Experimental Study on the Influence of Different Dam Body on the Sediment Interception and Discharge Capacity of the Cascade Permeable Dams
Abstract
:1. Introduction
2. Materials and Methods
2.1. Similarity Criterion and Parameter Calculation
2.2. Experimental Setup
2.3. Experimental Condition
3. Results
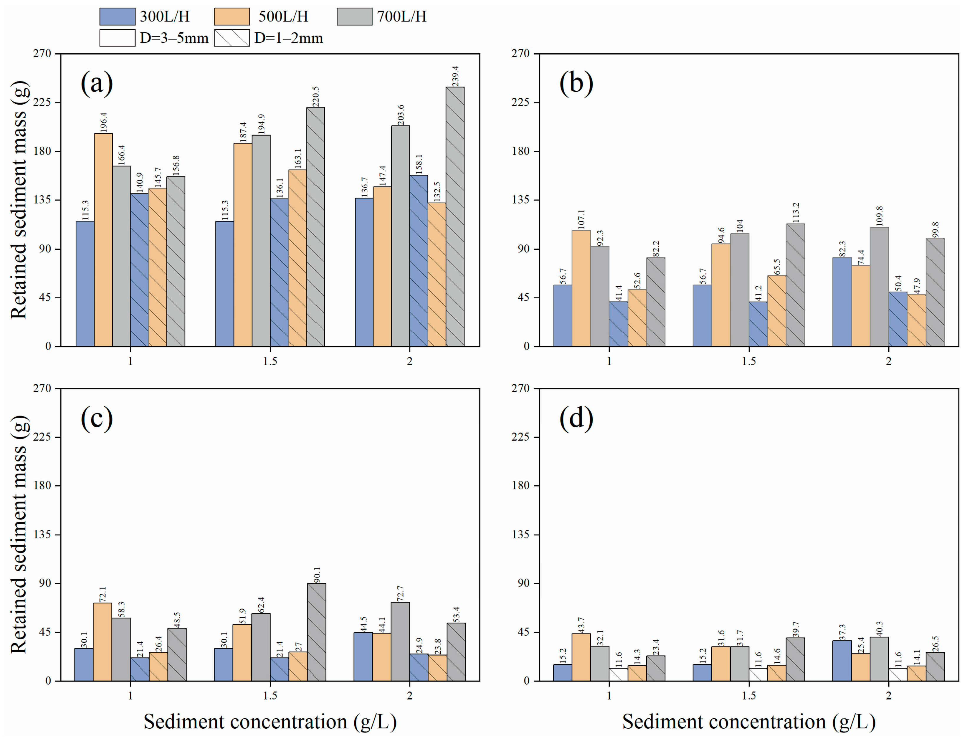
3.1. Percentage of Intercepted Sediment Mass
3.2. Relative Water Level
3.3. Water Level Difference
3.4. Permeable Coefficient
3.5. Turbidity
4. Discussion
4.1. Effect of Dam Material Particle Size on the Experimental Parameters
4.2. Effect of Dam Bodies on the Experimental Parameters
4.3. Effectiveness of Sediment Retention in Different Areas
5. Conclusions
- (1)
- Cascade permeable dams can effectively reduce the amount of sediment entering the lake. When D = 1–2 mm, the percentage of intercepted sediment mass in the Dam zone ranged from 75% to 89%, which was significantly greater than that in the Stagnant zone (≤3%) and Deposition zone (9–21%). When D = 3–5 mm, the percentage of intercepted sediment mass in the Dam zone ranged from 53% to 70%, which was also greater than that in the Stagnant zone (≤3%) and Deposition zone (29–45%), indicating that the Dam zone has a better sediment interception performance.
- (2)
- The cascade permeable dam with a small particle size has larger water level differences and weaker discharge capacity. The sediment interception rate (η) of the cascade permeable dam with a small particle size is much higher than that with a large particle size, and is positively correlated with the sediment concentration. As the upstream dam reduces the sediment supply to the subsequent dams, the η of the dams in the same group of experiments is η1 > η2 > η3 > η4, indicating that 1# dam has the best sediment interception efficiency.
- (3)
- As the pores of the dam bodies are continuously blocked by sediment particles, the permeability coefficient (k) of the dam body gradually decreases with time. The smaller the particle size of the dam material, the smaller the permeability coefficient of the dam body. The permeability coefficient of the dam body with large and small particle sizes shows a variation of Δk1 > Δk2 > Δk3 overall, indicating that the discharge capacity of the cascade permeable dam gradually decreases.
- (4)
- Both the turbidity removal rate and the intercepted sediment mass in the cascade permeable dam are positively correlated with the number of dams. For 4# dam, the lower the water level in front of the dam, the smaller the effective volume of the dam body, and the less optimistic sediment interception efficiency. The percentage of the sediment interception mass of the cascade permeable dam is only 3.6–7.7%. Therefore, in the actual engineering application, the number of dam bodies of the cascade permeable dam should be reasonably designed.
Author Contributions
Funding
Institutional Review Board Statement
Informed Consent Statement
Data Availability Statement
Acknowledgments
Conflicts of Interest
References
- De Vente, J.; Posen, J. Predicting soil erosion and sediment yield at the basin scale: Scale issues and semi-quantitative models. Earth-Sci. Rev. 2005, 71, 95–125. [Google Scholar] [CrossRef]
- Milliman, J.D.; Syvitski, J.P.M. Geomorphic/Tectonic Control of Sediment Discharge to the Ocean: The Importance of Small Mountainous Rivers. J. Geol. 1992, 100, 525–544. [Google Scholar] [CrossRef]
- Giambastiani, Y.; Giusti, R.; Gardin, L.; Cecchi, S.; Lannuccilli, M.; Romanelli, S.; Bottai, L.; Ortolani, A.; Gozzoni, B. Assessing Soil Erosion by Monitoring Hilly Lakes Silting. Sustainability 2022, 14, 5649. [Google Scholar] [CrossRef]
- Tan, M.X.; Scholz, C.A. Source-to-sink response to high-amplitude lake level rise driven by orbital-scale climate change: An example from the Pleistocene Lake Malawi (Nyasa) Rift, East Africa. Sedimentology 2021, 68, 3494–3522. [Google Scholar] [CrossRef]
- Fei, J. Water level change of Lake Machang in eastern China over 1814–1902 CE. Clim. Past 2022, 18, 649–655. [Google Scholar] [CrossRef]
- Naganna, S.R.; Deka, P.C. Variability of streambed hydraulic conductivity in an intermittent stream reach regulated by Vented Dams: A case study. J. Hydrol. 2018, 562, 477–491. [Google Scholar] [CrossRef]
- Chapman, J.M.; Proulx, C.L.; Veilleux, M.A.; Levert, C.; Bliss, S.; Andre, M.; Lapointe, N.W. Clear as mud: A meta-analysis on the effects of sedimentation on freshwater fish and the effectiveness of sediment-control measures. Water Res. 2014, 56, 190–202. [Google Scholar] [CrossRef] [PubMed]
- Jones, J.I.; Murphy, J.F.; Collins, A.L.; Sear, D.A.; Naden, P.S.; Armitage, P.D. The Impact of Fine Sediment on Macro-Invertebrates. River Res. Appl. 2012, 28, 1055–1071. [Google Scholar] [CrossRef]
- Donohue, I.; Molinos, J.G. Impacts of increased sediment loads on the ecology of lakes. Biol. Rev. 2009, 84, 517–531. [Google Scholar] [CrossRef]
- Cao, J.X.; Sun, Q.; Zhao, D.H.; Xu, M.Y.; Shen, Q.S.; Wang, D.; Wang, Y.; Ding, S.M. A critical review of the appearance of black-odorous waterbodies in China and treatment methods. J. Hazard. Mater. 2020, 385, 121511. [Google Scholar] [CrossRef] [PubMed]
- Wu, J.W.; Zhong, X.J.; Yang, L.L. Study on characteristics of the sediment release in Chaohu Lake. IOP Conf. Ser. Earth Environ. Sci. 2021, 692, 042071. [Google Scholar] [CrossRef]
- Xu, S.Y.; Lu, J.; Chen, L.C.; Luo, W.G.; Zhu, S.L. Experiment on Sediment Ammonia Nitrogen Release of Chaohu Lake in Varying Hydrodynamic Disturbance. Sustainability 2023, 15, 1581. [Google Scholar] [CrossRef]
- Pal, S.C.; Chakrabortty, R.; Roy, P.; Chowdhuri, I.; Das, B.; Saha, A.; Shit, M. Changing climate and land use of 21st century influences soil erosion in India. Gondwana Res. 2021, 94, 164–185. [Google Scholar] [CrossRef]
- Brils, J. Sediment Monitoring under the EU Water Framework Directive. J. Soils Sediments 2004, 4, 72–73. [Google Scholar] [CrossRef]
- Förstner, U.P.N. Owens, Sustainable management of sediment resources. Vol. 4: Sediment management at the river basin scale. J. Soils Sediments 2008, 8, 212–213. [Google Scholar] [CrossRef]
- Chakrapani, G.J. Factors controlling variations in river sediment loads. Curr. Sci. India 2005, 88, 569–575. [Google Scholar]
- Shang, Q.Q.; Xu, H.; Li, G.B. Overview of Research on the Influence of Permeable Structures. Appl. Mech. Mater. 2013, 405–408, 2115–2122. [Google Scholar] [CrossRef]
- Winterwerp, J.C.; Albers, T.; Anthony, E.J.; Friess, D.A.; Mancheno, A.G.; Moseley, K.; Muhari, A.; Naipal, S.; Noordermeer, J.; Oost, A.; et al. Managing erosion of mangrove-mud coasts with permeable dams-lessons learned. Eco. Eng. 2020, 158, 106078. [Google Scholar] [CrossRef]
- Pranchai, A.; Jenke, M.; Berger, U. Well-intentioned, but poorly implemented: Debris from coastal bamboo fences triggered mangrove decline in Thailand. Mar. Pollut. Bull. 2019, 146, 900–907. [Google Scholar] [CrossRef] [PubMed]
- Abu-Zreig, M.; Rudra, R.P.; Whiteley, H.R. Validation of a vegetated filter strip model (VFSMOD). Hydrol. Process. 2001, 15, 729–742. [Google Scholar] [CrossRef]
- Zhao, C.H.; Gao, J.E.; Zhang, M.J.; Wang, F.; Zhang, T. Sediment deposition and overland flow hydraulics in simulated vegetative filter strips under varying vegetation covers. Hydrol. Process. 2016, 30, 163–175. [Google Scholar] [CrossRef]
- Jin, C.X.; Ronkens, M.J.M. Experimental studies of factors in determining sediment trapping in vegetative filter strips. Trans. ASAE 2001, 44, 277–288. [Google Scholar] [CrossRef]
- Gharabaghi, B.; Rudra, R.B.; Goel, P.K. Effectiveness of Vegetative Filter Strips in Removal of Sediments from Overland Flow. Water Qual. Res. J. Can. 2006, 41, 275–282. [Google Scholar] [CrossRef]
- Yuan, Y.P.; Bingner, R.L.; Locke, M.A. A Review of effectiveness of vegetative buffers on sediment trapping in agricultural areas. Ecohydrology 2009, 2, 321–336. [Google Scholar] [CrossRef]
- Champion, P.D.; Tanner, C.C. Seasonality of macrophytes and interaction with flow in a New Zealand lowland stream. Hydrobiologia 2000, 441, 1–12. [Google Scholar] [CrossRef]
- Xu, X.; Zhang, H.; Zhang, O. Development of check-dam systems in gullies on the Loess Plateau, China. Environ. Sci. Policy 2004, 7, 79–86. [Google Scholar] [CrossRef]
- Zhao, G.; Kondolf, G.M.; Mu, X.; Han, M.; He, Z.; Rubin, Z.; Wang, F.; Gao, P.; Sun, W. Sediment yield reduction associated with land use changes and check dams in a catchment of the Loess Plateau, China. Catena 2017, 148, 126–137. [Google Scholar] [CrossRef]
- Polyakov, V.O.; Nichols, M.H.; Mcclaran, M.P.; Nearing, M.A. Effect of check dams on runoff, sediment yield, and retention on small semiarid watersheds. J. Soil Water Conserv. 2014, 69, 414–421. [Google Scholar] [CrossRef]
- Mekonnen, M.; Keesstra, S.D.; Stroosnijder, L.; Baartman, J.; Maroulis, J. Soil Conservation through Sediment Trapping: A Review. Land Degrad. Dev. 2014, 26, 544–556. [Google Scholar] [CrossRef]
- Schwindt, S.; Franca, M.J.; Reffo, A.; Schleiss, A.J. Sediment traps with guiding channel and hybrid check dams improve controlled sediment retention. Nat. Hazards Earth Syst. Sci. 2018, 18, 647–668. [Google Scholar] [CrossRef]
- Piton, G.; Recking, A. Design of sediment traps with open check dams. I: Hydraulic and Deposition Processes. J. Hydraul. Eng. 2016, 142, 04015045. [Google Scholar] [CrossRef]
- Mishra, A.; Froebrich, J.; Gassman, P.W. Evaluation of the Swat Model for assessing sediment control structures in a small watershed in India. Soil Water Div. 2006, 50, 469–477. [Google Scholar] [CrossRef]
- Zhang, R.Y.; Wu, B.S. Environmental impacts of high water turbidity of the Niulan River to Dianchi Lake water diversion project. J. Environ. Eng. 2019, 146, 05019006. [Google Scholar] [CrossRef]
- Hassanli, A.M.; Nameghi, A.E.; Beecham, S. Evaluation of the effect of porous check dam location on fine sediment retention (a case study). Environ. Monit. Assess. 2009, 152, 319–326. [Google Scholar] [CrossRef] [PubMed]
- Rahmati, O.; Ghasemieh, H.; Samadi, M.; Kalantrai, Z.; Tiefenbacher, J.P.; Nalivan, O.A.; Cerda, A.; Ghiasi, S.S.; Darabi, H.; Haghighi, A.T.; et al. TET: An automated tool for evaluating suitable check-dam sites based on sediment trapping efficiency. J. Clean. Prod. 2020, 266, 122051. [Google Scholar] [CrossRef]
- Wang, H.C.; Wang, D.T.; Bao, Z.; Zhou, X.S. Analysis on Nitrogen and Phosphorus Removal of Sand Stone Dam in River. In Proceedings of the International Conference on Energy Development and Environmental Protection (EDEP), Nanjin, China, 17–19 August 2018. [Google Scholar]
- Yuan, D.H.; Bai, M.H.; He, L.S.; Zhou, Q.; Kou, Y.Y.; Li, J.Q. Removal performance and dissolved organic matter biodegradation characteristics in advection ecological permeable dam reactor. Environ. Technol. 2022, 44, 2288–2299. [Google Scholar] [CrossRef] [PubMed]
- Muccino, J.C.; Gray, W.G.; Ferrand, L.A. Toward an improved understanding of multiphase flow in porous media. Rev. Geophys. 1998, 36, 401–422. [Google Scholar] [CrossRef]
- Soler, M.; Colomer, J.; Folkard, A.; Serra, T. Particle size segregation of turbidity current deposits in vegetated canopies. Sci. Total Environ. 2020, 703, 134784. [Google Scholar] [CrossRef] [PubMed]
- Wei, Y.; Xu, M.X.; Li, R.Q.; Zhang, L.P.; Deng, Q.L. Estimating the ecological water levels of shallow lakes: A case study in Tangxun Lake, China. Sci. Rep. 2020, 10, 5637. [Google Scholar] [CrossRef]
- Cabalar, A.F.; Akbulut, N. Effects of the particle shape and size of sands on the hydraulic conductivity. Acta Geotech. Slov. 2016, 13, 82–93. [Google Scholar]
- Xu, S.L.; Zhu, Y.Z.; Cai, Y.Q.; Sun, H.L.; Cao, H.T.; Shi, J.Q. Predicting the permeability coefficient of polydispersed sand via coupled CFD–DEM simulations. Comput. Geotech. 2022, 144, 104634. [Google Scholar] [CrossRef]
- Ochi, J.; Vernoux, J.F. A two-dimensional network model to simulate permeability decrease under hydrodynamic effect of particle release and capture. Transp. Porous Media 1999, 37, 303–325. [Google Scholar] [CrossRef]
- Tang, Y.; Yao, X.; Chen, Y.; Zhou, Y.; Zhu, D.; Zhang, Y.; Peng, Y. Experiment research on physical clogging mechanism in the porous media and its impact on permeability. Granul. Matter 2020, 22, 37. [Google Scholar] [CrossRef]
- Berni, C.; Herrero, A.; Camenen, B. Computations of trapping coefficient for fine sediment infiltration. In Proceedings of the 36th IAHR Word Congress, Deleft, The Netherlands, 28 June 2015. [Google Scholar]
- Alem, A.; Ahfir, N.D.; Elkawafi, A.; Wang, H.Q. Hydraulic Operating Conditions and Particle Concentration Effects on Physical Clogging of a Porous Medium. Transp. Porous Media 2014, 106, 303–321. [Google Scholar] [CrossRef]
- Rakhuba, A.V.; Shmakova, M.V. Mathematical modelling of water turbidity in the water body. In Proceedings of the IOP Conference Series: Earth and Environmental Science, Perm, Russia, 30 May 2019. [Google Scholar] [CrossRef]
- Horowits, A.J.; Clarke, R.T.; Merten, G.H. The effects of sample scheduling and sample numbers on estimates of the annual fluxes of suspended sediment in fluvial systems. Hydrol. Process. 2015, 29, 531–543. [Google Scholar] [CrossRef]
- Cox, N.J.; Warburton, J.; Armstrong, A.; Hollliday, V.J. Fitting concentration and load rating curves with generalized linear models. Earth Surf. Process. Land. 2008, 33, 25–39. [Google Scholar] [CrossRef]
- Fang, N.F.; Shi, Z.H.; Chen, F.X.; Zhang, H.Y.; Wang, Y.X. Discharge and suspended sediment patterns in a small mountainous watershed with widely distributed rock fragments. J. Hydrol. 2015, 528, 238–248. [Google Scholar] [CrossRef]
- Itoh, T.; Horiuchi, S.; Mizuyama, T.; Kaitsuka, K. Hydraulic model tests for evaluating sediment control function with a grid-type Sabo dam in mountainous torrents. Int. J. Sediment Res. 2013, 28, 511–522. [Google Scholar] [CrossRef]
- Onderka, M.; Krein, A.; Wrede, S.; Martinez-Carreras, N.; Hoffmann, L. Dynamics of storm-driven suspended sediments in a headwater catchment described by multivariable modeling. J. Soils Sediments 2012, 12, 620–635. [Google Scholar] [CrossRef]
- Bracken, L.J.; Turnbull, L.; Wainwright, J.; Bogaart, P. Sediment connectivity: A framework for understanding sediment transfer at multiple scales. Earth Surf. Process. Land. 2015, 40, 177–188. [Google Scholar] [CrossRef]
- Vercruysse, K.; Grabowski, R.C.; Rickson, R.J. Suspended sediment transport dynamics in rivers: Multi-scale drivers of temporal variation. Earth-Sci. Rev. 2017, 166, 38–52. [Google Scholar] [CrossRef]
- Yang, Z.Z.; Duan, X.W.; Huang, J.C.; Dong, Y.F.; Zhang, X.B.; Liu, J.; Yang, C. Tracking long-term cascade check dam siltation: Implications for debris flow control and landslide stability. Landslides 2021, 18, 3923–3935. [Google Scholar] [CrossRef]










| Run | D 1 (mm) | Q 1 (L/H) | C 1 (g/L) | Run | D 1 (mm) | Q 1 (L/H) | C 1 (g/L) |
|---|---|---|---|---|---|---|---|
| 1 | 1–2 (Small particle size) | 300 | 1.0 | 10 | 3–5 (Large particle size) | 300 | 1.0 |
| 2 | 300 | 1.5 | 11 | 300 | 1.5 | ||
| 3 | 300 | 2.0 | 12 | 300 | 2.0 | ||
| 4 | 500 | 1.0 | 13 | 500 | 1.0 | ||
| 5 | 500 | 1.5 | 14 | 500 | 1.5 | ||
| 6 | 500 | 2.0 | 15 | 500 | 2.0 | ||
| 7 | 700 | 1.0 | 16 | 700 | 1.0 | ||
| 8 | 700 | 1.5 | 17 | 700 | 1.5 | ||
| 9 | 700 | 2.0 | 18 | 700 | 2.0 |
Disclaimer/Publisher’s Note: The statements, opinions and data contained in all publications are solely those of the individual author(s) and contributor(s) and not of MDPI and/or the editor(s). MDPI and/or the editor(s) disclaim responsibility for any injury to people or property resulting from any ideas, methods, instructions or products referred to in the content. |
© 2023 by the authors. Licensee MDPI, Basel, Switzerland. This article is an open access article distributed under the terms and conditions of the Creative Commons Attribution (CC BY) license (https://creativecommons.org/licenses/by/4.0/).
Share and Cite
Liu, J.; Zhou, H.; Pan, L.; Cai, J.; Li, N.; Wang, M. Experimental Study on the Influence of Different Dam Body on the Sediment Interception and Discharge Capacity of the Cascade Permeable Dams. Appl. Sci. 2023, 13, 11607. https://doi.org/10.3390/app132011607
Liu J, Zhou H, Pan L, Cai J, Li N, Wang M. Experimental Study on the Influence of Different Dam Body on the Sediment Interception and Discharge Capacity of the Cascade Permeable Dams. Applied Sciences. 2023; 13(20):11607. https://doi.org/10.3390/app132011607
Chicago/Turabian StyleLiu, Jian, Hongwei Zhou, Longyang Pan, Junyi Cai, Niannian Li, and Mingyang Wang. 2023. "Experimental Study on the Influence of Different Dam Body on the Sediment Interception and Discharge Capacity of the Cascade Permeable Dams" Applied Sciences 13, no. 20: 11607. https://doi.org/10.3390/app132011607
APA StyleLiu, J., Zhou, H., Pan, L., Cai, J., Li, N., & Wang, M. (2023). Experimental Study on the Influence of Different Dam Body on the Sediment Interception and Discharge Capacity of the Cascade Permeable Dams. Applied Sciences, 13(20), 11607. https://doi.org/10.3390/app132011607
