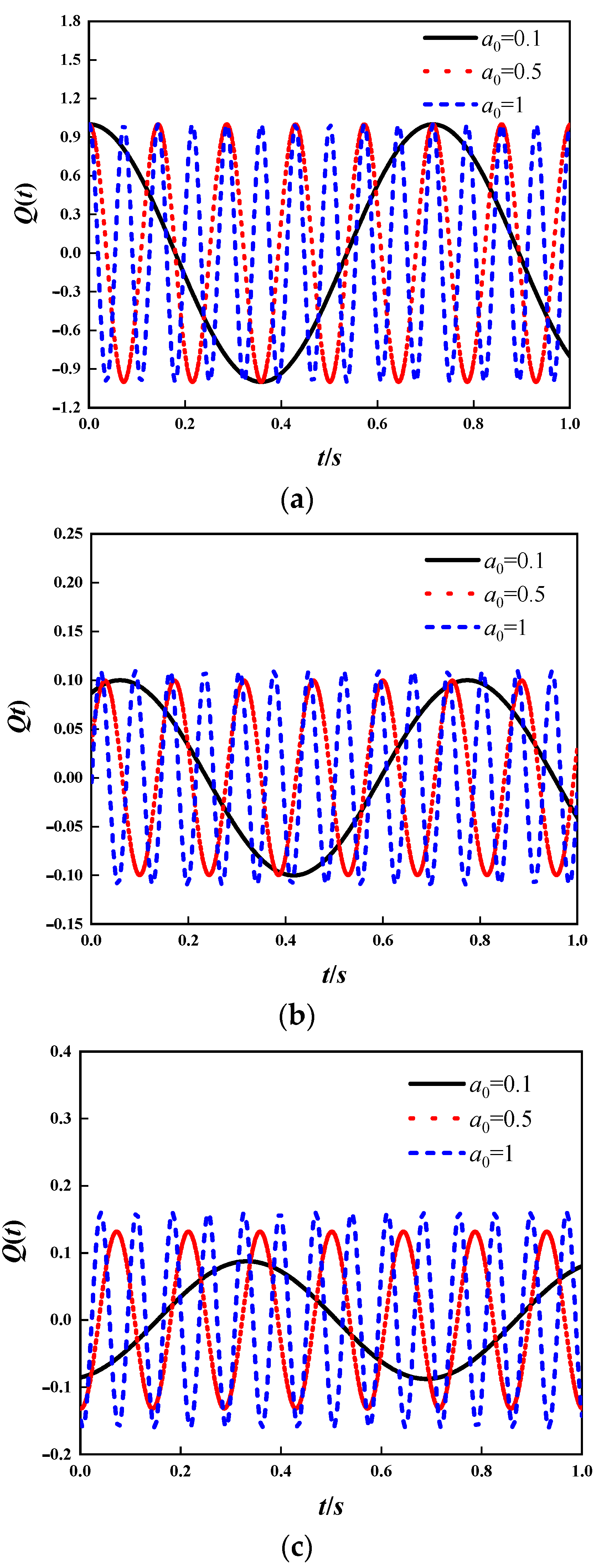
5.2. Time response Analysis of Helical Pile
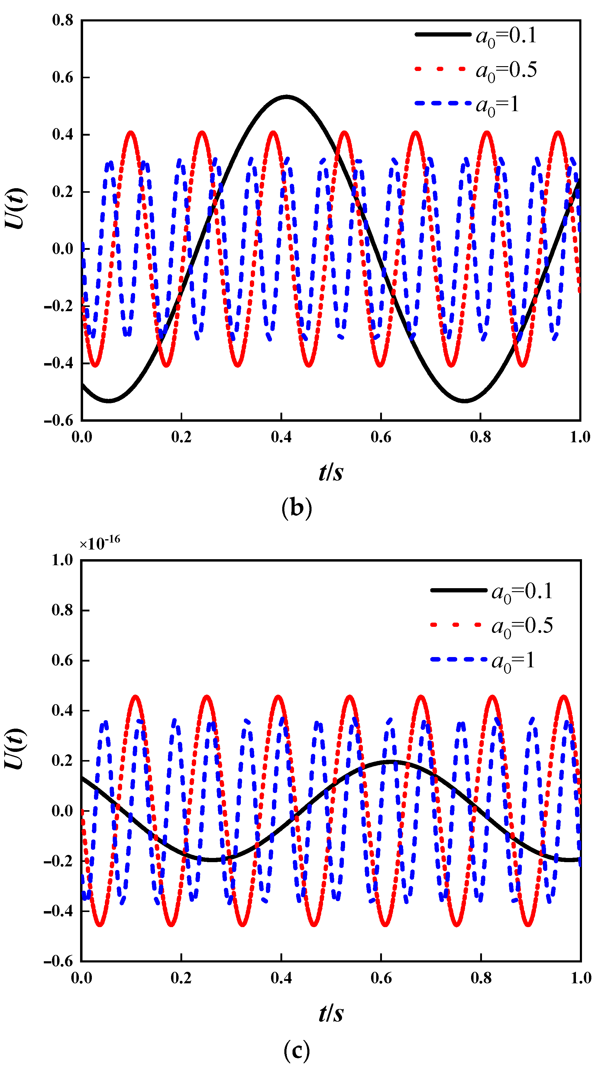
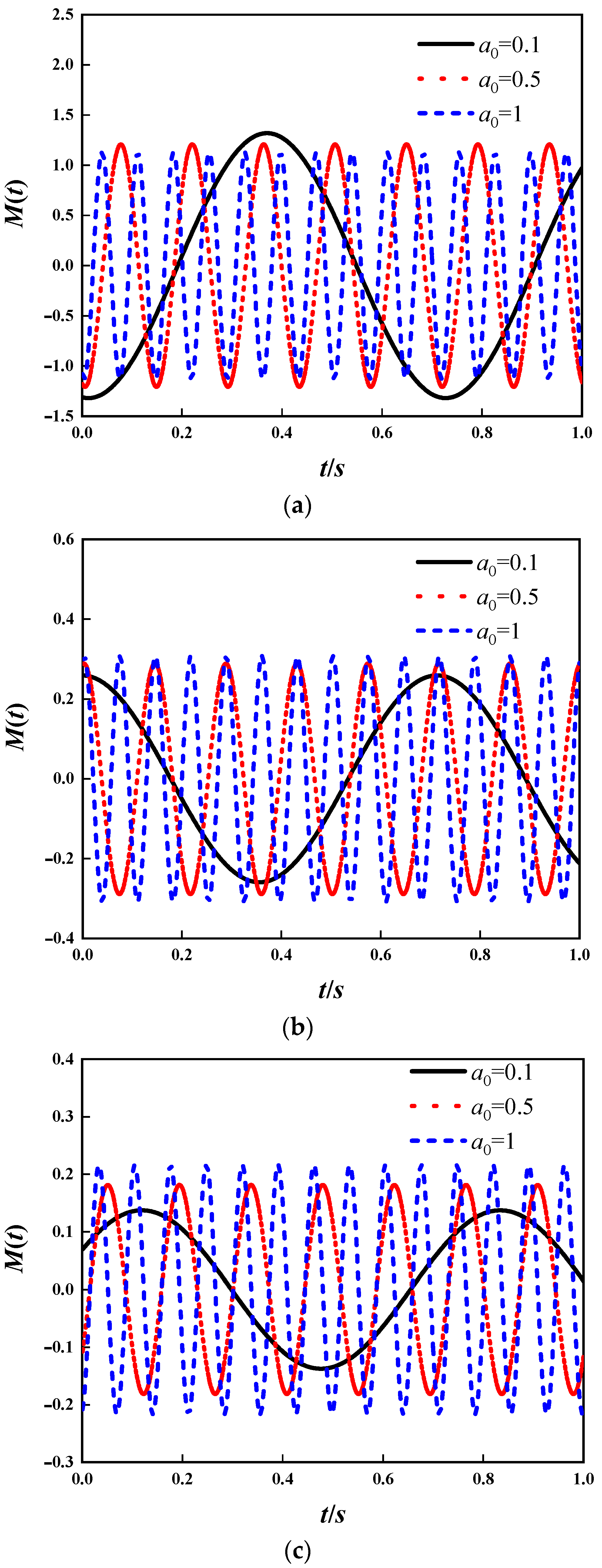
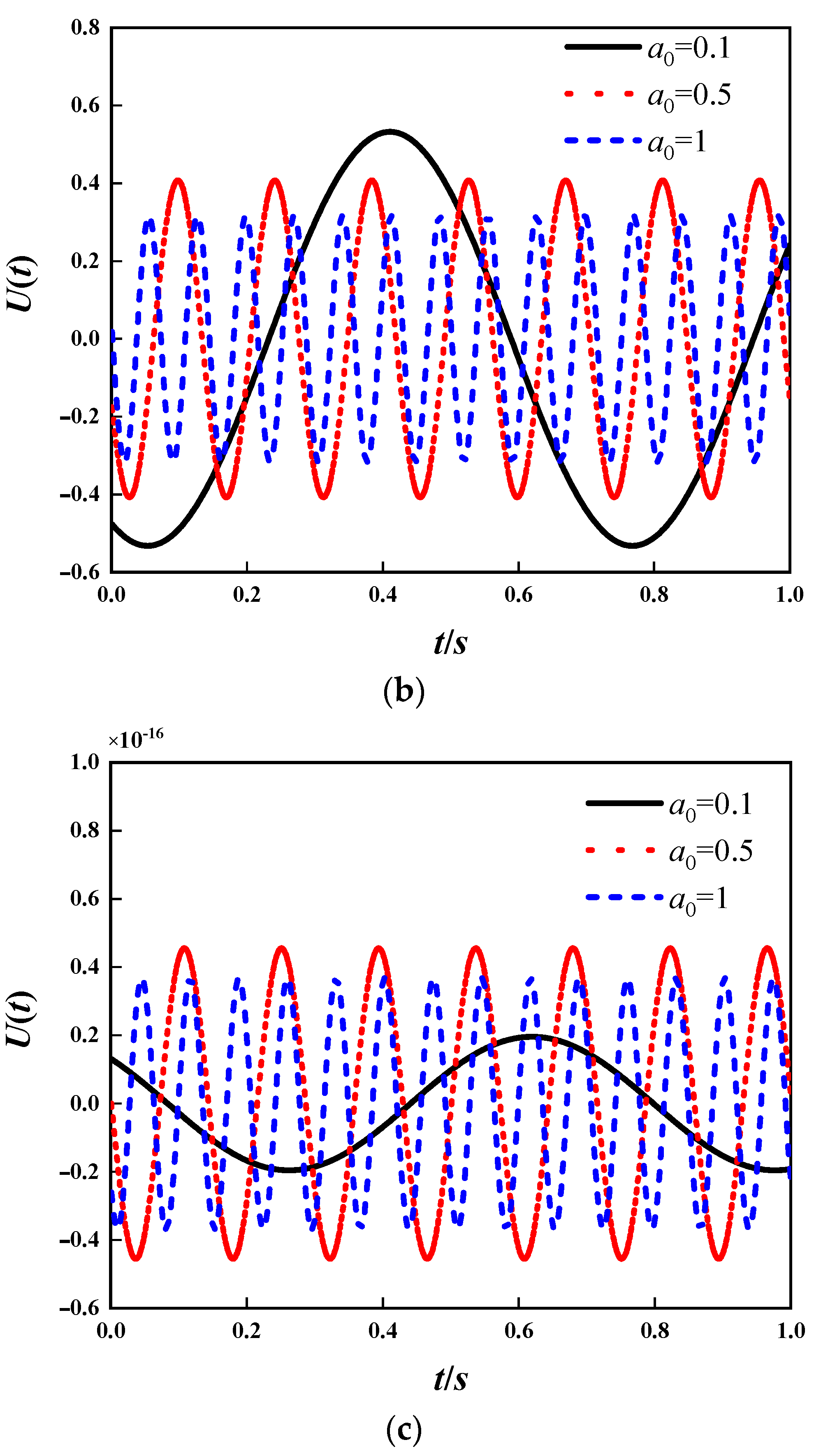
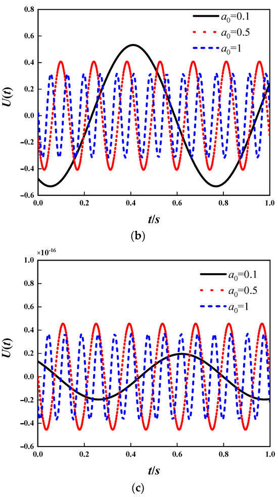
5.2.1. Analysis of Displacement Time Response
5.2.2. Analysis of Bending Moment Time Response
5.2.3. Analysis of Shear Force Time Response
6. Conclusions
- (1)
- The LDD of the pile top increases with the increase in the helix inclination angle, but the BM of the pile top and pile end, as well as the SF of the middle part of the helical pile, increase with the decrease in the helix’s inclination angle. The smaller the helix’s inclination angle, the greater the change degree.
- (2)
- The LDD of the pile top decreases with the increase in the dimensionless frequency, while the SF of the pile end increases with the increase in the dimensionless frequency.
- (3)
- The LDR of the pile body basically increases significantly with the increase in the pile–soil stiffness ratio.
- (4)
- The smaller the dimensionless frequency, the more time it takes for the LDR to reach its maximum values, and the smaller the dimensionless frequency, the greater the change degree. The reason for these phenomena is that the change in dimensionless frequency results in nonlinear change in the damping coefficient and period.
Author Contributions
Funding
Institutional Review Board Statement
Informed Consent Statement
Data Availability Statement
Conflicts of Interest
References
- El Naggar, M.H.; Youssef, M.A.; Ahmed, M. Monotonic and cyclic lateral behaviour of helical pile specialized connectors. Eng. Struct. 2007, 29, 2635–2640. [Google Scholar] [CrossRef]
- Livneh, B.; El Naggar, M.H. Axial testing and numerical modeling of square shaft helical piles under compressive and tensile loading. Can. Geotech. J. 2008, 45, 1142–1155. [Google Scholar] [CrossRef]
- Fahmy, A.; El Naggar, M.H. Axial performance of helical tapered piles in sand. Geotech. Geol. Eng. 2017, 35, 1549–1576. [Google Scholar] [CrossRef]
- Elkasabgy, M.; El Naggar, M.H. Dynamic response of vertically loaded helical and driven steel piles. Can. Geotech. J. 2013, 50, 521–535. [Google Scholar] [CrossRef]
- Byrne, B.W.; Houlsby, G.T. Helical piles: An innovative foundation design option for offshore wind turbines. Philos. Trans. R. Soc. A 2015, 37, 20140081. [Google Scholar] [CrossRef]
- Spagnoli, G. A review on the behavior of helical piles as a potential offshore foundation system. Mar. Georesour. Geotec. 2020, 38, 1013–1036. [Google Scholar]
- Venkatesan, V.; Mayakrishnan, M. Behavior of mono helical pile foundation in clays under combined uplift and lateral loading conditions. Appl. Sci. 2022, 12, 6827. [Google Scholar]
- Ren, G.F.; Wang, Y.X.; Tang, Y.Q.; Zhao, Q.X.; Qiu, Z.G.; Luo, W.H.; Ye, Z.L. Research on lateral bearing behavior of spliced helical piles with the SPH method. Appl. Sci. 2022, 12, 8215. [Google Scholar] [CrossRef]
- Hussein, A.F.; El Naggar, M.H. Dynamic performance of driven and helical piles in cohesive soil. Acta Geotech. 2023, 18, 1543–1568. [Google Scholar]
- Shao, K.; Su, Q.; Liu, K.W.; Shao, G.X.; Zhong, Z.B.; Li, Z.Q. A new modified approach to evaluating the installation power of large-diameter helical piles in sand validated by centrifuge and field data. Appl. Ocean Res. 2021, 114, 102756. [Google Scholar]
- Zhang, Y.P.; El Naggar, M.H.; Wu, W.B.; Wang, Z.Q.; Yang, X.Y.; Jiang, G.S. Dynamic torsional impedance of large-diameter pipe pile for offshore engineering: 3D analytical solution. Appl. Math. Model. 2022, 111, 664–680. [Google Scholar]
- Wu, W.B.; Lu, C.H.; Chen, L.B.; Mei, G.X.; El Naggar, M.H.; Liu, H. Horizontal vibration characteristics of pile groups in unsaturated soil considering coupled pile-pile interaction. Ocean. Eng. 2023, 281, 115000. [Google Scholar]
- Cui, C.Y.; Meng, K.; Xu, C.S.; Wang, B.L.; Xin, Y. Vertical vibration of a floating pile considering the incomplete bonding effect of the pile-soil interface. Comput. Geotech. 2022, 150, 104894. [Google Scholar] [CrossRef]
- Su, C.C.; Lu, D.C.; Zhou, X.; Wang, G.S.; Zhuang, X.Y.; Du, X.L. An implicit stress update algorithm for the plastic nonlocal damage model of concrete. Comput. Method. Appl. M. 2023, 414, 116189. [Google Scholar] [CrossRef]
- Cui, C.Y.; Liang, Z.M.; Xu, C.S.; Xin, Y.; Wang, B.L. Analytical solution for horizontal vibration of end-bearing single pile in radially heterogeneous saturated soil. Appl. Math. Model. 2023, 116, 65–83. [Google Scholar] [CrossRef]
- Al-Jeznawi, D.; Jais, I.B.M.; Albusoda, B.S.; Alzabeebee, S.; Al-Janabi, M.A.Q.; Keawsawasvong, S. Response of pipe piles embedded in sandy soils under seismic loads. Transp. Infrastruct. Geotechnol. 2023. [Google Scholar] [CrossRef]
- Orang, M.J.; Motamed, R.; Toth, J. Experimental evaluation of dynamic response of helical piles in dry sand using 1g shaking table tests. In Proceedings of the 7th International Conference on Earthquake Geotechnical Engineering, Rome, Italy, 17–20 June 2019; pp. 4226–4234. [Google Scholar]
- El Naggar, M.H. Recent advances in helical piles for dynamic and seismic applications. In Proceedings of the 4th International Conference on Performance Based Design in Earthquake Geotechnical Engineering, Beijing, China, 19 September 2022; pp. 24–49. [Google Scholar]
- Dong, T.W.; Liang, L.; Huang, L.Z.; Wang, M.S. Pullout test of screw pile foundation. Rock. Soil. Mech. 2009, 30, 186–190. (In Chinese) [Google Scholar]
- Hu, W.; Liu, K.S.; Zhang, Y.H.; Zou, G.H. Uplift loading test on full-scale single blade screw anchor pile. J. Civ. Archit. Environ. Eng. 2017, 39, 31–39. (In Chinese) [Google Scholar]
- Wang, T.F.; Liu, J.K.; Tai, B.W.; Lv, P. Model tests on frost jacking behaviors of helical steel piles. Chin. J. Geotech. Eng. 2018, 40, 1084–1092. (In Chinese) [Google Scholar]
- Hao, D.X.; Wang, D.; O’Loughlin, C.D.; Gaudin, C. Tensile monotonic capacity of helical anchors in sand: Interaction between helices. Can. Geotech. J. 2019, 56, 1534–1543. [Google Scholar] [CrossRef]
- Wang, L.; Zhang, Q.Y.; Ding, H.Y.; Tian, Y.H.; Qi, X. The uplift capacity of single-plate helical pile in shallow dense sand including the influence of installation. Mar. Struct. 2020, 71, 102697. [Google Scholar] [CrossRef]
- Filho, J.D.S.; Tsuha, H.C. Uplift performance of helical piles with cement injection in residual soils. Can. Geotech. J. 2020, 57, 1335–1355. [Google Scholar] [CrossRef]
- Feng, S.J.; Fu, W.D.; Chen, H.X.; Li, H.X.; Xie, Y.L.; Lv, S.F.; Li, J. Field tests of micro screw anchor piles under different loading conditions at three soil sites. Bull. Eng. Geol. Environ. 2021, 80, 127–144. [Google Scholar] [CrossRef]
- Meng, Z.; Chen, J.J.; Wang, J.H.; Yin, Z.Y. Study of model test on bearing capacity of screw piles in sand. Rock. Soil. Mech. 2012, 33, 141–145. [Google Scholar]
- Black, J.A.; Hird, C.C.; Stanier, S.A. Modelling helical screw piles in soft clay and design implications. Geotech. Eng. 2014, 167, 447–460. [Google Scholar]
- Zhang, X.C.; Han, C.Y.; Bai, Y.C.; Cao, Y.P. The experimental study on the bearing capacity of steel screw piles owing to the effects of geometrical structures of piles. Struct. Eng. 2019, 35, 178–183. (In Chinese) [Google Scholar]
- Hu, H.X.; Liu, J.; Zhu, S.P. Prediction of single ultimate bearing capacity of screwed casting pile. J. Cent. South Univ. 2007, 38, 1239–1244. (In Chinese) [Google Scholar]
- Dong, T.W.; Liang, L.; Wang, M.S.; Zhang, J.C. Pitch of screws and bearing capacity of screw piles under ultimate load. Chin. J. Geotech. Eng. 2006, 28, 2031–2034. (In Chinese) [Google Scholar]
- Dong, T.W.; Liang, L. Solution of load-settlement function of single screw pile under axial pressure. Chin. J. Geotech. Eng. 2007, 29, 1483–1487. (In Chinese) [Google Scholar]
- Akopyan, V.; Akopyan, A. Experimental and theoretical investigation of the interaction of the reinforced concrete screw piles with the surrounding soil. Procedia Eng. 2016, 150, 2202–2207. [Google Scholar] [CrossRef][Green Version]
- Wang, J.; Qiu, C.; Cao, W.; Wu, M. Calculation method discussion on bearing capacity of screw pile in clay based on load test. Spec. Struct. 2017, 34, 65–70. (In Chinese) [Google Scholar]
- Hu, W.; Meng, J.W.; Liu, S.K.; Long, C.B.; Yao, C.; Gong, W.H. Experimental and theoretical researches on horizontal bearing mechanism of single screw anchor pile. Chin. J. Geotech. Eng. 2020, 42, 158–167. (In Chinese) [Google Scholar]
- Elsawy, M.K.; El Naggar, M.H.; Cerato, A.; Elgamal, A. Seismic performance of helical piles in dry sand from large-scale shaking table tests. Géotechnique 2019, 69, 1071–1085. [Google Scholar] [CrossRef]
- Zhang, X.C.; Bai, Y.C.; He, Z.Q.; Zhu, A. Research on the dynamical response characteristics of steel screw pile under lateral vibration. Chin. J. Constr. Mach. 2019, 17, 547–553. (In Chinese) [Google Scholar]
- Wu, W.B.; Zhang, Y.P. A review of pile foundations in viscoelastic medium: Dynamic analysis and wave propagation modeling. Energies 2022, 15, 9432. [Google Scholar] [CrossRef]
- Lin, Y.F.; Xiao, J.D.; Le, C.H.; Zhang, P.Y.; Chen, Q.S.; Ding, H.Y. Bearing characteristics of helical pile foundations for offshore wind turbines in sandy soil. J. Mar. Sci. Eng. 2022, 10, 889. [Google Scholar] [CrossRef]
- Kim, H.J.; Reyes, J.V.; Dinoy, P.R.; Park, T.W.; Kin, H.S.; Kim, J.Y. Modified p-y curves to characterize the lateral behavior of helical piles. Geomech. Eng. 2022, 31, 505–518. [Google Scholar]
- Chen, L.B.; Li, J.X.; Wu, W.B.; Liu, H.; Yao, Y.; Zhang, P. New method to calculate the kinematic response of offshore pipe piles under seismic S-waves. Soil. Dyn. Earthq. Eng. 2023, 165, 107651. [Google Scholar] [CrossRef]
- Liu, H.; Wu, W.B.; Yang, X.Y.; Liu, X.; Wang, L.X.; El Naggar, M.H.; Wen, M.J. Apparent wave velocity inverse analysis method and its application in dynamic pile testing. Int. J. Numer. Anal. Met. 2023, 47, 549–569. [Google Scholar] [CrossRef]
- Alnmr, A.; Ray, R.P.; Alsirawan, R. A state-of-the-art review and numerical study of reinforced expansive soil with granular anchor piles and helical piles. Sustainability 2023, 15, 2802. [Google Scholar] [CrossRef]
- Yu, J.; Shang, S.P.; Li, Z.; Ren, H.; Zeng, Y.L. Dynamical characteristics of an end bearing pile embedded in saturated soil under horizontal vibration. Chin. J. Geotech. Eng. 2009, 31, 101–108. (In Chinese) [Google Scholar]
- Liu, X.; Wang, L.X.; El Naggar, M.H.; Wu, W.B.; Liu, H.; Li, L.C.; Wang, K.H.; Mei, G.X.; Xiao, L. Dynamic analysis of layered soil-pile interaction based on the nearly continuous model. Ocean Eng. 2023, 279, 114457. [Google Scholar] [CrossRef]
- Lu, D.C.; Wu, C.Y.; Ma, C.; Du, X.L.; El Naggar, M.H. A novel segmental cored column for upgrading the seismic performance of underground frame structures. Soil. Dyn. Earthq. Eng. 2020, 131, 106011. [Google Scholar] [CrossRef]
- Gazetas, G.; Dobry, R. Horizontal response of piles in layered soils. Int. J. Geotech. Eng. 1984, 110, 20–40. [Google Scholar] [CrossRef]
- Timoshenko, P.S. On the correction for shear of the differential equation for transverse vibrations of prismatic bars. Philos. Mag. 1921, 41, 744–746. [Google Scholar] [CrossRef]
- Wang, G.Y. Vibration of Building Structures; Science Press: Beijing, China, 1978. [Google Scholar]
- Hu, A.F.; Xie, K.H.; Ying, H.W.; Qian, L. Analytic theory of horizontal vibration of single pile considering shear deformation of pile body in viscoelastic foundation. Chin. J. Rock. Mech. Eng. 2004, 23, 1515–1520. (In Chinese) [Google Scholar]
- Wang, C.Z.; Wu, J.; Wang, L.X.; Liu, H.; Wu, W.B. Horizontal vibration characteristics of screw pile in viscoelastic foundation. J. Cent. South Univ. 2022, 53, 2279–2289. (In Chinese) [Google Scholar]

















| Parameters | Symbol | Value | Unit |
|---|---|---|---|
| Pile diameter | D | 0.3 | m |
| Pile length | L | 4.5 | m |
| Helical extension ratio | D0/D | 1.5 | - |
| Helical inclination angle | 30 | ° | |
| Helical tooth width | b | 0.075 | m |
| Dimensionless frequency | a0 | 0.5 | - |
| Elastic modulus of pile | Ep | 2.0 × 1010 | Pa |
| Elastic modulus of soil | Es | 4.0 × 106 | Pa |
| Pile density | 2.5 × 103 | kg/m3 | |
| Soil density | 2.0 × 103 | kg/m3 | |
| Pile’s Poisson’s ratio | 0.17 | - | |
| Soil’s Poisson’s ratio | 0.4 | - | |
| Soil’s damping ratio | 0.05 | - | |
| External load amplitude | 100 | kN |
Disclaimer/Publisher’s Note: The statements, opinions and data contained in all publications are solely those of the individual author(s) and contributor(s) and not of MDPI and/or the editor(s). MDPI and/or the editor(s) disclaim responsibility for any injury to people or property resulting from any ideas, methods, instructions or products referred to in the content. |
© 2023 by the authors. Licensee MDPI, Basel, Switzerland. This article is an open access article distributed under the terms and conditions of the Creative Commons Attribution (CC BY) license (https://creativecommons.org/licenses/by/4.0/).
Share and Cite
Yang, X.; Wang, C.; Cao, S.; Wang, F.; Wu, W. Lateral Dynamic Response of Helical Pile in Viscoelastic Foundation Considering Shear Deformation. Appl. Sci. 2023, 13, 12220. https://doi.org/10.3390/app132212220
Yang X, Wang C, Cao S, Wang F, Wu W. Lateral Dynamic Response of Helical Pile in Viscoelastic Foundation Considering Shear Deformation. Applied Sciences. 2023; 13(22):12220. https://doi.org/10.3390/app132212220
Chicago/Turabian StyleYang, Xiaoyan, Chaozhe Wang, Sheng Cao, Fengxi Wang, and Wenbing Wu. 2023. "Lateral Dynamic Response of Helical Pile in Viscoelastic Foundation Considering Shear Deformation" Applied Sciences 13, no. 22: 12220. https://doi.org/10.3390/app132212220
APA StyleYang, X., Wang, C., Cao, S., Wang, F., & Wu, W. (2023). Lateral Dynamic Response of Helical Pile in Viscoelastic Foundation Considering Shear Deformation. Applied Sciences, 13(22), 12220. https://doi.org/10.3390/app132212220

