Assessing Change of Direction Ability in Young Male Athletes: A Comparative Analysis of Change of Direction Deficit and Change of Direction Total Time
Abstract
:1. Introduction
2. Method
2.1. Participants
2.2. Design and Procedures
2.2.1. Linear Speed Test
2.2.2. COD Test
2.3. Data Processing
2.4. Statistical Analysis
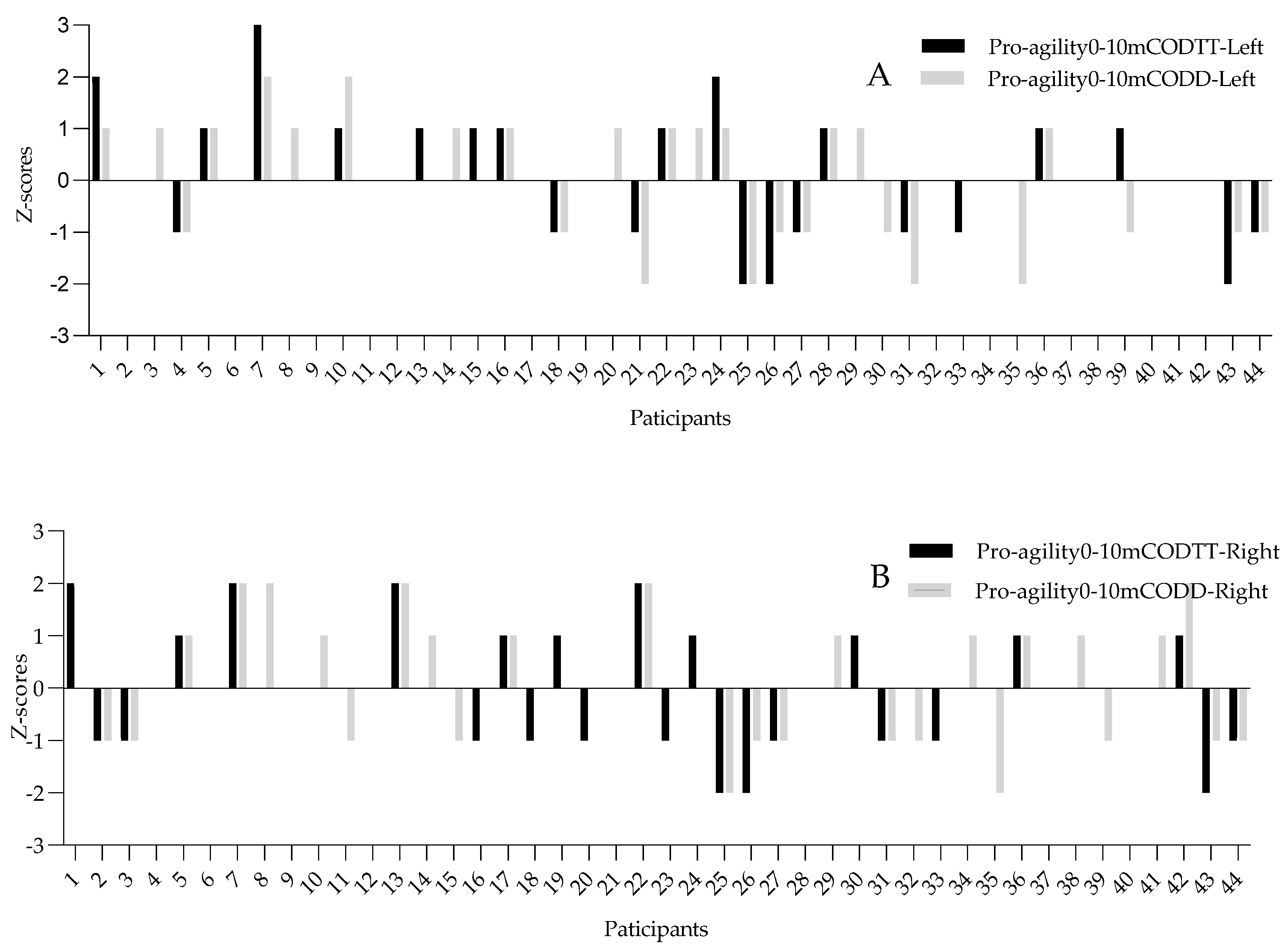
3. Results
4. Discussion
5. Conclusions
Author Contributions
Funding
Institutional Review Board Statement
Informed Consent Statement
Data Availability Statement
Acknowledgments
Conflicts of Interest
References
- Sheppard, J.M.; Young, W.B. Agility literature review: Classifications, training and testing. J.Sports Sci. 2006, 24, 919–932. [Google Scholar] [CrossRef] [PubMed]
- Rouissi, M.; Haddad, M.; Bragazzi, N.L.; Owen, A.L.; Moalla, W.; Chtara, M.; Chamari, K. Implication of dynamic balance in change of direction performance in young elite soccer players is angle dependent? J. Sports Med. Phys. Fitness. 2018, 58, 442–449. [Google Scholar] [CrossRef] [PubMed]
- Young, W.B.; Dawson, B.; Henry, G.J. Agility and change-of-direction speed are independent skills: Implications for training for agility in invasion sports. Int. J. Sports. Sci. Coach. 2015, 10, 159–169. [Google Scholar] [CrossRef]
- Paul, D.J.; Gabbett, T.J.; Nassis, G.P. Agility in team sports: Testing, training and factors affecting performance. Sports Med. 2016, 46, 421–442. [Google Scholar] [CrossRef] [PubMed]
- Nimphius, S.; Callaghan, S.J.; Spiteri, T.; Lockie, R.G. Change of direction deficit: A more isolated measure of change of direction performance than total 505 time. J. Strength Cond. Res. 2016, 30, 3024–3032. [Google Scholar] [CrossRef] [PubMed]
- Fiorilli, G.; Mitrotasios, M.; Iuliano, E.; Pistone, E.M.; Aquino, G.; Calcagno, G.; Di Cagno, A. Agility and change of direction in soccer: Differences according to the player ages. J. Sports Med. Phys. Fitness. 2017, 57, 1597–1604. [Google Scholar] [PubMed]
- Sayers, M.G. Influence of test distance on change of direction speed test results. J. Strength Cond. Res. 2015, 29, 2412–2416. [Google Scholar] [CrossRef] [PubMed]
- Hornikova, H.; Zemkova, E. Relationship between physical factors and change of direction speed in team sports. Appl. Sci. 2021, 11, 655. [Google Scholar] [CrossRef]
- Nimphius, S.; Geib, G.; Spiteri, T.; Carlisle, D. “Change of direction” deficit measurement in division i american football players. Aust. Strength Cond. Res. 2013, 21, 115–117. [Google Scholar]
- Cuthbert, M.; Thomas, C.; Dos’Santos, T.; Jones, P.A. Application of change of direction deficit to evaluate cutting ability. J. Strength Cond. Res. 2019, 33, 2138–2144. [Google Scholar] [CrossRef] [PubMed]
- Dos’Santos, T.; Thomas, C.; Jones, P.A.; Comfort, P. Assessing asymmetries in change of direction speed performance: Application of change of direction deficit. J. Strength Cond. Res. 2019, 33, 2953–2961. [Google Scholar] [CrossRef] [PubMed]
- Jones, P.A.; Bampouras, T.M. A comparison of isokinetic and functional methods of assessing bilateral strength imbalance. J. Strength Cond. Res. 2010, 24, 1553–1558. [Google Scholar] [CrossRef] [PubMed]
- Zwolski, C.; Schmitt, L.C.; Thomas, S.; Hewett, T.E.; Paterno, M.V. The utility of limb symmetry indices in return-to-sport assessment in patients with bilateral anterior cruciate ligament reconstruction. Am. J. Sport Med. 2016, 44, 2030–2038. [Google Scholar] [CrossRef] [PubMed]
- Hopkins, W.G.; Marshall, S.W.; Batterham, A.M.; Hanin, J. Progressive statistics for studies in sports medicine and exercise science. Med. Sci. Sport. Exer. 2009, 41, 3–12. [Google Scholar] [CrossRef] [PubMed]
- Lockie, R.G.; Farzad, J.; Orjalo, A.J.; Giuliano, D.V.; Moreno, M.R.; Wright, G.A. A methodological report: Adapting the 505 change-of-direction speed test specific to american football. J. Strength Cond. Res. 2017, 31, 539–547. [Google Scholar] [CrossRef] [PubMed]
- Freitas, T.T.; Pereira, L.A.; Alcaraz, P.E.; Arruda, A.F.S.; Guerriero, A.; Azevedo, P.; Loturco, I. Influence of strength and power capacity on change of direction speed and deficit in elite team-sport athletes. J. Hum. Kinet. 2019, 68, 167–176. [Google Scholar] [CrossRef]
- Havens, K.L.; Sigward, S.M. Whole body mechanics differ among running and cutting maneuvers in skilled athletes. Gait Posture 2015, 42, 240–245. [Google Scholar] [CrossRef]
- Loturco, I.; Pereira, L.A.; Freitas, T.T.; Alcaraz, P.E.; Zanetti, V.; Bishop, C.; Jeffreys, I. Maximum acceleration performance of professional soccer players in linear sprints: Is there a direct connection with change-of-direction ability? PLoS ONE 2019, 14, e0216806. [Google Scholar] [CrossRef]
- Loturco, I.; Jeffreys, I.; Abad, C.C.C.; Kobal, R.; Zanetti, V.; Pereira, L.A.; Nimphius, S. Change-of-direction, speed and jump performance in soccer players: A comparison across different age-categories. J. Sports Sci. 2020, 38, 1279–1285. [Google Scholar] [CrossRef] [PubMed]
- Nimphius, S.; Callaghan, S.J.; Bezodis, N.E.; Lockie, R.G. Change of direction and agility tests: Challenging our current measures of performance. J. Strength Cond. Res. 2018, 40, 26–38. [Google Scholar] [CrossRef]



| Test | Variable | Result (s) | 95%CI | |
|---|---|---|---|---|
| Lower (s) | Upper (s) | |||
| Pro-agility 0–10 m | CODTT-left | 2.70 ± 0.13 | 2.42 | 3.05 |
| CODD-left | 0.95 ± 0.11 | 0.71 | 1.21 | |
| CODTT-right | 2.70 ± 0.13 | 2.41 | 3.02 | |
| CODD-right | 0.96 ± 0.10 | 0.75 | 1.18 | |
| Pro-agility | CODTT-left | 5.22 ± 0.22 | 4.75 | 5.68 |
| CODD-left | 2.62 ± 0.21 | 2.19 | 3.12 | |
| CODTT-right | 5.23 ± 0.21 | 4.79 | 5.69 | |
| CODD-right | 2.63 ± 0.20 | 2.29 | 3.03 | |
| Y pre-planned agility | CODTT-left | 1.83 ± 0.10 | 1.67 | 2.14 |
| CODD-left | 0.08 ± 0.08 | 0.05 | 0.29 | |
| CODTT-right | 1.83 ± 0.08 | 1.66 | 2.04 | |
| CODD-right | 0.09 ± 0.05 | 0.04 | 0.27 | |
| 30 m sprint | 0–5 m | 1.00 ± 0.05 | 0.89 | 1.15 |
| 0–10 m | 1.74 ± 0.08 | 1.61 | 1.94 | |
| 0–30 m | 4.34 ± 0.23 | 3.90 | 4.91 | |
| Variable | Y CODTT | Y CODD | |||||
|---|---|---|---|---|---|---|---|
| r | R2 | p | r | R2 | p | ||
| Left | 0–5 m | 0.65 | 43 | <0.01 | −0.14 | 2 | 0.37 |
| 0–10 m | 0.65 | 42 | <0.01 | −0.23 | 5 | 0.13 | |
| 0–30 m | 0.49 | 24 | <0.01 | −0.32 | 10 | 0.03 | |
| CODTT | 1.00 | / | / | 0.59 | 35 | <0.01 | |
| Right | 0–5 m | 0.76 | 57 | <0.01 | −0.19 | 4 | 0.20 |
| 0–10 m | 0.78 | 61 | <0.01 | −0.28 | 8 | 0.06 | |
| 0–30 m | 0.64 | 40 | <0.01 | −0.34 | 12 | 0.02 | |
| CODTT | 1.00 | / | / | 0.38 | 15 | 0.01 | |
| Direction | Variable | Pro-Agility 0–10 m CODTT | Pro-Agility 0–10 m CODD | ||||
|---|---|---|---|---|---|---|---|
| r | R2 | p | r | R2 | p | ||
| Left | 0–5 m | 0.61 | 37 | <0.01 | 0.06 | 0 | 0.69 |
| 0–10 m | 0.56 | 32 | <0.01 | −0.05 | 0 | 0.73 | |
| 0–30 m | 0.42 | 17 | 0.01 | −0.15 | 2 | 0.34 | |
| CODTT | 1.00 | / | / | 0.79 | 63 | <0.01 | |
| Right | 0–5 m | 0.65 | 43 | <0.01 | 0.12 | 2 | 0.42 |
| 0–10 m | 0.60 | 38 | <0.01 | 0.01 | 0 | 0.95 | |
| 0–30 m | 0.47 | 22 | <0.01 | −0.08 | 1 | 0.57 | |
| CODTT | 1.00 | / | / | 0.79 | 63 | <0.01 | |
| Direction | Variable | Pro-Agility CODTT | Pro-Agility CODD | ||||
|---|---|---|---|---|---|---|---|
| r | R2 | p | r | R2 | p | ||
| Left | 0–5 m | 0.66 | 43 | <0.01 | 0.23 | 5 | 0.14 |
| 0–10 m | 0.63 | 40 | <0.01 | 0.06 | 1 | 0.66 | |
| 0–30 m | 0.49 | 24 | <0.01 | −0.23 | 5 | 0.13 | |
| CODTT | 1.00 | / | / | 0.73 | 52 | <0.01 | |
| Right | 0–5 m | 0.65 | 43 | <0.01 | 0.24 | 6 | 0.11 |
| 0–10 m | 0.66 | 44 | <0.01 | 0.10 | 11 | 0.50 | |
| 0–30 m | 0.58 | 33 | <0.01 | −0.16 | 3 | 0.29 | |
| CODTT | 1.00 | / | / | 0.70 | 49 | <0.01 | |
| Dominant Side (s) | Non-Dominant Side (s) | Asymmetry Index (%) | p | ES | |
|---|---|---|---|---|---|
| CODTT | 2.70 ± 0.13 | 2.70 ± 0.13 | 2.59 ± 1.88 | 0.68 | −0.04 |
| CODD | 0.95 ± 0.11 | 0.96 ± 0.10 | 7.26 ± 5.22 | 0.68 | −0.05 |
Disclaimer/Publisher’s Note: The statements, opinions and data contained in all publications are solely those of the individual author(s) and contributor(s) and not of MDPI and/or the editor(s). MDPI and/or the editor(s) disclaim responsibility for any injury to people or property resulting from any ideas, methods, instructions or products referred to in the content. |
© 2023 by the authors. Licensee MDPI, Basel, Switzerland. This article is an open access article distributed under the terms and conditions of the Creative Commons Attribution (CC BY) license (https://creativecommons.org/licenses/by/4.0/).
Share and Cite
Ye, J.; Wang, Y.; Gao, B. Assessing Change of Direction Ability in Young Male Athletes: A Comparative Analysis of Change of Direction Deficit and Change of Direction Total Time. Appl. Sci. 2023, 13, 12211. https://doi.org/10.3390/app132212211
Ye J, Wang Y, Gao B. Assessing Change of Direction Ability in Young Male Athletes: A Comparative Analysis of Change of Direction Deficit and Change of Direction Total Time. Applied Sciences. 2023; 13(22):12211. https://doi.org/10.3390/app132212211
Chicago/Turabian StyleYe, Jiachi, Yi Wang, and Binghong Gao. 2023. "Assessing Change of Direction Ability in Young Male Athletes: A Comparative Analysis of Change of Direction Deficit and Change of Direction Total Time" Applied Sciences 13, no. 22: 12211. https://doi.org/10.3390/app132212211
APA StyleYe, J., Wang, Y., & Gao, B. (2023). Assessing Change of Direction Ability in Young Male Athletes: A Comparative Analysis of Change of Direction Deficit and Change of Direction Total Time. Applied Sciences, 13(22), 12211. https://doi.org/10.3390/app132212211
