Next Article in Journal
Analysis of Peak Ground Acceleration Attenuation Characteristics in the Pazarcik Earthquake, Türkiye
Next Article in Special Issue
An Intelligent Chinese Driver Road Performance Assessment Model (RPAM) for Future Licensing Examinations
Previous Article in Journal
Digital Twin-Driven Framework for TBM Performance Prediction, Visualization, and Monitoring through Machine Learning
 
 
Font Type:
Arial Georgia Verdana
Font Size:
Aa Aa Aa
Line Spacing:
Column Width:
Background:
Article

Conceptual Design and Energy Efficiency Evaluation for a Novel Torque Vectoring Differential Applied to Front-Wheel-Drive Electric Vehicles

Department of Vehicle Engineering, National Formosa University, Yunlin 63201, Taiwan
*
Author to whom correspondence should be addressed.
Appl. Sci. 2023, 13(20), 11434; https://doi.org/10.3390/app132011434
Submission received: 25 September 2023 / Revised: 11 October 2023 / Accepted: 16 October 2023 / Published: 18 October 2023
(This article belongs to the Special Issue Vehicle Technology and Its Applications)

Abstract

:
This paper presents a novel differential with lateral torque vectoring activated by an auxiliary motor, called motor-modulated lateral torque vectoring differential, or briefly, MLTD. Its architecture and kinematic characteristics are described, and the optimal cornering performance due to torque vectoring is evaluated using a steady-state vehicle dynamic model. Then, a conceptual design case of MLTD installed in a front-wheel-drive electric vehicle is conducted to assess its feasibility in terms of cornering, driving performances, and energy efficiency performance. The calculations show that an optimal distribution ratio between left and right torques for maximum lateral acceleration can be obtained for a specific cornering condition, further used for DM sizing in the preliminary stage. The simulations for energy consumption at constant-speed turning reveal that energy efficiencies of MLTD are lower than those of conventional differentials with evenly distributed torques. However, this deficiency may be paid off by moderately cutting down the rolling resistance of tire while the superior cornering performances brought by torque vectoring is still preserved. Accordingly, the newly proposed MLTD possesses greater flexibility to improve energy efficiency and driving range of electric vehicles without trading off against its desirable cornering performance and safe handling, and is thus worthy of further development.

1. Introduction

Concerning the urgent issues of climate change and environmental protection, promoting electric vehicles (EVs) has become a primary policy for many developed countries around the world [1,2]. One major challenge for developing EVs lies in enhancing energy efficiency and driving range under the limited power capability and energy storage of electrochemical batteries [3]. A feasible way is to install a differential which can perform functionality of lateral torque vectoring, called torque vectoring differential (TVD) [4].
Many studies focus on the kinematics analysis for TVD. Sawase et al. [5] proposed a calculation method to evaluate the effect of the left and right TVD mounted in either the front or rear axle of front-wheel-, rear-wheel-, or four-wheel-drive systems. Thereby, the optimal longitudinal forces of wheels applied through the TVD of each drivetrain are attained by analyzing the dynamic limits of the vehicle so that the cornering ability in terms of the maximum lateral acceleration can be found. Kato et al. [6] carried out a kinematics analysis on an electric-powered lateral torque vectoring differential (E-TVD) with two degrees of freedom and five elements, consisting of a single electric motor, the first planetary gear, and the second planetary gear. The differential can be classified and characterized by analyzing the relationship between torque and speed of each component using speed diagram. As a result, analyzing the amplification factor G and the rotational speed NC makes it possible to sort out a favorable type of E-TVD with simultaneous reduction in both the size of the motor machine and the acceleration resistance of the vehicle.
Recently, developing an effective dynamic control method for TVD has become more popular due to the higher demand of safe handling and cornering performance. Hirano [7] developed a model-based integrated control system for a TVD, based on the transmission system structure referring to the MUTE project of the Technical University of Munich (TUM). A simulation software package called Modelica is utilized for constructing the TVD model so as to develop an effective control strategy for predicting the instant vehicle yaw rate and vehicle sideslip angle. The simulation results show that the predicted dynamics behaviors are well matched with the expected outcomes. The documentary work of Tahouni et al. [8] presents a predictive design an integrated control system of active torque vector (ATV) and electronic stability control (ESC) based on continuous nonlinear vehicle models. The Karush–Kuhn–Tucker (KKT) optimization theorem is adopted to track the desired yaw rate response for better steering performance, and limit the sideslip angle within the allowable range for enhanced directional stability. The comparative results show that the proposed method possesses the advantages of fast controller speed, simplicity of calculation, enhancing the handling and stability performance, as well as energy efficiencies, without losing too much power.
Some studies about TVD aim at not only optimizing dynamic control but also improving energy saving. Wei et al. [9] implemented a so-called Markov decision process (MDP) based on deep reinforcement learning to formulate a torque distribution strategy for a four-wheel-drive electric vehicle. The goal of improving both active safety and energy saving has been fulfilled through the optimal control of torque distribution. This method uses the actor–critic network to train the agent to obtain better control performance. The CarSim–Simulink simulation results show that this torque distribution strategy significantly improves the average motor efficiency and reduces energy loss by 5.25–10.51%.
Deng et al. [10] specially incorporated a mathematical model of mechanical elastic electric wheels based on experimental data into a 7-DOF vehicle model. It optimizes the objective function based on the NMPC controller of the 4IWMD EV stability control. By estimating the adhesion conditions of road surface, the proposed torque vectoring algorithm improves the energy efficiency of the powertrain while ensuring the stability of vehicle handling. Compared with the LQR RU torque vector algorithm, the motor efficiency can be increased by about 9.6%, and the motor energy consumption can be reduced by up to 35.1%. Hua et al. [11] proposed a torque distribution nonlinear controller based on model predictive control theory to adjust the front wheel steering angle and additional yaw moment for the purpose of reducing energy consumption and ensuring safety. Simulation carried out through AMESim shows that the proposed torque distribution strategy under two-lane change and straight-line acceleration operation improves energy saving by 4.50% and 0.80%, respectively, while the power loss does not exceed 0.08%. Although the above method can reduce the power loss, the undesirably complicated control algorithms and calculations are required in the case of operating multiple motors independently mounted on individual wheel.
Recently, various types of TVD were made public in the form of patents by some automobile manufactures and companies [12,13,14]. In addition, several new TVDs with various types of activating torque vectoring were presented as well as analyzed as found in the following research works. Reference [15] reveals two new types of conventional bevel-gear TVD. One is coupled with a gearset activated by superposition clutches and the other is assembled with a gearset actuated by stationary clutches. Reference [16] reveals a new design of TVD, Rav-TVD, which consists of a Ravigneaux gearset with the small sun gear and the carrier, respectively, connected to brakes. Thereby, different torque vector effects can be controlled through the engagement of the brakes. Reference [17] comes out with a novel TVD, consisting of a planetary gear train of the Ravigneaux type as the function of differential and final drive, and a superimposing unit to fulfill the torque vectoring function using a small electric machine. Reference [18] proposes an innovative rear TVD, called torque vectoring electric rear axle drive (TVeRAD). The carrier of each planetary gear is linked to the halfshaft of each wheel. The main traction motor is interconnected between two planetary gearsets and drives the sun gears of the gearsets, while a compact torque vectoring motor is geared directly to a balance shaft, placed between the two ring gears. A developed control system proves to be capable of maximizing vehicle longitudinal performance as well as enhancing the handling characteristic of the vehicle using TVeRAD.
The proposed differential in this study, termed as motor-modulated torque vectoring differential, or briefly, MLTD, is a kind of TVD whose lateral torque vectoring function is actuated by an auxiliary motor, named the distributing motor (DM). Compared with the conventional torque vectoring differentials activated by frictional means, such as mechanical clutches or electromagnetic clutches, the MLTD possesses the advantages of faster response, easier control, safer maneuverability, etc. Moreover, the energy saving gained from utilizing the DM, rather than the conventional clutches causing undesired energy consumption, can bring forth a longer driving range. The architecture and kinematic characteristics of MLTD are explained in the beginning. Then, a steady-state vehicle dynamic model is constructed to evaluate the corning performance using lateral torque vectoring technology. It follows that a conceptual-design case of the MLTD applied to a front-wheel-drive electric vehicle is conducted to assess its feasibility based on driving and corning performance. Furthermore, one way to enhance energy efficiency of EV by reducing rolling resistance of tires, e.g., cutting down vehicle mass or redesigning a tire with lower coefficient of rolling resistance, may come along with an undesirable problem that cornering performance and safe handling would be worsened. This conflicting issue is to be analyzed and tackled by implementing MLTD.

2. Architecture and Kinematic Characteristics of MLTD

The schematic configuration of MLTD is shown in Figure 1. It consists of a planetary gearset on the left side (PL), another one on the right side (PR), a traction motor (M), and a distributing motor (DM). The output shaft of traction motor (M) is mounted with pinions at left and right ends that are gear-meshed to the exterior rims of the ring gears (r) of Pl and PR, respectively, forming reduction gears on the output shaft of M abbreviated as GM. The planetary carriers (c) of Pl and PR are connected to the driving wheels on the left side (WL) and right side (WR), respectively. The sun gears of PL and PR are interconnected through a balance shaft which is coaxially coupled with the rotor of DM, which serves to distribute the left and right driving torques by the torque vectoring control. It should be noted that PL and PR are not the same type of planetary gearset. PL is a double-pinion planetary gearset, while PR is single-pinion one. The kinematic characteristics of MLTD are analyzed, and the corresponding functionality of lateral torque vectoring is explained as follows.
The torque relationship of the driving shaft including M shown in Figure 2a is
T m = T m l + T m r
where T m is the torque generated by M itself, while T m l and T m r are the torque outputs from M to PL and PR, respectively.
The torque relationship of the balance shaft with DM shown in Figure 2b is
T d m = T s l + T s r
where T d m is the torque generated by M itself, while T m l and T m r are the torque inputs from DM to the sun gear of PL and PR, respectively.
The torque relationship of PL shown in Figure 3a is
T s l 1 = T w l k l + 1 = r m T m l k l
where T s l is the torque input from DM to the sun gear of PL, and T w l is the torque input from WL to the planetary carrier of PL;   r m is the reduction ratio of GM; k l is the basic ratio of PL, and since PL is a type of double-pinion planetary gearset, it is defined as k l = Z r l / Z s l , where Z r l and Z s l are the number of teeth for the ring gear and planetary carrier of PL, respectively.
The torque relationship of the system shown in Figure 3b is
T s r 1 = T w r k r + 1 = r m T m r k r
where T s r is the torque input from DM to the sun gear of PR, and T w r is the torque input from WR to the planetary carrier of PR; k r is the basic ratio of PR, and, since PR is a type of single-pinion planetary gearset, it is defined as k r = Z r r / Z s r , where Z r r and Z s r are the number of teeth for the ring gear and planetary carrier of PR, respectively.
M transmits driving power to PL and PR through a reduction gear (GM) meshed with the ring gears of PL or PR, and thereby
ω m = ω r l / r m = ω r r / r m
where ω m are the rotational speed of M, while ω r l and ω r r are the rotation speed of the ring gears of PL and PR, respectively.
The rotational speed relation on PL is written as
ω s l + k l ω r l k l + 1 ω w l = 0
where ω s l   ω r l are the rotational speed of the sun gear and ring gear of PL, respectively, while ω w l is the rotational speed of WL.
The rotational speed relation on PR is written as
ω s r + k r ω r r k r + 1 ω w r = 0
where ω s r and ω r r are the rotational speed of the sun gear and ring gear of PR, respectively, while r is the rotational speed of WR.
Since DM is directly coupled with the sun gears of PL and PR, the rotational speed of DM is expressed as
ω d m = ω s l = ω s r
when MLTD is operated at normal drive in a straight ahead direction with torque vectoring function off, also termed as neutral, all the related torque value is denoted with a superscript ‘ ’. In this situation, it is required that T w l = T w r and T d m = 0 . Substituting T d m = 0 into Equation (2), it becomes
T s l = T s r
Furthermore, substituting T w l = T w r   into Equations (3) and (4), it is found that
k l + 1 T s l = ( k r + 1 ) T s r
From Equations (9) and (10), the following kinematic relation can be attained:
k l + k r = 2
Now replacing k l by ( k r + 2 ) , it follows that
T w l = T w r = 1 2 r m T m
Then, to check whether MTLD possesses the functionality of differential or not, the deduction of the rotational relationships from Equations (5) to (8) yields
ω m = 1 2 r m ( ω w l + ω w r )
ω d m = k r 2 ω w l + ( k r 2 + 1 ) ω w r
Equation (13) can be illustrated as a nomograph of rotational speeds shown in Figure 4, verifying that differences in the rotational speeds between WL and WR are allowed for a given rotational speed of M; that is, the functionality of differential can be fulfilled for MLTD. Furthermore, according to Equation (14), the balance shaft as well as DM cannot remain stationary when either driving straight or turning.
If driving straight, all the related value of rotational speed is denoted with a superscript ‘ ’ as well. Substituting ω w l = ω w r into Equations (13) and (14), it follows that ω w l = ω w r = ω s l = ω s r = ω m / r m = ω d m . Therefore, it can be seen that both Pl and PR rotate like a rigid body in straight driving condition.
If the torque vectoring function is activated, i.e., T d m 0 , it follows that
T w l = r m 2 T m k r 2 T d m = T w l k r 2 T d m
T w r = r m 2 T m + ( k r 2 + 1 ) T d m = T w r + ( k r 2 + 1 ) T d m
Adding up Equations (15) and (16) gives
T w l + T w r = r m T m + T d m = T w l + T w r + T d m
Accordingly, applying the torque of DM will change the total driving torque. Hence, in order to maintain constant driving torque at torque vectoring mode, the tractive torque of M with torque vectoring, termed as T m , must be adjusted according to how much T d m is applied, as indicated below:
T m = T m T d m r m
For the purpose of quantifying the degree of lateral torque vectoring, a parameter called lateral torque vectoring ratio, ζ l r , is defined as below:
ζ l r = T w r T w l T w r + T w l
According to this definition, ζ l r = 1 and −1 indicate that the total driving torque is entirely transmitted to the right wheel and left wheel, respectively, while, ζ l r = 0 means that the total driving torque is evenly distributed to the right wheel and left wheel, i.e., in neutral mode.
Substituting Equations (12), (15), and (16) into Equation (19), ζ l r can be expressed as a function of T d m and T m , i.e.,
ζ l r = ( k r + 1 r m ) T d m T m
Figure 5 visualizes the relations of ζ l r vs. T d m given by Equation (20). Accordingly, DM operating in motor mode, i.e., T d m > 0 , results in the driving torque of WR increasing and that of WL decreasing, i.e., ζ l r > 0 . This provides a yawing moment suitable for turning left. On the contrary, DM exerting generative load in generator mode, i.e., T d m < 0 , leads to the condition that the driving torque of WL increases and that of WR decreases, i.e., ζ l r < 0 . This gives a yawing moment beneficial to turning right.

3. Steady-State Models of Vehicle Dynamics for Lateral Torque Vectoring

To analyze the vehicle dynamics with lateral torque vectoring, some definitions of the vehicle geometry for front-wheel drive (FWD) are illustrated in Figure 6, where R w is tire radius, B is track or tread, L is wheel base, δ is steering angle, and the location marked by G is the center of gravity. Accordingly, the total yaw moment M g for FWD is written as
M g = B 2 cos δ · ( F x r F x l )
where F x l and F x r are the left and right driving forces and are equal to T w l / R w and T w r / R w , respectively.
The left–right torque vectoring generates two main effects during driving. First, the total maximum cornering force varies as difference between the left and right driving forces changes. Second, a yaw moment generated by left–right torque vectoring results in a variation in front and rear cornering forces. As a consequence, it is expected that a maximum lateral acceleration with an optimal distribution between front and rear driving forces can be attained. For the purpose of approximating lateral acceleration, the two-axle model, or called bicycle model, as shown in Figure 7, is utilized. Accordingly, the equations of motion are written as
F y f l f F y r l r + M g = 0
F y f + F y r = m a y
where F y f and F y r are the cornering forces of front and rear axles, respectively, m is the mass of vehicle, a y is lateral acceleration, l f is the distance between the front axle and G, and l r is the distance between the rear axle and G, i.e., l f + l r = L .
Most forces acting upon the vehicle during driving are not through the center of gravity G. Therefore, the resulting net pitch moment about G will redistribute the normal loads between front and rear tires and thus generate a so-called front–rear weight transfer. The driving force of a vehicle is to overcome the tractive resistance,   F t r a c , expressed below:
F t r a c = F a i r + F r o l l + F g r d + m a x
where F a i r is the air resistance in terms of 1 2 ρ A C a v 2 with ρ , A , C a , and v being air density in kg/m3, frontal area of vehicle in m2, drag coefficient, and vehicle speed in m/s, respectively; F r o l l is the rolling resistance in terms of C r m g cos θ with C r and θ being coefficient of rolling resistance and slope angle of climbing in degree, respectively; F g r d is the grade resistance in terms of m g sin θ with C r and θ being the coefficient of rolling resistance and slope angle of climbing in degree; and a x is the longitudinal acceleration. In addition, the gradeability of vehicle is defined as G r a d e = tan θ · 100 % .
Considering the typical tractive resistance during driving on a horizontal road, i.e., θ = 0 ° , the front–rear weight transfer, Δ F z f r , can be approximated as
Δ F z f r = F t r a c F r o l l 1 R w h g h g L
where h g is the height of G.
In order to investigate the effect of roll moment on the weight transfer between left and right tires, a four-wheel model rather than two-axle model is required as shown in Figure 8, where the subscripts, x , y , z, f l , f r , r l , r r , and _ l i m , denote longitudinal, lateral, vertical, front-left, front-rear, rear-left, rear-rear, and adhesive limit of the tire, respectively. It is noted that the adhesive limit of each tire F l i m is expressed as
F l i m = μ p F z
where μ p is the adhesive coefficient of tire, and F z is the normal load of each tire.
Here, the roll effect of springs in the suspension system on the left–right weight transfer is considered. The geometry of roll axis of the suspension system is illustrated in Figure 9, where h s is the distance in vertical direction between G and the roll axis, h r is the height of rear roll center, and h f is the height of the front roll axis. Furthermore, the free-body diagrams of the sprung mass, front axle, and rear axle are shown in Figure 10 and Figure 11a,b, respectively, where g , F ,   M , S , and ϕ indicate gravitational acceleration, force, moment, distance between left and right springs, and roll angle with the subscript s , f , and r denoting the springs, front axle, and rear axle, respectively, and, moreover, f l , f r , r l , and r r representing front-left, front-rear, rear-left, and rear-rear, respectively. Specifically, F r c f and F r c r are the forces acting on the front and rear roll centers.
Now, summing the moments about the center of gravity G with respect to the free-body diagram of the sprung mass in Figure 8 gives an equation of motion written as
m a y h s c o s ϕ = m g h s s i n ϕ + F s f l F s f r S f 2 c o s ϕ + F s r l F s r r S r 2 c o s ϕ M s f + M s r
By assuming that s i n ϕ ϕ and c o s ϕ 1 , and using a model for describing the characteristics of the suspension springs, Equation (27) can be arranged to an equation indicating the relation of roll angle ϕ and lateral acceleration a y   shown below:
ϕ = m h s K ϕ f + K ϕ r m g h s a y
where K ϕ f and K ϕ r are the roll stiffness of front and rear axles defined as
K ϕ f = K s t a b f + 1 2 K s f S f 2
K ϕ r = K s t a b r + 1 2 K s r S r 2
where K s t a b f and K s t a b r are the roll stiffness of front and rear stabilizers, respectively; and K s f and K s r the spring stiffness of front and rear springs, respectively.
Now, by summing the moments about roll center of front axle with respect to the free-body diagram of front axle in Figure 9, the equation of motion is written as
M = M s f + S f 2 F s f r S f 2 F s f l + B f 2 F z f l B f 2 F z f r + h f F y f l + h f F y f r = 0
Connecting with Equations (22) and (23) and defining the weight transfer of the front axle Δ F z f and that of the rear axle Δ F z r ,we obtain
Δ F z f = 1 2 F z f r F z f l
Δ F z r = 1 2 F z r r F z r l
Furthermore, by summing the pitch moment about the center of gravity G and rearranging, the relations between left–right weight transfer and lateral acceleration due to roll moment are established and expressed as
Δ F z f = 1 B f h s 1 + K ϕ r K ϕ f m g h s K ϕ f + h f l r L Δ F z f r m g m a y h f B f M g L
Δ F z r = 1 B r h s 1 + K ϕ f K ϕ r m g h s K ϕ r + h r l f L + Δ F z f r m g m a y + h r B r M g L
As the maximum lateral acceleration is obtained with respect to various driving conditions and lateral torque vectoring ratio, it is imperative to estimate the rotational speed of each wheel in order that the operating states for M and DM can be properly predicted. Thereby, sizing for M and DM can be proceeded at the preliminary stage of this conceptual design.
First, the two-axle model shown in Figure 12 is employed to calculate the slip angle of front and rear wheels [19]. α f and α r are as expressed below:
α f = W f C α f v 2 g R
α r = W r C α r v 2 g R
where C α f and C α r are the rolling stiffness of front and rear wheels, respectively, in N/rad. Furthermore, W f and W r are the weight of the front and rear axle and equal to ( l r / L ) m g and ( l f / L ) m g , respectively.
It follows that the steering angle of front wheel, δ f , can be obtained by
δ f = L R + α f α r
Next, by applying the law of cosine to the geometric layout illustrated in Figure 12, the turning radii of front wheel and rear wheel, R f c and R r c , can be computed by solving the following equations, respectively:
R f c 2 + l f 2 2 R f c l f cos π 2 ( δ f α f ) = R 2
R r c 2 + l r 2 2 R r c l r cos π 2 α r = R 2
By assuming that the turning radius of G, R , is identical to that for the four-wheel model, a geometric correlation is established as indicated in Figure 13. Thereby, the turning radii of front-left, front-right, rear-left, and rear-right wheels, i.e., R f l , R f r , R r l , and R r r , respectively, can be solved by the following equations according to the law of cosine:
R f c 2 + ( B 2 ) 2 R f c B cos ( δ f α f ) = R f l 2
R f c 2 + B 2 2 + R f c B cos ( δ f α f ) = R f r 2
R r c 2 + ( B 2 ) 2 R r c B cos α r = R r l 2
R r c 2 + ( B 2 ) 2 + R r c B cos α r = R r r 2
Accordingly, the rotational speeds of four wheels at turning as well as the corresponding operating states of M and DM can be predicted.

4. Design Case

A conceptual design of the MLTD specially installed in a mid-size front-wheel-drive electric sedan is conducted with the settings of parameters of vehicle listed in Table 1. The parameter definition refers to the dimensions of a typical C-segment sedan [5]. The procedure includes three stages of evaluation, i.e., cornering performance, driving performance, and energy efficiency performance.

4.1. Evaluation of Cornering Performance

First, a global search for the optimal cornering performance with lateral torque vectoring under various driving conditions is carried out. For a given vehicle speed, v , longitudinal acceleration,   a x , and lateral torque vectoring ratio, ζ l r , an algorithm for calculating the maximum lateral acceleration, a y _ m a x , is expressed as follows:
(1)
The front–rear weight transfer, Δ F z f r , is calculated by Equation (25) with known values of F t r a c and F r o l l .
(2)
An initial value of a y , a y _ i , is guessed.
(3)
The left–right weight transfers of front and rear axle, Δ F z f and Δ F z r , are calculated from Equations (34) and (35).
(4)
Having acquired the values of weight transfer of four wheels, the adhesive limits of lateral force of front and rear axle, F y f _ l i m and F y r _ l i m , are calculated by
F y f _ l i m = ( F f l _ l i m 2 F x l 2 ) 1 2 + ( F f r _ l i m 2 F x r 2 ) 1 2
F y r _ l i m = F r l _ l i m + F r r _ l i m
where F x l = 1 ζ l r 2 F t r a c and F x r = 1 + ζ l r 2 F t r a c .
(5)
Then, F y f _ l i m and F y r _ l i m are substituted into Equation (23) in turn to attain the correlated values of F y r and F y f , respectively, that are subsequently checked whether the adhesive limits are exceeded or not.
(6)
The values of a y are evaluated accordingly using Equation (24), and the higher one is selected as the adhesive limit of a y , a y _ l i m .
(7)
Check whether a y _ l i m a y _ i is less than a preset tolerance or not. If not, guess a new value for a y _ i and redo the step (3) to (6); if yes, treat the resulting value of a y _ l i m as that of the maximum lateral acceleration, a y _ m a x .
Figure 14 shows the resulting variations in a y _ m a x with ζ l r for v = 60 km/h, a x = 0, and μ p   = 1.1 or 1.0, indicating the existence of the optimal value of ζ l r denoted by superscript ‘ * ’, i.e., ζ l r * , corresponding to the highest value of a y _ m a x , a y _ m a x * . The optimal point for μ p   = 1.1, as marked by point A in Figure 14, represents ζ l r * = 0.604 and a y _ m a x * = 10.79 m/s2, while that for μ p = 1.0 (point B) indicates ζ l r * = 0.556 and a y _ m a x * = 9.81 m/s2. Furthermore, it is observed in Figure 15a,b that both a y _ m a x * and ζ l r * increase simultaneously by about 47% and 34%, respectively, as μ p increases by 32% from 0.75 to 1.1. Accordingly, applying lateral torque vectoring can significantly improve the cornering performance in view of a y _ m a x , offering more benefit at better gripping conditions.
Since reducing vehicle mass,   m , has been a common and effective way to enhance energy efficiency as well as driving range for electric vehicles, it is of interest to assess how vehicle mass affect the cornering performance with or without lateral torque vectoring. For v = 60 km/h, a x = 0, and μ p = 1.1, the cornering performance under neutral torque distribution, i.e., ζ l r = 0, will worsen, as seen in Figure 16a. However, adopting lateral torque vectoring can offer approximately a 0.6–0.7% improvement for a y _ m a x as illustrated by the optimal line in Figure 16a. In addition, exerting more efforts, i.e., higher ζ l r * , may compensate for the loss of a y _ m a x due to reduced vehicle mass and return to the same level of cornering performance as shown in Figure 16b.
Consequently, this section shows that an optimal distribution ratio between left and right torques for maximum lateral acceleration exists at a given driving condition, strongly depending on the adhesive limit between tires and road. Furthermore, the vehicles with lateral torque vectoring can maintain the same level of superior cornering performance even with lighter vehicle weight.

4.2. Evaluation of Driving Performance

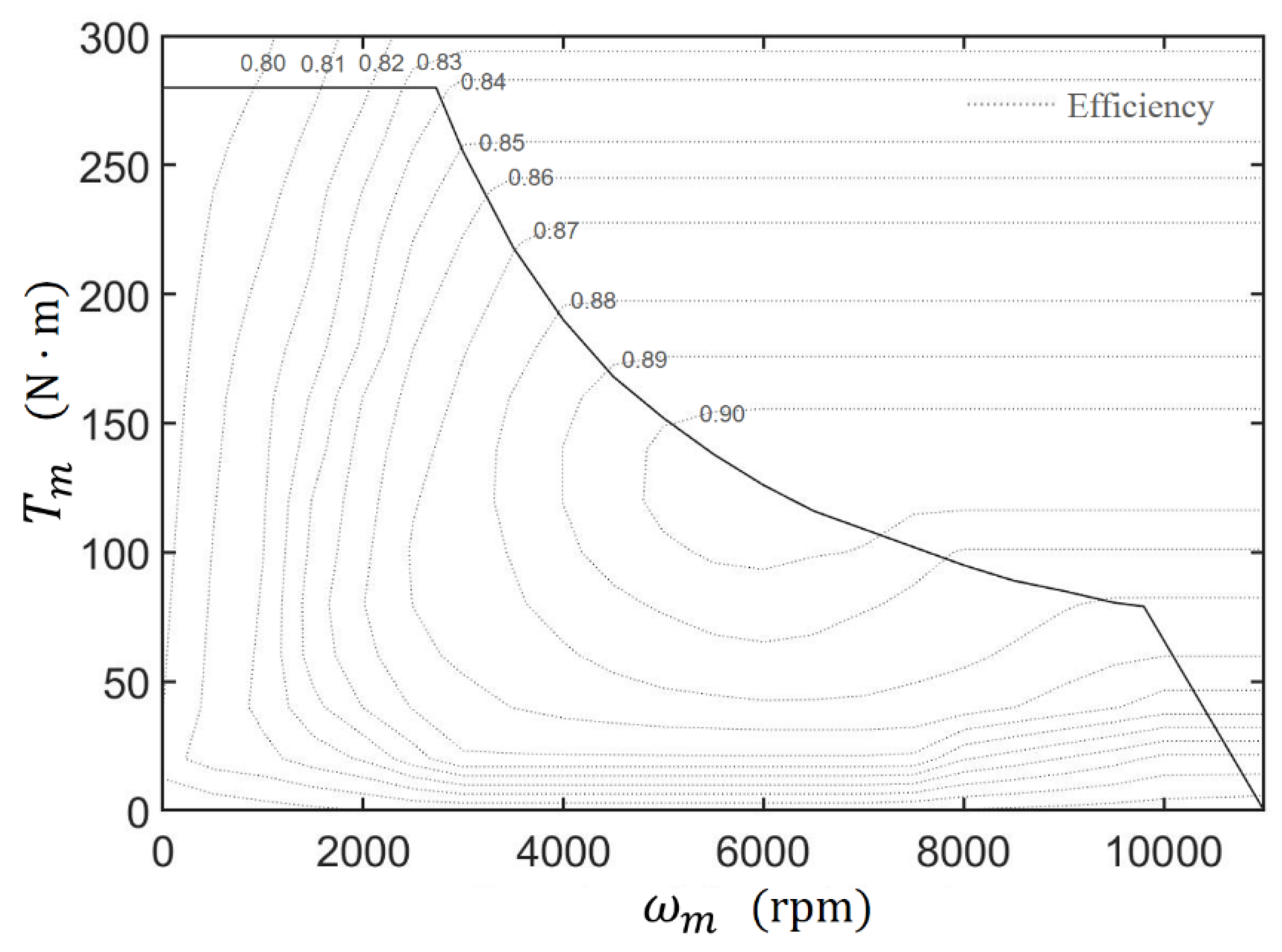
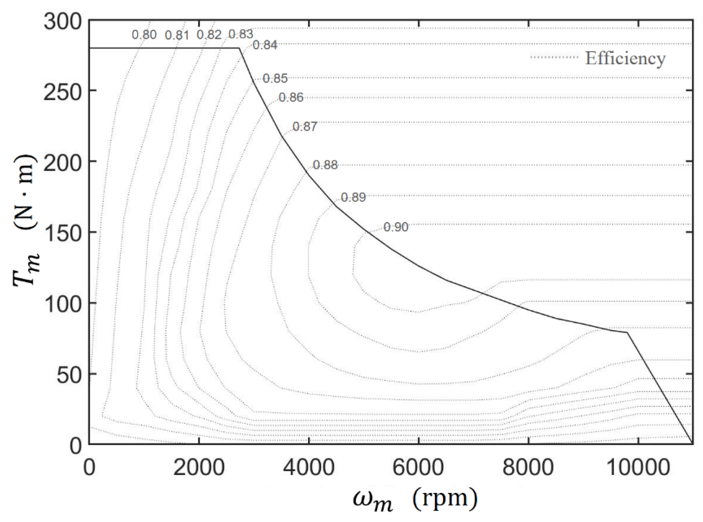
The second stage of the design procedure presents the evaluation of driving performance of the MLTD powertrain with the specifications of M and transmission adapted from those of the Nissan Leaf, a commercial electric car [20]. The performance map of M is illustrated in Figure 17 with the rated maximum torque and rated power of 280 N · m and 80 kW, respectively. The values of some major design parameters of the MLTD powertrain are deliberately selected with practical consideration, as listed in Table 2. It should be noted that the values of k r and k l are to be so selected that the kinematic relation of Equation (11) must be satisfied. Now, the driving performance of the designed vehicle shown in Figure 18 can be calculated based on Equations (5), (12), and (24) with an additional transmission efficiency, η t , taken into account. The designed vehicle is capable of maintaining the cruise speed of 45 km/h with climbing hill at G r a d e = 24%, and reaching the maximum speed of 160 km/h.
A conceptual 3D model of the designed MLTD based on the parameter setting in Table 2 Is created using computer graphics to help visualize the kinematic feature as shown in Figure 19. The image in Figure 19a with a view from right side reveals that a reduction ratio of GM ( r m = 7.94 ) is given by the gear mesh between the pinion of the output shaft of M and the outer rim of the ring gear (r) of PR, and the driving torque to WR is transmitted through the planetary carrier (c) of PR. Another view from right side in Figure 19b shows that the arrangement of the gear mesh between M and PL and transmission of driving torque between PL and WL are analogous to the descriptions for Figure 19a, except that PL is a type of double-pinion, not single-pinion like PR. Furthermore, DM acting as a torque vectoring device is mounted on a balance shaft interconnected with the sun gear (s) of PL and that of PR.
The above driving performance is evaluated in a straight-driving condition, and cannot be used for sizing DM since DM is operated most of the time when cornering. Hence, the optimal cornering performances assessed in Section 4.1 are utilized as the operating conditions to find the corresponding operating points of M and DM. In particular, the specifications of DM in terms of rated maximum torque, rated power, and maximum rotational speed are to be determined with the performance map scaled from a practical motor of the Toyota Prius HEV [21].
First, the values of a y _ m a x * and ζ l r * with respect to v in the range of 20 to 140 km/h are acquired based on the algorithm in Section 4.1. Since R = v 2 / a y , the turning radius for the optimal cornering performance, i.e., R * , is obtained, and subsequently substituted into Equations (36)–(38) to calculate the values of α f * , α r * , and δ * . Then, the values of R f c * and R r c * are computed via Equations (44) and (45). Finally, substituting the above results into Equations (41)–(44) yields the solutions of R f l * , R f r * , R r l * , and R r r * , as shown in Figure 20. It is found that the differences in turning radius between two left wheels, i.e., front-left and rear-left wheels, are large at low vehicle speed, as seen in Figure 20a, and become smaller when vehicle speed gets higher, as indicated in Figure 20b. Similar trends can be observed for the two right wheels.
Equations (13) and (14) show that either ω m or ω d m depends on both ω w l and ω w r which can be calculated by
ω w l = v R R f l R w
ω w r = v R R f r R w
Thereby, ω m and ω d m can be attained using R = R f l = R f r , while ω m * and ω d m * are obtained as R f l = R f l * and R f r = R f r * .
The algorithm for finding the operating conditions of M and DM corresponding to the optimal turns are described below:
(1)
Letting the required driving torque of wheel be equal to F t r a c R w , the values of T m at straight driving are computed based on Equation (12) with a transmission efficiency, η t , of 0.97 considered; i.e., T m = F t r a c R w / ( r m η t ) .
(2)
T d m is determined with the value of ζ l r in Equation (20) set to be ζ l r * , 0, or ζ l r * corresponding to left turn, straight, or right turn, respectively.
(3)
The required driving torque of M, T m is obtained from Equation (18).
(4)
ω m and ω d m are calculated from Equations (13) and (14), respectively, using the optimal values of R f l * and R f r * , as shown in Figure 20.
(5)
Then, the operating points of M and DM in terms of ω and T are acquired.
As a result, the operating points of M for left turn, straight driving, and right turn at cruise driving are shown in Figure 21 with v in the range of 20 to 120 km/h, while those of DM are illustrated in Figure 22. It should be noted that T d m = 0 when driving straight. Furthermore, the specifications of DM are scaled down to rated maximum torque of 244 N · m, rated power of 6 kW, and maximum rotational speed of 1500 rpm so that the operating points for v in the range of 60 to 100 km/h are well situated in a high-efficiency spot as indicated in the area circled by the red dotted line in Figure 22.
This section has presented the assessment of the driving performance for the designed vehicle. The power capacity of DM has been determined based on the optimal cornering performance, being merely 7.5% that of M. Moreover, the performance map of DM has been so scaled that the operating points in the mid-speed range where the torque vectoring is frequently activated are favorably located in an energy efficiency zone.

4.3. Evaluation of Energy Efficiency Performance

In the final stage, the energy efficiency of the MLTD system, η s y s , is evaluated when driving straight with neutral operation, or turning left and right with optimal torque vectoring. Next, a battery model is included to compute the energy consumption of the designed vehicle at cruise speed. In the end, the trade-off between cornering performance and energy efficiency by reducing vehicle mass with or without lateral torque vectoring is investigated.
The definition of η s y s is expressed as
η s y s = P w P m + P d m
where P w is the power output of two front wheels in W, and equal to T w l ω w l + T w r ω w r ; P m and P d m are the power input of M and DM, respectively, and expressed as T m ω m / η m and T d m ω d m / η d m . Here, η m and η d m which are both functions of torque and rotational speed, can be obtained by looking up the performance map of M and DM shown in Figure 17 and Figure 22. Consequently, Figure 23 shows the variations in η s y s with v at straight driving (i.e., in neutral mode) or at right and left turn (i.e., in optimal torque vectoring mode). The values of η s y s at straight driving vary from the lowest one of 0.781 at v = 20 km/h to the highest one of 0.837 at v = 115 km/h with a percentage difference of only 6.7%. As for right or left turn, even though their values show similar trend with those at straight driving, the corresponding lowest values at v = 20 km/h are much lower, i.e., η s y s = 0.560 at left turn and η s y s = 0.539 at right turn with a percentage difference of 33% and 32%, respectively. The values of η s y s at left turn increase as v increases and approach those at straight driving as v is beyond 60 km/h. Furthermore, it can be observed that the highest value of η s y s at right turn is still dropped by 5%, since DM is operated in generator mode, rather than motor mode, at right turn, resulting in an undesirable loss of power recirculation.
In order to assess the driving range as well as energy consumption of the designed vehicle, the simulation program is incorporated with a tested battery model obtained from ADVISOR 2002 software [21] with the battery type named ‘Shaft 6Ah Li-Ion’ for simulating the charging and discharging processes. Arranging 12 cells in series and 18 cells in parallel for a module and 8 modules in series for a pack makes up the capacity of 40.4 kWh and the total voltage of 374.4 V for simulation. The internal resistances, i.e., R b , of charge and discharge, and open-circuit voltage, i.e., V o c , as functions of state of charge, i.e., S O C , are expressed in Figure 24a and b, respectively, at temperature = 25   ° C . Accordingly, the instant current flowing out of the battery, i.e., I b , can be calculated by
I b = V o c V o c 2 4 ( R b + R m g ) P m g 2 R b
where R m g is the resistance in motor or generator in Ω ; P m g is the input power of motor or generator in W, positive for motor and negative for generator. Here, R m g is set to be a constant value of 0.002 Ω . The power output of the battery, P b , is expressed as
P b = P m g + ( R b + R m g ) I b 2
Moreover, the corresponding S O C is estimated by accumulating the electric charge from charging or discharging process through operation time as shown below:
S O C = 1 0 t I b d t Q t
where Q t is the total electric charge of the battery in C.
Performance simulations under cruise driving over a time period, t , at either straight driving or left/right turn are carried out to assess the energy efficiency of the vehicle, using a parameter of energy consumption, E c , in Wh/km defined by
E c = 1 3.6 0 t P b d t 0 t v d t
The simulated results over a time period started with S O C = 1.0 and ended at S O C = 0.2 are shown in Figure 25. The energy consumptions at straight driving monotonically increase with v mainly due to the effect of air resistance, while those at left or right turn possess the lowest values at v 30 km/h since the relatively low η s y s at low vehicle speed, as seen in Figure 23, results in high energy loss, eventually outweighing the energy loss from air resistance. Furthermore, it is noted that as v goes beyond about 60 km/h, the energy consumption at left turn is very close to that at straight driving, but the energy consumption at right turn still increases by 5–6% due to the undesirable loss of power recirculation.
This energy deficiency at right turn may be compensated by reducing the rolling resistance of tire without losing the cornering performance since lateral torque vectoring is implemented. Figure 26 shows the simulated results of E c at right turn versus the percentage decrease in rolling resistance, ϵ r , compared with those of a baseline case with only evenly distributed torque applied at v = 60 km/h. These two lines intersect at the point ϵ r = 11.1%, indicating that decreasing rolling resistance of tire by 11.1% will improve the energy consumption up to the level equivalent to that of the baseline case. One common way to reduce rolling resistance of tire is to reduce the vehicle mass. Thereby, ϵ r = 11.1% means that the original vehicle mass of 1600 kg is reduced to about 1400 kg. This is feasible, as shown in Figure 26, since moderately cutting down the vehicle mass is favorable for energy efficiency, while the superior cornering performances can be maintained via lateral torque vectoring. As a result, the designed vehicle with newly proposed MLTD possesses greater flexibility to improve energy efficiency without worrying about trading off against its desirable cornering performance and safe handling.

5. Conclusions

In this study, a novel differential called motor-modulated lateral torque vectoring differential, MLTD, is proposed. The corresponding architecture and kinematic characteristics are described, specifically including the principle for lateral torque vectoring control using an auxiliary motor, DM. A steady-state vehicle dynamic model is developed to evaluate the optimal corning performance due to torque vectoring, which can be used to determine a suitable power capacity for DM. Then, a design case of a front-wheel-drive electric vehicle with MLTD is conducted, consisting of three stages of evaluation, i.e., cornering performance, driving performance, and energy efficiency performance. Based on the above analysis, the following conclusions can be drawn:
(1)
MLTD, consisting of one single-pinion planetary gearset, one double-pinion planetary gearset, one traction motor, one distributing motor, and one reduction gearset, is a novel differential capable of performing lateral torque vectoring by electronic torque control of the distributing motor.
(2)
The proposed algorithm of the vehicle dynamic model show that an optimal lateral torque vectoring ratio can be obtained at a given driving speed and longitudinal acceleration, and is nearly linear proportional to the adhesion coefficient of tire.
(3)
Reducing the vehicle mass for improving energy efficiency of electric vehicle will undesirably degrade the cornering performance and can be compensated by applying lateral torque vectoring.
(4)
The sizing for distributing motor is realized by combining the analysis of optimal cornering performance with that of the driving performance. In this design case, the power capacity of the distributing motor is only 7.5% that of the traction motor, offering a desirably high cost/performance ratio.
(5)
The energy efficiencies of MLTD at left turn are very close to those at straight driving in the mid/high speed range, while those at right turn are still about 95% lower mainly due to unavoidable loss of power recirculation.
(6)
The energy deficiencies at right turn may be paid off by moderately cutting down the rolling resistance of tire by 11.1%, e.g., reducing vehicle mass of 1600 kg by about 200 kg, with the superior cornering performances still held using lateral torque vectoring.
(7)
Conclusively, the newly proposed MLTD possesses greater potential to enhance energy efficiency and driving range of electric vehicles without trading off against its desirable cornering performance and safe handling, and is thus worthy of further development.
Future research will focus on simulating and analyzing the effects of vehicle speed, steering behavior, and control strategies of torque vectoring on the energy efficiency and corning performance based on driving cycles with cornering pattern. Then, prototype of MLTD will be constructed to verify its functionality of motor-modulated torque vectoring, and hardware-in-the-loop simulations will be carried out to find out the optimal torque control strategy. Finally, implementing MLTD on real cars is highly expected.

Author Contributions

Conceptualization, C.-T.C. and H.-Y.T.; methodology, C.-T.C.; software, C.-T.C. and H.-Y.T.; validation, C.-T.C. and H.-Y.T.; formal analysis, C.-T.C.; investigation, C.-T.C. and H.-Y.T.; resources, H.-Y.T.; data curation, C.-T.C.; writing—original draft preparation, C.-T.C.; writing—review and editing, H.-Y.T.; visualization, C.-T.C. and H.-Y.T.; supervision, C.-T.C.; project administration, H.-Y.T.; funding acquisition, H.-Y.T. All authors have read and agreed to the published version of the manuscript.

Funding

This research was funded by the National Science and Technology Council, Taiwan, R.O.C.; grant number NSTC 112-2221-E-150-036-.

Institutional Review Board Statement

Not applicable.

Informed Consent Statement

Not applicable.

Data Availability Statement

Not applicable.

Acknowledgments

The authors would like to acknowledge the financial support of the National Science and Technology Council, Taiwan, R.O.C., under the grant numbers NSTC 112-2221-E-150-036- for this research.

Conflicts of Interest

The authors declare no conflict of interest.

References

  1. Li, Z.; Khajepour, A.; Song, J. A comprehensive review of the key technologies for pure electric vehicles. Energy 2019, 182, 824–839. [Google Scholar] [CrossRef]
  2. Elshkaki, A. Long-term analysis of critical materials in future vehicles electrification in China and their national and global implications. Energy 2020, 202, 117697. [Google Scholar] [CrossRef]
  3. Lei, F.; Bai, Y.; Zhu, W.; Liu, J. A novel approach for electric powertrain optimization considering vehicle power performance, energy consumption and ride comfort. Energy 2019, 167, 1040–1050. [Google Scholar] [CrossRef]
  4. Yue, S.; Fan, Y. Hierarchical direct yaw-moment control system design for in-wheel motor driven electric vehicle. Int. J. Autom. Technol. 2018, 19, 695–703. [Google Scholar] [CrossRef]
  5. Sawase, K.; Ushiroda, Y.; Inoue, K. Effect of the Right-and-Left Torque Vectoring System in Various Types of Drivetrain; SAE Technical Paper 2007-01-3645; SAE International: Warrendale, PA, USA, 2007. [Google Scholar]
  6. Kato, T.; Sawase, K. Classification and analysis of electric powered lateral torque-vectoring differentials. Automob. Eng. 2012, 226, 713–724. [Google Scholar] [CrossRef]
  7. Hirano, Y. Model based development of an integrated control of front steering and torque vectoring differential gear system. In Proceedings of the SICE Annual Conference, Tsukuba, Japan, 20–23 September 2016. [Google Scholar]
  8. Tahouni, A.; Mirzaei, M.; Najjari, B. Novel constrained nonlinear control of vehicle dynamics using integrated active torque vectoring and electronic stability control. IEEE Trans. Veh. Technol. 2019, 68, 9564–9572. [Google Scholar] [CrossRef]
  9. Wei, H.; Zhang, N.; Liang, J.; Ai, Q.; Zhao, W.; Huang, T.; Zhang, Y. Deep reinforcement learning based direct torque control strategy for distributed drive electric vehicles considering active safety and energy saving performance. Energy 2022, 238, 121725. [Google Scholar] [CrossRef]
  10. Deng, H.; Zhao, Y.; Feng, S.; Wang, Q.; Zhang, C.; Lin, F. Torque vectoring algorithm based on mechanical elastic electric wheels with consideration of the stability and economy. Energy 2021, 219, 119643. [Google Scholar] [CrossRef]
  11. Hua, X.; Wanga, P.; Hu, Y.; Chen, H. A stability-guaranteed and energy-conserving torque distribution strategy for electric vehicles under extreme conditions. Appl. Energy 2020, 259, 114162. [Google Scholar] [CrossRef]
  12. Richardson, J.A. Speed Reduction Gearset and Torque Split Differential Mechanism. U.S. Patent No. 5,643,129, 1 January 1997. [Google Scholar]
  13. Gradu, M. Differential with Torque Vectoring Capabilities. U.S. Patent No. 7,238,140, 3 July 2007. [Google Scholar]
  14. Platt, W. Continuously Variable Torque Vectoring Axle Assembly. U.S. Patent No. 7,951,035, 31 May 2011. [Google Scholar]
  15. Deur, J.; Ivanovi’c, V.; Hancock, M.; Assadian, F. Modeling and analysis of active differential dynamics. J. Dyn. Syst. Meas. Control 2010, 132, 061501. [Google Scholar] [CrossRef]
  16. Chen, Y.-F.; Chen, I.-M.; Chang, J.; Liu, T. Design and analysis of a new torque vectoring system with a Ravigneaux gearset for vehicle applications. Energies 2017, 10, 2157. [Google Scholar] [CrossRef]
  17. Hoehn, B.-R.; Stahl, K.; Gwinner, P.; Wiesbeck, F. Torque-vectoring driveline for electric vehicles. In Proceedings of the FISITA 2012 World Automotive Congress; Lecture Notes in Electrical Engineering; Springer: Berlin/Heidelberg, Germany, 2012; Volume 191, pp. 585–593. [Google Scholar]
  18. Alcantar, J.V.; Assadian, F.; Kuang, M. Vehicle dynamics control of eAWD hybrid electric vehicle using slip ratio optimization and allocation. J. Dyn. Sys. Meas. Control 2018, 140, 091010. [Google Scholar] [CrossRef]
  19. Bundorf, R.T. The influence of vehicle design parameters on characteristic speed and understeer. SAE Trans. 1968, 76, 548–560. [Google Scholar]
  20. Electric Vehicle Wiki. Nissan Leaf Drivetrain. 2018. Available online: https://www.electricvehiclewiki.com/wiki/drivetrain-d1 (accessed on 20 October 2022).
  21. Markel, T.; Brooker, A.; Hendricks, T.; Johnson, V.; Kelly, K.; Kramer, B.; O’Keefe, M.; Sprik, S.; Wipke, K. ADVISOR: A systems analysis tool for advanced vehicle modeling. J. Power Sources 2002, 110, 255–266. [Google Scholar] [CrossRef]
Figure 1. Schematic configuration of MLTD.
Figure 1. Schematic configuration of MLTD.
Applsci 13 11434 g001
Figure 2. Torque relationships of the driving shaft of M (a) and the balance shaft of DM (b).
Figure 2. Torque relationships of the driving shaft of M (a) and the balance shaft of DM (b).
Applsci 13 11434 g002
Figure 3. Torque relationships of PL (a) and PR (b).
Figure 3. Torque relationships of PL (a) and PR (b).
Applsci 13 11434 g003
Figure 4. Rotational speed nomograph for WL, WR, and M.
Figure 4. Rotational speed nomograph for WL, WR, and M.
Applsci 13 11434 g004
Figure 5. Operational conditions of DM for left and right turn.
Figure 5. Operational conditions of DM for left and right turn.
Applsci 13 11434 g005
Figure 6. Some definitions of vehicle geometry with lateral torque vectoring for FWD.
Figure 6. Some definitions of vehicle geometry with lateral torque vectoring for FWD.
Applsci 13 11434 g006
Figure 7. Effect of left–right torque vectoring for two-axle model.
Figure 7. Effect of left–right torque vectoring for two-axle model.
Applsci 13 11434 g007
Figure 8. Some definitions of forces used in four-wheel vehicle model.
Figure 8. Some definitions of forces used in four-wheel vehicle model.
Applsci 13 11434 g008
Figure 9. Geometry of roll axis of the suspension system.
Figure 9. Geometry of roll axis of the suspension system.
Applsci 13 11434 g009
Figure 10. Free-body diagram of the sprung mass of vehicle.
Figure 10. Free-body diagram of the sprung mass of vehicle.
Applsci 13 11434 g010
Figure 11. Free-body diagram of the (a) rear axle and (b) front axle of vehicle.
Figure 11. Free-body diagram of the (a) rear axle and (b) front axle of vehicle.
Applsci 13 11434 g011
Figure 12. Geometric layout of wheels for the two-axle model.
Figure 12. Geometric layout of wheels for the two-axle model.
Applsci 13 11434 g012
Figure 13. Geometric layout of wheels for the four-wheel model.
Figure 13. Geometric layout of wheels for the four-wheel model.
Applsci 13 11434 g013
Figure 14. Curves of a y _ m a x vs. ζ l r for μ p = 1.1 and 1.0 at v = 60 km/h and a x = 0.
Figure 14. Curves of a y _ m a x vs. ζ l r for μ p = 1.1 and 1.0 at v = 60 km/h and a x = 0.
Applsci 13 11434 g014
Figure 15. Curves of (a) a y _ m a x * and (b) ζ l r * vs. μ p at v = 60 km/h and a x = 0.
Figure 15. Curves of (a) a y _ m a x * and (b) ζ l r * vs. μ p at v = 60 km/h and a x = 0.
Applsci 13 11434 g015
Figure 16. Curves of (a) a y _ m a x * and (b) ζ l r * vs. m at v = 60 km/h and a x = 0.
Figure 16. Curves of (a) a y _ m a x * and (b) ζ l r * vs. m at v = 60 km/h and a x = 0.
Applsci 13 11434 g016
Figure 17. Performance map of M.
Figure 17. Performance map of M.
Applsci 13 11434 g017
Figure 18. Driving performance of the designed vehicle.
Figure 18. Driving performance of the designed vehicle.
Applsci 13 11434 g018
Figure 19. Conceptual model of MLTD using computer graphics viewed from (a) right side and (b) left side.
Figure 19. Conceptual model of MLTD using computer graphics viewed from (a) right side and (b) left side.
Applsci 13 11434 g019
Figure 20. R f l * , R f r * , R r l * , and R r r * vs. v in the range of (a) 20–40 and (b) 110–120 km/h.
Figure 20. R f l * , R f r * , R r l * , and R r r * vs. v in the range of (a) 20–40 and (b) 110–120 km/h.
Applsci 13 11434 g020
Figure 21. Operating points of M with v in the range of 20 to 120 km/h.
Figure 21. Operating points of M with v in the range of 20 to 120 km/h.
Applsci 13 11434 g021
Figure 22. Operating points of DM with v in the range of 20 to 120 km/h.
Figure 22. Operating points of DM with v in the range of 20 to 120 km/h.
Applsci 13 11434 g022
Figure 23. Variations in η s y s with v at straight driving or at right and left turn.
Figure 23. Variations in η s y s with v at straight driving or at right and left turn.
Applsci 13 11434 g023
Figure 24. Variations in (a) R b and (b) V o c vs. S O C .
Figure 24. Variations in (a) R b and (b) V o c vs. S O C .
Applsci 13 11434 g024
Figure 25. Variations in E c vs. v under cruise driving.
Figure 25. Variations in E c vs. v under cruise driving.
Applsci 13 11434 g025
Figure 26. Variations in E c at right turn and of a baseline case vs. ϵ r at v = 60 km/h.
Figure 26. Variations in E c at right turn and of a baseline case vs. ϵ r at v = 60 km/h.
Applsci 13 11434 g026
Table 1. Settings of parameters of vehicle for the design case.
Table 1. Settings of parameters of vehicle for the design case.
l f 1.25 m C a 0.28 h s 0.46 m
l g 1.53 m C r 0.0117 μ p 0.75~1.1
B 1.55 m R w 0.33 m K ϕ f 70,000 Nm/rad
m 1600 kg h g 0.54 m K ϕ r 80,000 Nm/rad
ρ 1.2 kg/m3 h f 0.05 m C α f 94,000 N/rad
A 2.51 m2 h r 0.12 m C α r 99,500 N/rad
Table 2. Values of major design parameters of the MLTD powertrain.
Table 2. Values of major design parameters of the MLTD powertrain.
ParameterValue
Z r r 120
Z s r 72
Z r l 132
Z s l 36
k r 1.67
k l −3.67
r m 7.94
η t 0.97
Disclaimer/Publisher’s Note: The statements, opinions and data contained in all publications are solely those of the individual author(s) and contributor(s) and not of MDPI and/or the editor(s). MDPI and/or the editor(s) disclaim responsibility for any injury to people or property resulting from any ideas, methods, instructions or products referred to in the content.

Share and Cite

MDPI and ACS Style

Chung, C.-T.; Tsai, H.-Y. Conceptual Design and Energy Efficiency Evaluation for a Novel Torque Vectoring Differential Applied to Front-Wheel-Drive Electric Vehicles. Appl. Sci. 2023, 13, 11434. https://doi.org/10.3390/app132011434

AMA Style

Chung C-T, Tsai H-Y. Conceptual Design and Energy Efficiency Evaluation for a Novel Torque Vectoring Differential Applied to Front-Wheel-Drive Electric Vehicles. Applied Sciences. 2023; 13(20):11434. https://doi.org/10.3390/app132011434

Chicago/Turabian Style

Chung, Cheng-Ta, and Hung-Yih Tsai. 2023. "Conceptual Design and Energy Efficiency Evaluation for a Novel Torque Vectoring Differential Applied to Front-Wheel-Drive Electric Vehicles" Applied Sciences 13, no. 20: 11434. https://doi.org/10.3390/app132011434

APA Style

Chung, C.-T., & Tsai, H.-Y. (2023). Conceptual Design and Energy Efficiency Evaluation for a Novel Torque Vectoring Differential Applied to Front-Wheel-Drive Electric Vehicles. Applied Sciences, 13(20), 11434. https://doi.org/10.3390/app132011434

Note that from the first issue of 2016, this journal uses article numbers instead of page numbers. See further details here.

Article Metrics

Back to TopTop