Abstract
The extracts of Glaucium grandiflorum have been used to treat neurodegenerative diseases. Nonetheless, no former study has investigated whether the alkaloid extracts of G. grandiflorum have antioxidative effects against oxidative stress. The aim of the present study was to determine the antioxidative effects of the alkaloid extracts of G. grandiflorum with a variety of targets and probable mechanisms. First, we used spectrophotometry to investigate alkaloid extracts with respect to their alkaloid amounts. Then, we determined the alkaloid extracts’ impact on thiol/disulfide homeostasis, total oxidant status/total antioxidant status/oxidative stress index, and antioxidant enzyme activities. Finally, the effects of alkaloid extracts on the genes in the NRF2-KEAP1 pathway were determined via qRT-PCR. We conducted molecular docking analyses to determine the potential binding of isoquinoline alkaloids found within the alkaloid extracts with target proteins. We observed the best results from chloroform alkaloid extract and methanol alkaloid extract. Chloroform alkaloid extract was prominent in DPPH radical scavenging and metal ions chelating, and methanol alkaloid extract showed significant hydroxyl radical scavenging, lipid peroxidation, and superoxide anion radical scavenging activity. Alkaloid extract groups substantially increased in total thiol activity, native thiol activity, disulfide activity, total antioxidant status level, antioxidant enzyme levels, and gene expression levels (GCLC, HO-1, NRF2, and NQO1) compared to the H2O2 group. Also, alkaloid extract groups led to a significant drop in total oxidant status level, oxidative stress index level, and KEAP1 gene expression level relative to the H2O2 group. According to our study results, oxidative stress brought about by H2O2 was regulated by alkaloid extracts. As a result, a phytochemical-based therapeutic that regulates H2O2-induced oxidative stress was brought to the neurochemical field.
    1. Introduction
Oxidative stress (OS) plays a pivotal role in the onset of numerous neurodegenerative disorders (NDs), such as Alzheimer’s disease (AD), Parkinson’s disease (PD), amyotrophic lateral sclerosis (ALS), Huntington’s disease (HD), and multiple sclerosis (MS) []. Proteins and lipids in cells, as well as other cellular macromolecules, can be damaged as a result of the induction of OS, which is caused by an imbalance between the total oxidant status (TOS) and the total antioxidant status (TAS) [,]. Protein thiol groups undergo oxidation during OS, resulting in the formation of disulfide bonds. Thiol/disulfide homeostasis (TDH) between thiols and disulfide bonds is maintained due to disulfide bonds being re-reduced to thiol groups []. Malondialdehyde (MDA) and lipid peroxides are generated from the lipid oxidation/peroxidation as a result of OS []. High-density lipoprotein (HDL) cholesterol, as well as oxidized low-density lipoproteins (oxLDL), contain lipid peroxides that paraoxonase-1 (PON1) hydrolyzes in order to avoid lipoprotein oxidation []. OS can lead to post-translational modifications of proteins, influencing the activity of certain transcription factors. When oxidative stress modifies the Kelch-like enoyl-CoA hydratase-associated protein 1 (KEAP1), it results in the activation of the Nuclear factor-erythroid 2-related factor 2 (NRF2). NRF2 then binds to the antioxidant-response element (ARE) and translocates to the nucleus. Inside the nucleus, NRF2 triggers the transcription of various antioxidant enzyme genes and proteins, such as catalase (CAT), glutamate–cysteine ligase catalytic (GCLC), glutathione peroxidase (GPx), heme oxygenase-1 (HO-1), NAD(P)H quinone dehydrogenase 1 (NQO1), and superoxide dismutase (SOD) [].
Due to their high morbidity and death rates, NDs are becoming more common, which has a significant impact. Unfortunately, existing treatment options provide only temporary benefits and limited symptomatic relief []. OS has long been linked to NDs, either as a direct cause or as a result of other variables’ downstream effects. Thus, targeting OS in the central neural cells with antioxidants is arguably a potential alternative to the available treatment options for NDs. Significant study has been conducted in the last decade to find ways of utilizing natural plant antioxidants to fight OS []. Glaucium grandiflorum Boiss. and A. Huet subsp. refractum (Nábelek) Mory, a member of the Papaveraceae family from the Glaucium genus, is also recognized by names such as Bristly horned-poppy, red horned-poppy, and blackspot hornpoppy []. It contains various isoquinoline alkaloids, including allocryptopine, tetrahydropalmatine, and tetrahydroberberine N-oxide (trans-cannadine-N-oxide), which are renowned for their antioxidant capabilities [,,]. Historically, extracts from G. grandiflorum have been utilized in treatments related to brain conditions such as memory impairment [,]. Additionally, these extracts display anti-acetylcholinesterase (AChE), antibutrylcholinesterase (BChE), and antigenotoxic properties [,,,,,,]. Other studies have also explored the antibacterial, antimicrobial, and wound-healing potential of G. grandiflorum extracts [,,]. Building on our prior research, we found that G. grandiflorum alkaloid extracts, which are rich in isoquinoline alkaloids, offer neuroprotection by minimizing intracellular reactive oxygen species (ROS) induced by hydrogen peroxide (H2O2) []. However, previous research has not examined the antioxidative effects of G. grandiflorum’s chloroform, methanol, and water alkaloid extracts, which are abundant in isoquinoline alkaloids, against OS triggered by H2O2. Therefore, our study aims to delve into the antioxidative potential of G. grandiflorum’s isoquinoline alkaloid-rich extracts across different targets and potential mechanisms.
2. Materials and Methods
2.1. The Plant of Study
The study utilized Glaucium grandiflorum Boiss. and A. Huet subsp. refractum (Nábelek) Mory, which was harvested from Beypazarı, Ankara, Turkey, on 27 July 2015. It was collected by Prof. Dr. Zeki Aytaç from the Department of Biology, Faculty of Science, Gazi University, Ankara, Turkey. The plant specimen was then authenticated and deposited at the Gazi University Herbarium with the Voucher ID ZA10700. After collection, the aerial parts of the plant were dried in a shaded area and subsequently ground into a powder.
2.2. Obtaining Alkaloid Extracts from Glaucium grandiflorum
Using a soxhlet device (LabHeat, Ubstadt-Weiher, Germany), extracts were derived from 10 g of the powdered plant using 150 mL of chloroform (Merck, Darmstadt, Germany), methanol (Merck), and water solvents over a duration of 8 h. These solvents were then removed using a rotating evaporator (Heidolph, Schwabach, Germany) set at a controlled temperature of 40 °C. The resultant plant extracts were combined with 40 mL of 2% sulfuric acid (H2SO4) (Sigma-Aldrich, St. Louis, MO, USA) and processed with 3 × 50 mL of diethyl ether [(C2H5)2O] (Merck). To isolate the extracts from the oils, a separating funnel was utilized. The aqueous acidic solution was then adjusted to a pH of 9.0 using ammonium hydroxide (NH4OH) (Merck), followed by the addition of 3 × 50 mL of chloroform. Afterward, the chloroform extract was dried using sodium sulfate (Na2SO4) (Merck) and again evaporated under a controlled temperature of 40 °C using a rotary evaporator. The final alkaloid extracts were stored at 4 °C, ready for experimental use [,].
2.3. Spectrophotometric Determination of Total Alkaloid Amount of Alkaloid Extracts
An alkaloid extract solution was prepared by dissolving 1 mg of the extract in 1 mL of 2 M hydrogen chloride (HCl) (Merck) and was transferred to glass tubes. To this solution, 5 mL of sodium phosphate (Na3PO4) buffer with a pH of 4.7 (Merck), 5 mL of 0.04% bromocresol green (BCG) (Sigma-Aldrich), and 4 mL of chloroform were added. The mixture was allowed to incubate for 5–10 s at room temperature. Subsequently, the settled chloroform layer was transferred to separate glass tubes, and its absorbance was measured using a microplate reader (Epoch, Santa Clara, CA, USA) at a wavelength of 470 nm, using blind samples as references. The total alkaloid content in the extracts was quantified based on a standard curve established with boldine (Sigma-Aldrich) [,].
2.4. Spectrophotometric Determination of Antioxidant Activities of Alkaloid Extracts
2.4.1. Metal Ions Chelating Activity
Alkaloid extracts of varying concentrations (0, 50, 100, 150, 200, and 250 µg/mL) were mixed with 0.05 mL of 2 mM iron(II) chloride (FeCl2) (Sigma-Aldrich) and 0.1 mL of 5 mM ferrozine (Sigma-Aldrich). To adjust the total volume, 2 mL of solvent was added. After vigorous mixing, the solution was allowed to rest at room temperature for ten minutes. Post-incubation, the absorbance of the samples was determined at 562 nm using a microplate reader, compared against blind samples. The ability of the samples to inhibit the formation of the ferrozine–Fe2+ complex was assessed using the following equation: inhibition (%) = [(Acontrol − Asample)/Acontrol] × 100. Here, Acontrol represents the absorbance of the Ferrozine–Fe2+ complex and Asample represents the absorbance of the test compound. Ethylenediaminetetra-acetic acid (EDTA)-sodium (Na) (0.5 mg/mL) (Merck) was used as a reference control [,].
2.4.2. 2,2-Diphenyl-1 Picrylhydrazil (DPPH) Radical Scavenging Activity
Alkaloid extract solutions of varying concentrations (0, 50, 100, 150, 200, and 250 µg/mL) were combined with a 0.004% DPPH (Sigma-Aldrich) solution and allowed to sit at room temperature for 30 min. After this incubation period, the absorbance of the samples was measured at 517 nm using a microplate reader, with reference to blind samples. The capability of the samples to inhibit the DPPH radical formation was calculated using the following equation: inhibition (%) = [(Acontrol − Asample)/Acontrol] × 100. In this equation, Acontrol represents the absorbance when all reagents except the test compound are present, and Asample indicates the absorbance of the test compound itself. Ascorbic acid (0.5 mg/mL) (Sigma-Aldrich) was used as the benchmark control [].
2.4.3. Lipid Peroxidation Inhibitory Activity
A mixture was prepared by combining 0.4 mL of plasma, 0.1 mL of 0.5 mM iron (II) sulfate (FeSO4) (Sigma-Aldrich), 0.1 mL of 0.5 mM H2O2 (Sigma-Aldrich), and 0.2 mL of alkaloid extracts of varying concentrations (0, 50, 100, 150, 200, and 250 µg/mL). This mixture was then allowed to incubate at 37 °C for 12 h. Post-incubation, the mixture was treated with 375 mL of 4% tricarboxylic acid (TCA) (Merck) and 75 mL of 0.5 mM butylhydroxytoluene (BHT) (Sigma-Aldrich), followed by a five-minute cooling period in an ice bath. The mixture was centrifuged at 5000 rpm for 15 min to yield a supernatant. This supernatant was then combined with 0.2 mL of 0.6% thiobarbituric acid (TBA) (Sigma-Aldrich), incubated at 95 °C for another 30 min, and then cooled. A subsequent centrifugation at 5000 rpm for 15 min allowed for the extraction of a clear supernatant. The absorbance of this solution was gauged at 532 nm using a microplate reader, referencing against blind samples. The formula inhibition (%) = [(Acontrol − Asample)/Acontrol] × 100 was employed to determine the samples’ lipid peroxidation inhibition activity. Here, Acontrol signifies the absorbance in the presence of all reagents except the test compound, and Asample represents the absorbance of the test compound itself. Ascorbic acid (0.5 mg/mL) was used as the standard control [].
2.4.4. Hydroxyl Radical Scavenging Activity
The reaction concoction was made up of 1 mL alkaloid extracts at differing concentrations (0, 50, 100, 150, 200, and 250 µg/mL), 1 mL 1,10-phenanthroline (0.75 mM) (Sigma-Aldrich), 1.5 mL of 0.15 M Na3PO4 buffer (with a pH of 7.4), 1 mL of FeSO4 (0.75 mM), and 1 mL of H2O2 (0.01%, v/v). This mixture was agitated and subsequently allowed to incubate at 37 °C. The absorbance of the resultant mixture was assessed at 536 nm using a microplate reader in comparison to a blind sample. The inhibitory activity against hydroxyl radicals in the samples was determined using the following equation: inhibition (%) = [(Acontrol − Asample)/Acontrol] × 100. In this formula, Acontrol represents the absorbance when all reagents are present except for the test compound, and Asample indicates the absorbance of the test compound alone. Ascorbic acid (0.5 mg/mL) was utilized as a benchmark control [,].
2.4.5. Superoxide Anion Radical Scavenging Activity
To generate the superoxide anion radical, a mixture comprising 3 mL of 0.1 M Na3PO4 buffer (with a pH of 7.4), 156 M nicotinamide adenine dinucleotide (NADH) (Merck), 52 M nitro blue tetrazolium (NBT) (Merck), and 20 M phosphate-buffered saline (PBS) (Thermo Fisher Scientific, Waltham, MA, USA) was prepared. One mL of varying concentrations of alkaloid extracts (0, 50, 100, 150, 200, and 250 µg/mL) was then incorporated. After a 5 min incubation period at 25 °C, the solution’s absorbance was assessed at 560 nm using a microplate reader in comparison with a blind sample. The suppression of superoxide anion radical formation in the samples was determined using the equation: Inhibition (%) = [(Acontrol − Asample)/Acontrol] × 100. Here, Acontrol is the absorbance value when all elements are present, excluding the test compound, and Asample is the absorbance of the test substance. As a reference, ascorbic acid (0.5 mg/mL) was employed [,].
2.5. Reproduction and Storage of PC-12 Cells
PC-12 is a transplantable pheochromocytoma-derived cell line found in rats. The PC-12 cell line was supplied by Bilkent University National Nanotechnology Research Center UNAM.
PC-12 cells were cultivated using DMEM (Sigma-Aldrich), supplemented with 10% heat-inactivated horse serum (Thermo Fischer Scientific, Waltham, MA, USA), 10% heat-inactivated fetal bovine serum (Sigma-Aldrich), 1% penicillin/streptomycin (Sigma-Aldrich), and 1% L-glutamine (Sigma-Aldrich). This media was purified using a 0.22 µm Millipore filter to ensure sterility. The culture dishes, both 25 and 75 cm2 (Corning Star, New York, NY, USA), designated for cell cultivation, were coated with 10 µg/mL collagen (Thermo Fischer Scientific), which was prepared in PBS. After a 10 min incubation, cells were sown on these collagen-coated containers at densities of 2 × 105 or 6 × 105 cells/cm2. Cultivation took place in a Sanyo incubator with an atmosphere of 5% CO2 at a temperature of 37 °C. When cells reached a confluence of 80–90%, they were detached using a cell culture medium, and their quantity was gauged. Depending on the research goals, the necessary amount of cells was further cultivated in 96- and 6-well microplates (Corning Star). For storage, cells were suspended in a medium, a mixture of PC-12 cell culture medium and 10% dimethyl sulfoxide (DMSO) (Millipore, Burlington, MA, USA), and then preserved in a liquid nitrogen container (Cryogenics) [,,].
2.6. Cell Viability Test
In the study, the effect of H2O2 on the viability of PC-12 cells was assessed. Cells, with a density of 1 × 104 cells/well in a 96-well plate, were exposed to concentrations of 100, 150, 200, and 300 µM H2O2 for intervals of 12, 24, and 48 h. Alkaloid extracts at concentrations of 100, 250, 500, and 1000 µg/mL in a 100 µL cell culture medium with 0.05% DMSO were also applied to the cells for 12, 18, and 24 h durations. Furthermore, to evaluate the combined effects, PC-12 cells were treated with selected concentrations (100, 250, and 500 µg/mL) of alkaloid extracts for 18 h, followed by an application of 200 μM H2O2 for 24 h [,].
To gauge cell viability against a control group, the 3-(4,5-Dimethylthiazol-2-yl)-2,5-diphenyltetrazolium bromide (MTT) assay was employed. Post incubation, each well received 20 µL of MTT solution (Sigma-Aldrich) at a concentration of 5 mg/mL in dH2O. After a 4 h incubation at 37 °C with 5% CO2, the medium was discarded from each well and replaced with 200 µL of DMSO. Following a further 30 min incubation under similar conditions, the optical density was read at 570 nm using a microplate reader. The absorbance observed in the control group was designated as representing 100% cell viability. Viability percentages for the other groups were computed based on this benchmark using the following equation: Cell viability (%) = (Average sample absorbance/Average control absorbance) × 100 [,].
2.7. The Effect of Alkaloid Extracts on TDH in PC-12 Cells Induced by OS with H2O2
The supernatant was prepared as outlined in Section 2.7. The determination of TDH was carried out using both native thiol and total thiol assays (both from Rel Assay, Gaziantep, Turkey) following the manufacturer’s guidelines. For TDH, reducible disulfide bonds were converted into free functional thiol groups. Any excess sodium borohydride, a reductant, was neutralized and removed using formaldehyde. Subsequently, all thiol groups, including the newly reduced and the native ones, were measured after reacting with 5,5′-dithiobis-(2-nitrobenzoic) acid (DTNB). The dynamic disulfide quantity was calculated by taking half the difference between the total and native thiols. Once the native and total thiols were established, the amounts of disulfides were ascertained [].
2.8. Determination of the Effect of Alkaloid Extracts on Total Oxidant Status (TOS), Total Antioxidant Status (TAS), and OS Index (OSI) Levels in PC-12 Cells Induced by OS with H2O2
Cells were seeded in a 6-well plate at a concentration of 1 × 106 cells per well. The PC-12 cells were then exposed to alkaloid extracts at concentrations of 100, 250, and 500 µg/mL, dissolved in 2 mL of cell culture medium. This was incubated at 37 °C in an atmosphere containing 5% CO2 for 18 h. Subsequently, the cells underwent a 24 h incubation with a medium infused with 200 µM H2O2. Cells maintained under standard conditions without H2O2, or alkaloid extract treatments served as controls. Post-treatments, cells were gently washed with cold PBS. They were then covered with 2 mL of cold PBS and detached using a cell scraper (Corning Star). The detached cells were then gathered in a sterile centrifuge tube and spun at 10,000 rpm for 5 min at 4 °C. It is crucial to note that all the following steps were conducted in a cold environment. The resultant cell pellets were suspended in 500 µL of cold lysis buffer containing 1 M Tris buffer (pH 7.2), 2 M sodium chloride (NaCl), 1 M magnesium chloride (MgCl2), and 1% Triton X-100. The mix was kept at 4 °C for 15 min, with intermittent vortexing every 5 min. Post-incubation, cell debris was discarded by centrifuging the tubes at 10,000× g for 30 min at 4 °C. The clear supernatant was then used to evaluate the TOS and TAS levels using respective assay kits (Rel Assay). The TOS levels were assessed spectrophotometrically at 530 nm, correlating the color intensity to the oxidant quantity within each test group. The results were calibrated using H2O2 and expressed in terms of µmol H2O2 equivalent per liter [,]. TAS levels were determined by assessing the reducing ability of antioxidants against 2,2′-azino-bis(3-ethylbenzothiazoline-6-sulfonic acid) (ABTS) at 660 nm, with outcomes expressed as mmol Trolox equivalent/L [,]. Additionally, the OSI (Oxidative Stress Index) was derived by computing the TOS to TAS ratio using the following formula: OSI = TOS (µmol H2O2 equivalent/L) divided by TAS (µmol Trolox equivalent/L) [].
2.9. Determination of the Effect of Alkaloid Extracts on Paraoxanase-1 (PON1), Superoxide Dismutase (SOD), Catalase (CAT), and Glutathione Peroxidase (GPx) Enzyme Levels in PC-12 Cells Induced by OS with H2O2
The supernatant was prepared as outlined in Section 2.7. The levels of enzymes PON1, ARE, SOD, CAT, and GPx were measured using their respective kits: PON1 (Rel Assay), ARE (Rel Assay), SOD (FineTest, Boulder, Colorado, USA), CAT (FineTest), and GPX (FineTest), in line with the instructions provided by the manufacturers. PON1 activity was evaluated based on the increase in absorbance at 412 nm at 25 °C, which results from the formation of p-nitrophenol. The rate of paraoxon hydrolysis was used for this assessment. PON1 activity was expressed as U/L, with the definition being the generation of 1 mmol p-nitrophenol every minute []. For the enzymes SOD, CAT, and GPx, their activities were determined by measuring the optical density (OD) on a microplate reader at 450 nm. The enzyme levels for each test group are presented as a percentage relative to the control levels for SOD, CAT, and GPX [,].
2.10. Determination of the Effect of Alkaloid Extracts on GCLC, HO-1, NRF2, NQO1, and KEAP1 Gene Expression Levels in PC-12 Cells Induced by OS with H2O2 via qRT-PCR
PC-12 cells with a density of 1 × 106 cells/well in a 6-well plate were treated with selected concentrations (100, 250, and 500 µg/mL) of alkaloid extracts for 18 h, followed by an application of 200 μM H2O2 for 24 h. Total RNA was extracted using the RNeasy Mini kit (Qiagen, Hilden, Germany), as per the provided guidelines. This RNA was then transformed into cDNA with the QuantiTect Reverse Transcription Kit, also from Qiagen. The cDNA synthesis and PCR reactions were conducted using the QuantStudio 3 Real-Time PCR device by Applied Biosystems (Waltham, MA, USA). The specific primer sequences are detailed in Table 1. The qRT-PCR procedure was as follows: an initial cycle at 95 °C for 5 min, followed by 40 cycles of 95 °C for 10 s, 56 °C (for NQO1) or 60 °C (for GCLC, HO-1, KEAP, and NRF2) for 30 s, and then 72 °C for 45 s. A concluding step at 72 °C for 30 s was conducted to facilitate the final extension. The mRNA’s relative expression level was determined in reference to the Glyceraldehyde-3-phosphate dehydrogenase (GAPDH) expression.
 
       
    
    Table 1.
    Primers that were used in qRT-PCR.
  
2.11. Molecular Docking
The binding affinity between the ligands (allocryptopine, tetrahydropalmatine, and tetrahydroberberine N-oxide (trans-cannadine-N-oxide)) and the target proteins (GCLC, HO-1, KEAP1, NRF2, and NQO1) was evaluated via a molecular docking study utilizing the CB-Dock2 software (Version 2). This tool operates in four stages: input data processing, pinpointing the cavity, performing the docking, and visualizing and analyzing the resulting complex. For the target proteins, input data is provided in the PDB format, whereas ligands are inputted in either SDF or MOL2 formats. The CB-Dock2 employs a curvature-centric approach to identify potential binding sites on the target protein. Once these sites are recognized, it calculates the center and dimensions and proceeds with the docking process using the Autodock Vina program [].
2.12. Statistical Analysis
Results are presented as the mean ± standard deviation (SD) from experiments conducted in triplicate. To evaluate statistical differences between the control group and the H2O2-treated group, the independent sample T-test based on Levene’s test was utilized. For comparing multiple groups, one-way analysis of variance (ANOVA) was employed, followed by Tukey’s HSD post hoc test for pairwise comparisons between groups. Statistical analyses were conducted using IBM SPSS software version 21.0. Significance levels were set at p < 0.05 and p < 0.01.
3. Results and Discussion
In this study, we explored the antioxidant potential and underlying mechanisms of chloroform, methanol, and water extracts from G. grandiflorum, a plant rich in isoquinoline alkaloids, in counteracting the OS caused by H2O2.
3.1. Alkaloid Amount of Extracts
Table 2 displays the amount of extract (in mg) derived from a 1 g plant and the concentration of mg alkaloid per 1 g extract. Based on the solvents used, the sequence of alkaloid content in 1 g extract is as follows: methanol > chloroform > water. In a prior study, gas chromatography–mass spectrometry (GC-MS) was utilized to analyze the profiles and percentage compositions of alkaloids extracted with chloroform, methanol, and water. The extracts predominantly contained alkaloids, with non-alkaloid compounds only found in minor amounts. The alkaloid concentrations were ranked as water (98.6%) > methanol (100%) > chloroform (96.1%). All three solvents extracted the same alkaloid components, which include allocryptopine (making up 46.4–91.5% of the content), tetrahydropalmatine (1.5–31.8%), and tetrahydroberberine N-oxide (trans-cannadine-N-oxide) (3.1–21.9%) (Figure 1). The proportions of these alkaloids varied depending on the solvent used []. This variation can be attributed to the solvent properties. Organic solvents such as chloroform and methanol, which have lower polarity compared to water, are more efficient at dissolving lipophilic alkaloids [,]. This implies that the solubility of alkaloids in solvents can vary depending on their lipophilicity, which is determined by their octanol–water partitioning coefficient []. A study by Doncheva et al. [] identified 17 isoquinoline alkaloids in G. grandiflorum grown in Bulgaria and Algeria. They found allocryptopine as the major alkaloid in both plant sources and highlighted that the production of these alkaloids in G. grandiflorum might be influenced by the plant’s growth environment. They also suggested that these alkaloids could serve as chemotaxonomic markers for pinpointing the origin of the plants. In our research, allocryptopine emerged as the dominant alkaloid. Its concentration in the extracts was highest in chloroform (91.5%), followed by water (84.0%), and then methanol (46.4%). When considering the actual amount of allocryptopine, the order is chloroform (497.5 g/mg) > methanol (248.4 g/mg) > water (236.6 g/mg). For the alkaloid extracts concentrations of 100, 250, and 500 g/mL, the respective allocryptopine concentrations in chloroform, methanol, and water were 50; 25; 24, 124; 62; 59, and 248; 124; 118 g/mL [].
 
       
    
    Table 2.
    Alkaloid amount of extracts.
  
 
      
    
    Figure 1.
      Structures of major alkaloids in G. grandiflorum extracts.
  
3.2. Antioxidant Activities of Alkaloid Extracts
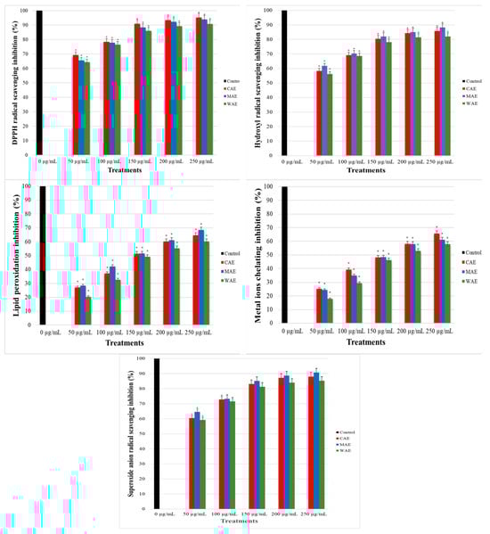
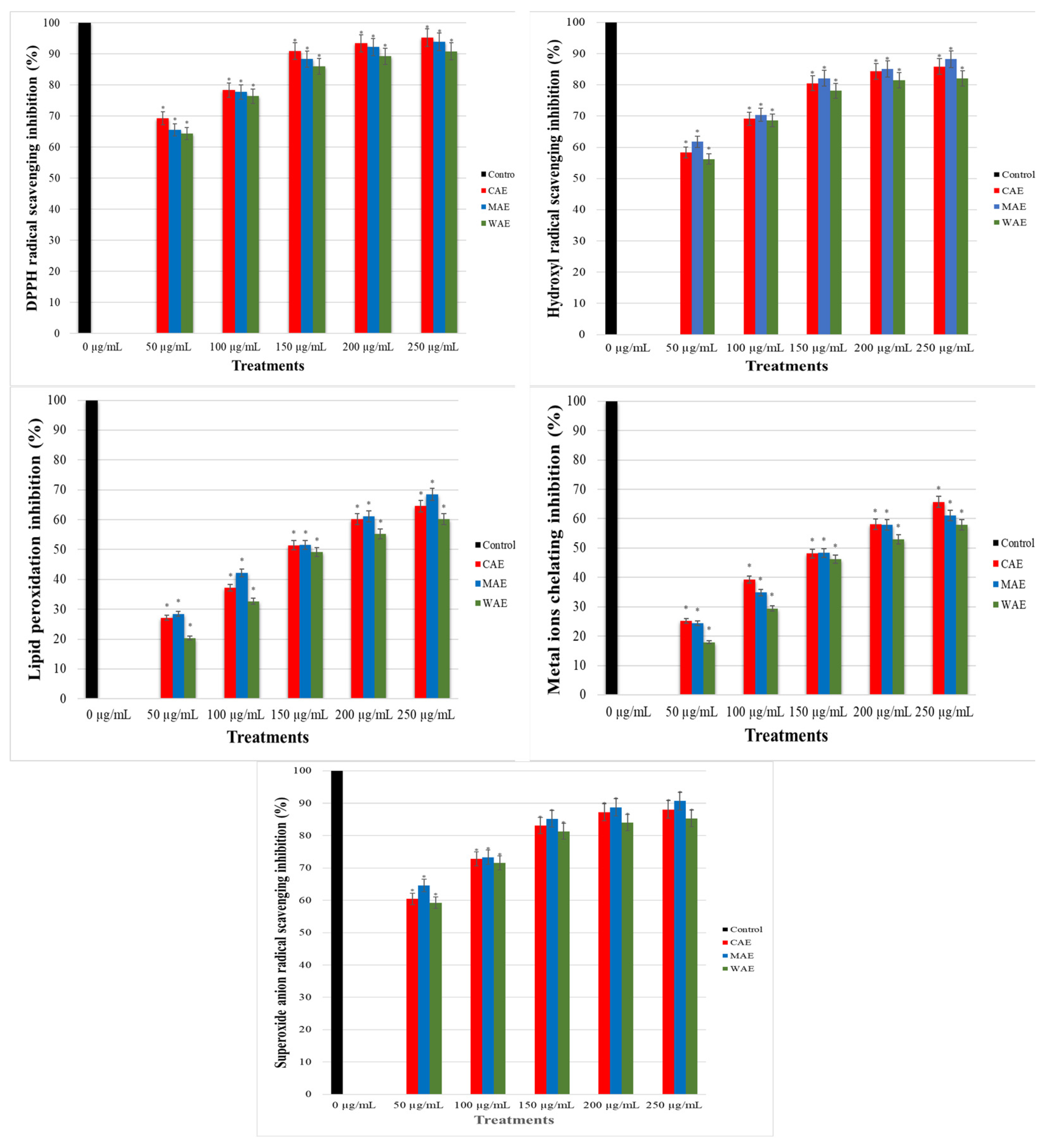
Reactive oxygen species (ROS), including the hydroxyl radical, superoxide anion radical, and hydrogen peroxide, are a group of molecules with oxygen that are highly reactive due to their unpaired electrons. In the presence of iron ions, hydrogen peroxide can react in the Fenton reaction, generating hydroxyl radicals. High levels of ROS can cause significant oxidative damage to biological macromolecules, such as lipids, proteins, and nucleic acids, either within or outside the cell. Elevated ROS can trigger neurodegenerative diseases (NDs) via oxidative stress (OS) [,]. Current research is focused on discovering natural antioxidants that can halt ND progression. Furthermore, studies have suggested that alkaloid extracts can be a primary source of natural antioxidants with potent antioxidant properties []. In this context, we assessed the antioxidant potential of G. grandiflorum alkaloid extracts using various assays such as DPPH, hydroxyl, and superoxide anion radical scavenging, lipid peroxidation prevention, and metal ion chelation. Figure 2 illustrates the antioxidant activities of these extracts. The effectiveness based on the volume of the alkaloid extract was highest with 250 µL, decreasing in order to 50 µL. However, the preferred solvent for extraction varied depending on the specific antioxidant activity. For instance, chloroform was superior for DPPH radical scavenging and metal ion chelating, while methanol excelled in hydroxyl radical scavenging, lipid peroxidation prevention, and superoxide anion radical scavenging. When considering overall antioxidant activities, the order was DPPH radical scavenging > superoxide anion radical scavenging > hydroxyl radical scavenging > lipid peroxidation prevention > metal ion chelation. The antioxidant potential of isoquinoline alkaloids is attributed to the presence of a lone electron pair on their nitrogen atom []. Dung et al. [] explored the radical scavenging capabilities of isoquinoline alkaloids and found that both DPPH and hydroxyl radicals react with these alkaloids to form two intermediates and a transition state. The hydroxy group present in isoquinoline alkaloids reportedly enhances its antioxidant properties. Key to this antioxidant activity are aromatic hydroxyl groups in the alkaloid structure []. Jang et al. [] demonstrated a strong correlation between the hydroxyl radical scavenging capacities of isoquinoline alkaloids and their metal ion chelating abilities, with functional groups such as hydroxy and methylenedioxy enhancing these properties. Another study by Shirwaikar et al. [] found that the isoquinoline alkaloid berberine exhibited notable antioxidant and chelating activities. Their findings indicated that berberine’s lipid peroxidation inhibition might be related to its iron ion chelating capability. Our results align with these studies, suggesting that the hydroxy and methylenedioxy groups in the alkaloids under investigation contribute to their antioxidant effects. Further structural analyses are essential to validate these assumptions.
 
      
    
    Figure 2.
      Antioxidant activities of alkaloid extracts (CAE: Chloroform alkaloid extract, MAE: Methanol alkaloid extract, WAE: Water alkaloid extract). The figures were presented as mean ± SD. Tukey’s test was used in the case of p < 0.05. * Significantly different from the control (n: 3 for each bar).
  
3.3. Effect of Alkaloid Extracts in PC-12 Cells Induced by OS with H2O2
In this study, we aimed to identify the optimal concentration and duration of H2O2 exposure that would induce oxidative stress in PC-12 cells while causing minimal damage. This would provide an effective experimental model to assess oxidative stress. Additionally, using the MTT test, we sought to determine the concentration and duration of treatment with G. grandiflorum alkaloid extracts that would showcase their non-toxic antioxidant properties. Consequently, PC-12 cells were subjected to 200 µM H2O2 for 18 h to induce oxidative stress. To evaluate their protective effects, the cells were treated with alkaloid extracts at concentrations of 100, 250, and 500 µg/mL for 24 h. Preliminary results indicate that the alkaloid extracts offered antioxidant protection to the PC-12 cells from the oxidative damage induced by H2O2. The protective mechanisms of alkaloids against H2O2-induced oxidative stress as reported in the literature are as follows: Scavenging free radicals [], inhibiting lipid peroxidation [], chelating metal ions [], regulating TDH homeostasis [], preserving the balance of TOS/TAS/OSI [], enhancing antioxidant enzyme activity [], modulating cellular signaling pathways [], and inhibiting inflammation []. In our study, we planned experiments from the alkaloid extract to determine the detailed protective mechanisms against H2O2-induced oxidative stress.
3.4. Effect of Alkaloid Extracts on TDH in PC-12 Cells Induced by OS with H2O2
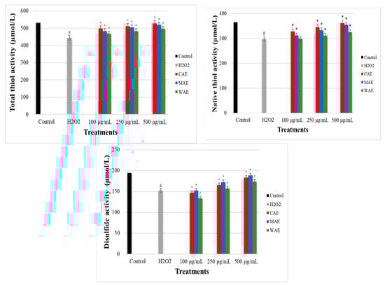
TDH is crucial as it provides insights into the redox balance []. Thiols, with their -SH groups, play a critical role as antioxidant buffers. These -SH groups interact with and reduce oxidizing agents, protecting against oxidative stress (OS). This interaction transforms thiols into disulfides, which can revert to thiol groups, ensuring a continuous TDH cycle []. However, in neurodegenerative diseases (NDs), the excessive presence of reactive oxygen species (ROS) alters cysteine functions, disrupting TDH []. Given this, we evaluated the impact of alkaloid extracts on TDH in PC-12 cells subjected to oxidative stress using H2O2, utilizing commercial test kits. Compared to the control group, the H2O2 group exhibited significantly diminished total thiol, native thiol, and disulfide activities (p < 0.05). In contrast, groups treated with alkaloid extracts displayed a notable increase in these activities when compared to the H2O2 group, with variations depending on the concentration used (p < 0.05). Among the concentrations, 500 µg/mL was most effective, followed by 250 µg/mL and 100 µg/mL. For disulfide activity, methanol extracts were most effective, followed by chloroform and water. However, for total and native thiol activities, chloroform extracts were most effective, trailed by methanol and water (as depicted in Figure 3). Studies by Gumusyayla et al. [] found that individuals with NDs had considerably lower total and native thiol activities compared to healthy subjects. Martins et al. [] reported that oxidative stress induced by manganese led to a reduction in the total thiol levels in the mouse hippocampus. This decline was reversed to normal levels upon treatment with an aqueous extract of Melissa officinalis, which is abundant in isoquinoline alkaloids. Similarly, Sharma et al. [] observed in their study that isoprenaline-induced oxidative damage in Wistar rat brains significantly reduced total thiol activities. This depletion was counteracted by the bark hydroethanolic extract of Juglans regia L., known for its rich alkaloid content. Our findings align with these studies. We hypothesize that our alkaloid extracts act via multiple mechanisms, such as metal ion chelation and free radical scavenging, acting as substrates in specific redox reactions such as GSH and selectively reducing certain protein disulfide bonds, such as thioredoxin. However, further investigations are needed to substantiate this hypothesis.
 
      
    
    Figure 3.
      Levels of total thiol, native thiol, and disulfide (H2O2: Hydrogen peroxide, CAE: Chloroform alkaloid extract, MAE: Methanol alkaloid extract, WAE: Water alkaloid extract). The figures were presented as mean ± SD. Tukey’s test was used in the case of p < 0.05. # Significantly different from the control (n: 3 for each bar). * Significantly different from the H2O2 (n: 3 for each bar).
  
3.5. Impact of Alkaloid Extracts on TOS, TAS, and OSI Levels in PC-12 Cells Induced by OS with H2O2
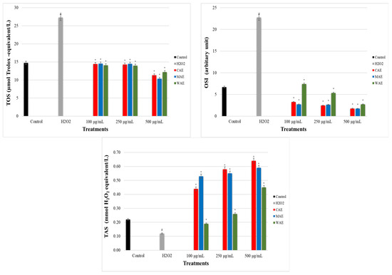
Oxidative stress (OS) in neurodegenerative diseases (NDs) primarily arises from the disparity between oxidative mechanisms and antioxidant defenses, leading to fluctuations in total oxidative status (TOS) and total antioxidant status (TAS) levels []. TOS, TAS, and the oxidative stress index (OSI) are utilized as indicators of this oxidative equilibrium. Instead of analyzing a multitude of individual oxidant and antioxidant molecules, these metrics offer a comprehensive view of the overall oxidative balance []. In this context, we examined the impact of alkaloid extracts on TOS, TAS, and OSI levels in PC-12 cells subjected to OS using H2O2, employing commercial assay kits. Relative to the control group, the H2O2-treated group exhibited a significant surge in TOS and OSI levels (p < 0.05) and a noteworthy decline in TAS (p < 0.05). When compared to the H2O2 group, the cells treated with varying concentrations of the alkaloid extracts displayed a marked reduction in TOS and OSI levels and a significant rise in TAS levels (p < 0.05). In terms of potency, the 500 µg/mL concentration proved most effective, followed by 250 µg/mL and 100 µg/mL. Regarding the solvent effect, for TAS, chloroform was most effective, succeeded by methanol and water. However, for TOS and OSI, methanol took the lead, followed by chloroform and then water (as illustrated in Figure 4). In their studies, Arikanoglu et al. [] and Copoglu et al. [] compared the serum and plasma TOS and TAS levels between ND patients and a healthy control cohort. They observed notably elevated TOS levels in the ND group, with a concomitant significant decline in TAS levels. Similarly, Kucukgul et al. [] noted in their research that Ziziphus jujuba, known for its rich alkaloid content, effectively mitigated the H2O2-induced rise in TOS and OSI levels while concurrently elevating the H2O2-suppressed TAS levels. Our findings resonate with these studies. The structural presence of free phenolic (hydroxyl) and catechol groups in isoquinoline alkaloids is instrumental in maintaining the equilibrium of TOS, TAS, and OSI levels [,]. Thanks to their multifaceted properties such as free radical scavenging, metal ion chelation, lipid peroxidation prevention, ROS hydrogen/electron donation, and the stimulation of antioxidant and detoxification enzymes, isoquinoline alkaloids can harmonize these oxidative balance markers [,,]. The antioxidant actions exhibited by our alkaloid extracts, such as scavenging of hydroxyl and superoxide anion radicals, coupled with metal ion and lipid peroxidation chelation abilities, further endorse this perspective.
 
      
    
    Figure 4.
      Levels of TOS, TAS, and OSI (H2O2: Hydrogen peroxide, CAE: Chloroform alkaloid extract, MAE: Methanol alkaloid extract, WAE: Water alkaloid extract). The figures were presented as mean ± SD. Tukey’s test was used in the case of p < 0.05. # Significantly different from the control (n: 3 for each bar). * Significantly different from the H2O2 (n: 3 for each bar).
  
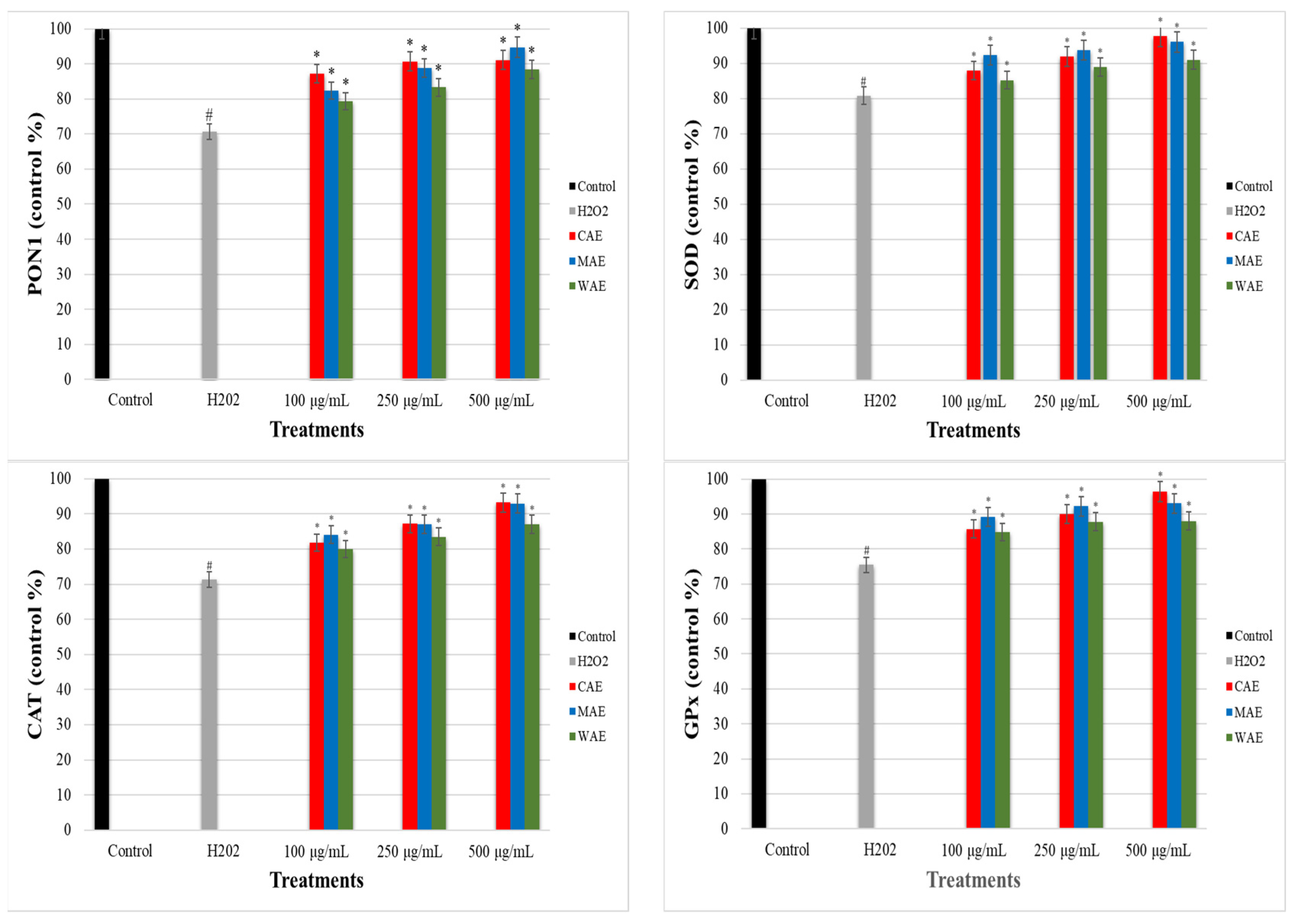
3.6. Impact of Alkaloid Extracts on PON1, SOD, CAT, and GPx Enzyme Levels in PC-12 Cells Induced by OS with H2O2
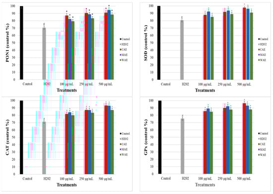
The antioxidant system is broadly categorized into two groups: the enzymatic antioxidant system and the non-enzymatic antioxidant system. Key components of the enzymatic system include superoxide dismutase (SOD), catalase (CAT), glutathione peroxidase (GPx), and other endogenous antioxidant enzymes such as paraoxonase 1 (PON1). Collectively, these enzymes serve as the primary defense against oxidative stress (OS) []. SOD primarily neutralizes superoxide radicals by converting them into H2O2 and oxygen. Additionally, SOD helps detoxify peroxynitrite, a potent oxidant formed from the interaction of nitric oxide and superoxide radicals []. CAT, a heme-containing redox enzyme, prevents potential damage from H2O2 by converting it into oxygen and water without generating free radicals []. GPx, a selenoenzyme, utilizes reduced glutathione (GSH) to transform organic hydroperoxides into alcohol and water []. PON1 aids in degrading lipid peroxides, safeguarding plasma lipoproteins from oxidative changes []. Given this background, we assessed the impact of alkaloid extracts on the levels of PON1, SOD, CAT, and GPx enzymes in PC-12 cells exposed to OS via H2O2 using specialized assay kits. The H2O2 treatment group showed a notable decrease in the levels of PON1, SOD, CAT, and GPx compared to the control group (p < 0.05). However, alkaloid extract treatments, depending on their concentration, led to significant elevations in these enzyme levels when compared to the H2O2 group (p < 0.05). The potency of the alkaloid concentrations was ranked as 500 µg/mL > 250 µg/mL > 100 µg/mL. Solvent influence differed based on enzyme activity, with chloroform as the most effective for SOD, CAT, and GPx, and methanol standing out for PON1. Among the enzyme levels influenced by the alkaloid treatments, the ranking was PON1 > CAT > GPx > SOD (as depicted in Figure 5). The literature supports these findings. For instance, studies by Romani et al. [] and Vural et al. [] found that ND patients displayed substantially lower levels of PON1, SOD, CAT, and GPx compared to healthy individuals. Ezabadi et al. [] reported the positive effects of berberine chloride, an isoquinoline alkaloid, on the antioxidant enzyme activities of rats exposed to the toxin diazinon. Jia et al. [] demonstrated that palmatine, another isoquinoline alkaloid, significantly enhanced the activity of the SOD3 gene responsible for antioxidant defenses in a specific worm model. Additionally, Hussein et al. [] studied the protective attributes of an alkaloid-rich extract from Cyperus rotundus L. (CR) against neurotoxicity in rats. They found that while exposure to the toxin esfenvalerate reduced brain PON1 levels, treatment with the C. rotundus extract notably countered this toxicity by elevating PON1 levels. Our findings align with these studies, suggesting that our alkaloid extracts, abundant in isoquinoline alkaloids, offer protection against OS by bolstering the activities of crucial antioxidant enzymes, including PON1, SOD, CAT, and GPx.
 
      
    
    Figure 5.
      The levels of the enzymes PON1, SOD, CAT, and GPx (H2O2: Hydrogen peroxide, CAE: Chloroform alkaloid extract, MAE: Methanol alkaloid extract, WAE: Water alkaloid extract). The figures were presented as mean ± SD. Tukey’s test was used in the case of p < 0.05. # Significantly different from the control (n: 3 for each bar). * Significantly different from the H2O2 (n: 3 for each bar).
  
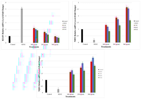
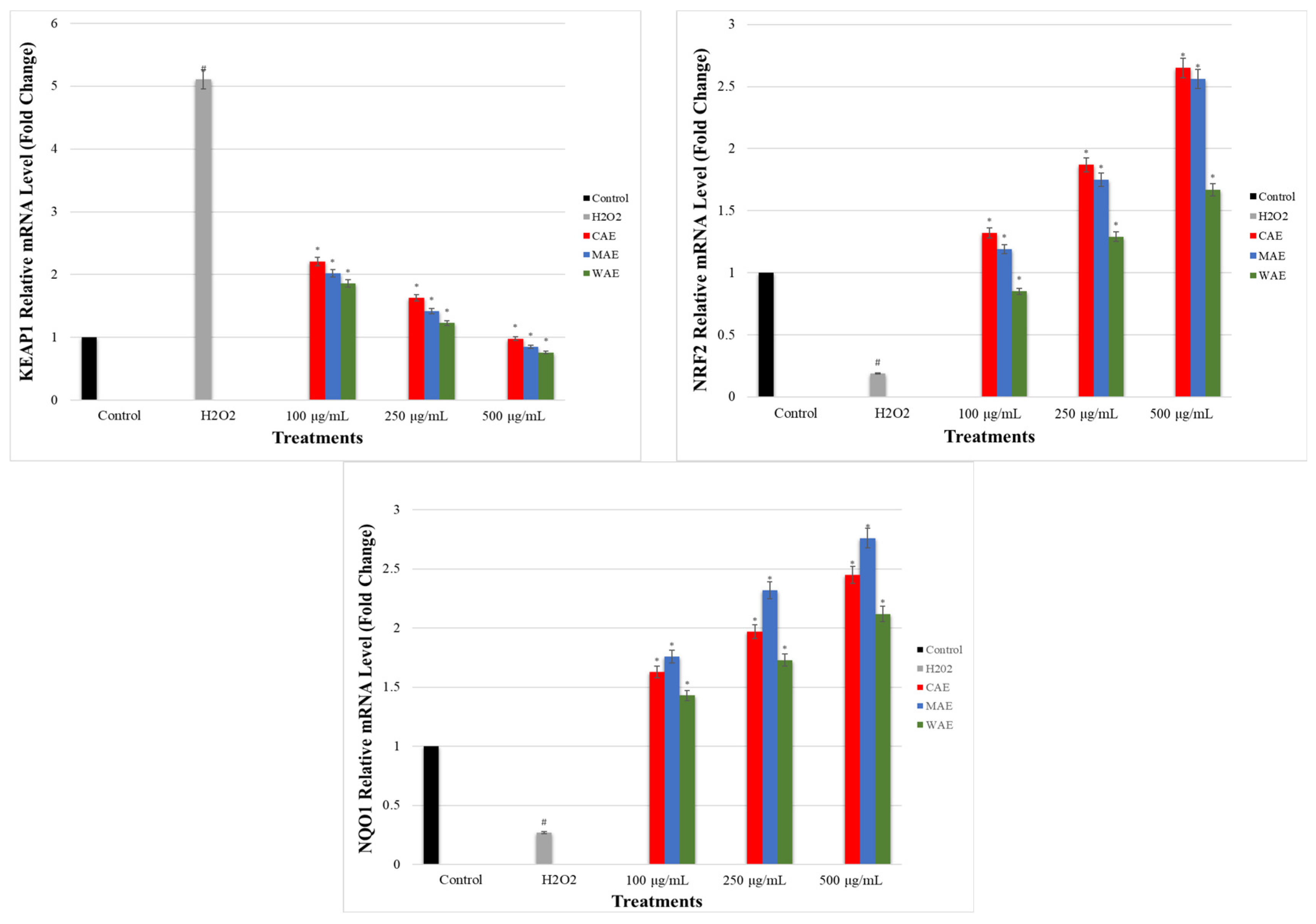
3.7. Impact of Alkaloid Extracts on GCLC, HO-1, NRF2, NQO1, and KEAP1 Gene Expression Levels in PC-12 Cells Induced by OS with H2O2
The NRF2-ARE signaling pathway plays a pivotal role in neurodegenerative diseases (NDs). The ARE is a recognized enhancer sequence (RTGACnnnGC) found in the 5′ regions of many genes responsible for phase II detoxification and antioxidant activities. In the cell’s cytoplasm, NRF2, a protein, is anchored by KEAP1, an actin-binding protein. KEAP1, which operates as a Cul3-based E3 ligase, facilitates NRF2’s polyubiquitination, making it a target for degradation by proteasomes. However, when exposed to oxidative stress (OS) or electrophilic agents that react with KEAP1, NRF2 becomes stabilized, accumulates in the nucleus, and pairs with small MAF proteins. This complex then binds to the ARE, prompting the expression of detoxification and antioxidant genes such as GCLC, HO-1, and NQO1 []. Various studies have highlighted that natural compounds, including alkaloids, can enhance the NRF2-mediated antioxidant pathway, which is essential for ND prevention []. In light of this, we evaluated the impact of alkaloid extracts on the gene expression of GCLC, HO-1, NRF2, NQO1, and KEAP1 in PC-12 cells subjected to OS via H2O2 using qRT-PCR. Notably, in the H2O2 group, the expression of GCLC, HO-1, NRF2, and NQO1 genes diminished significantly compared to controls (p < 0.05). Alkaloid extracts, based on their concentrations, markedly reversed this suppression (p < 0.05). Meanwhile, H2O2 exposure led to a notable rise in KEAP1 gene expression (p < 0.05), which the alkaloid extracts managed to reduce, depending on their concentration (p < 0.05). The effectiveness of the alkaloid concentrations ranked as 500 µg/mL > 250 µg/mL > 100 µg/mL. The influence of the solvents depended on gene expression levels, with chloroform predominantly affecting NRF2 and KEAP1 and methanol affecting GCLC, HO-1, and NQO1. Among the affected genes, the sequence was NRF2 > NQO1 > KEAP1 > GCLC > HO-1 (illustrated in Figure 6). Corroborating our findings, Luo et al. [] and Ying et al. [] observed that H2O2 curtailed the expression of GCLC, HO-1, NRF2, and NQO1, while amplifying KEAP1 expression. Bao et al. [] detailed how the fangchinoline alkaloid bolstered NRF2 and HO-1 protein expression in OS-challenged HT22 cells while also suppressing KEAP1 at the mRNA and protein levels. Similarly, Wang et al. [] demonstrated the dauricine alkaloid’s regulatory impact on KEAP1 and NRF2 proteins, both vital for NRF2 activation in a specific cellular model. Our research corroborates previous findings, indicating that our alkaloid extracts influence the NRF2 signaling pathway. Specifically, these extracts appear to inhibit the activity of KEAP1, the inhibitory protein responsible for suppressing NRF2. By preventing the binding between NRF2 and KEAP1, our alkaloid extracts permit the activation of NRF2. This activated NRF2, in turn, amplifies the expression of pivotal antioxidant enzymes, including GCLC, HO-1, and NQO1. Such enhanced expression provides robust defense mechanisms against oxidative stress, particularly the type induced by H2O2. This understanding broadens the scope of potential therapeutic applications of alkaloid extracts in managing oxidative stress-related conditions.

 
      
    
    Figure 6.
      The expression levels of the genes GCLC, HO-1, NRF2, NQO1, and KEAP1 (H2O2: Hydrogen peroxide, CAE: Chloroform alkaloid extract, MAE: Methanol alkaloid extract, WAE: Water alkaloid extract). The figures were presented as mean ± SD. Tukey’s test was used in the case of p < 0.05. # Significantly different from the control (n: 3 for each bar). * Significantly different from the H2O2 (n: 3 for each bar).
  
3.8. Molecular Docking Analyses
In a prior study, we employed GC-MS to identify the alkaloid compositions in chloroform, methanol, and water alkaloid extracts. These components were identified as isoquinoline alkaloids, specifically allocryptopine (the primary alkaloid), tetrahydropalmatine, and tetrahydroberberine N-oxide (also known as trans-cannadine-N-oxide) []. With this knowledge, we performed molecular docking studies to examine the potential interactions of these alkaloids from the different extracts with specific target proteins, namely GCLC, HO-1, KEAP1, NRF2, and NQO1. The results of these molecular docking analyses are presented in Table 3. The Vina score is an empirical scoring method that takes into account a range of factors, including Gaussian steric interaction terms, a repulsion term, hydrophobic and hydrogen-bond interactions, and an entropy term related to the count of rotatable bonds []. The Gibbs binding energy between a ligand and its target protein becomes more favorable as the Vina score becomes more negative, indicating a stronger binding potential. Contact residues and bonds indicate the amino acids and structural connections between ligands and their target proteins. Hydrogen bond interactions are depicted with teal dotted lines, electrostatic interactions with yellow dotted lines, and hydrophobic interactions with grey dotted lines []. According to our docking results, allocryptopine displayed the binding affinity in the order of NQO1 > NRF2 > KEAP1 = HO-1 > GCLC. For tetrahydropalmatine, the binding preference was NQO1 > NRF2 > KEAP1 > GCLC > HO-1. The binding pattern for tetrahydroberberine N-oxide (trans-cannadine-N-oxide) was NQO1 > GCLC > KEAP1 > NRF2 > HO-1. These findings suggest that the alkaloids exhibit strong binding potentials with the target proteins and may exert effects via interactions with these proteins. It is also noteworthy that the influence of the alkaloid extracts on the expression levels of the GCLC, HO-1, NRF2, NQO1, and KEAP1 genes mirrors the binding potential of the ligands (allocryptopine, tetrahydropalmatine, and tetrahydroberberine N-oxide) to these target proteins. As of now, there is no existing research documenting the binding affinity between these specific ligands and target proteins.
 
       
    
    Table 3.
    Molecular docking results of ligands and target proteins.
  
Isoquinoline alkaloids in alkaloid extracts appear to inhibit the activity of KEAP1, the inhibitory protein responsible for suppressing NRF2. The order of action of alkaloids on KEAP is tetrahydropalmatine > allocryptopine > tetrahydroberberine N-oxide (Trans-cannadine-N-oxide). By preventing the binding between NRF2 and KEAP1, our isoquinoline alkaloids in alkaloid extracts permit the activation of NRF2. The order of action of alkaloids on NRF2 is tetrahydroberberine N-oxide (Trans-cannadine-N-oxide) > tetrahydropalmatine > allocryptopine. This activated NRF2, in turn, amplifies the expression of pivotal antioxidant enzymes, including GCLC, HO-1, and NQO1. The order of action of alkaloids on GCLC is tetrahydroberberine N-oxide (Trans-cannadine-N-oxide) > allocryptopine > tetrahydropalmatine. The order of action of alkaloids on HO-1 and NQO1 is allocryptopine > tetrahydropalmatine > tetrahydroberberine N-oxide (Trans-cannadine-N-oxide).
4. Conclusions
Based on our research findings, the alkaloid extracts from G. grandiflorum, specifically from chloroform, methanol, and water sources that are rich in isoquinoline alkaloids (such as allocryptopine, tetrahydropalmatine, and tetrahydroberberine N-oxide or trans-cannadine-N-oxide) offer a plant-derived therapeutic strategy for mitigating the effects of H2O2-induced oxidative stress (OS). This type of OS plays a pivotal role in the underlying mechanisms of many neurodegenerative diseases (NDs). These G. grandiflorum extracts combat H2O2-induced OS via various means; they demonstrate antioxidant properties, as evidenced by activities such as metal ion chelation, DPPH radical neutralization, lipid peroxidation inhibition, hydroxyl radical scavenging, and superoxide anion radical scavenging. Additionally, they help maintain a balance of TDH and the TOS/TAS/OSI parameters, boost the activities of antioxidant enzymes such as PON-1, SOD, CAT, and GPx, and influence the expression of key genes (GCLC, HO-1, NRF2, NQO1, and KEAP1) that are central to the OS-related NRF2-KEAP1 pathway.
Author Contributions
Conceptualization, S.Ş., S.N.D. and B.A.; methodology, S.Ş., S.N.D. and B.A.; investigation, S.Ş., S.N.D. and B.A.; resources, S.Ş., S.N.D. and B.A.; data curation, S.Ş., S.N.D. and B.A.; writing—original draft preparation, S.Ş., S.N.D. and B.A.; writing—review and editing, S.Ş., S.N.D. and B.A.; visualization, S.Ş., S.N.D. and B.A.; supervision, S.Ş., S.N.D. and B.A. All authors have read and agreed to the published version of the manuscript.
Funding
This study was granted a financial fund by the Scientific and Technological Research Council of Turkey (TUBITAK) (Grant number 116S299).
Institutional Review Board Statement
Not applicable.
Informed Consent Statement
Not applicable.
Data Availability Statement
The data presented in this study are available upon request from the corresponding author.
Conflicts of Interest
The authors declare no conflict of interest. The funders had no role in the design of the study; in the collection, analyses, or interpretation of data; in the writing of the manuscript; or in the decision to publish the results.
References
- Leyane, T.S.; Jere, S.W.; Hourel, N.N. Oxidative stress in ageing and chronic degenerative pathologies: Molecular mechanisms involved in counteracting oxidative stress and chronic inflammation. Int. J. Mol. Sci. 2022, 23, 7273. [Google Scholar] [CrossRef] [PubMed]
- Dogan, R.; Guler, E.M.; Kocyigit, A.; Çelik, İ.; Senturk, E.; Yenigun, A.; Tugrul, S.; Ozturan, O. Are the oxidative stress levels in the tumor center and tumor boundary different from those in healthy tissue? Eur. Arch. Oto-Rhino-L. 2021, 278, 5013–5020. [Google Scholar] [CrossRef]
- Juan, C.A.; Pérez de la Lastra, J.M.; Plou, F.J.; Pérez-Lebeña, E. The chemistry of reactive oxygen species (ROS) revisited: Outlining their role in biological macromolecules (DNA, lipids and proteins) and induced pathologies. Int. J. Mol. Sci. 2021, 22, 4642. [Google Scholar] [CrossRef] [PubMed]
- Korkmaz, H.; Deveci, C.D.; Alışık, M.; Korkmaz, V.; Kurdoğlu, Z.; Erel, Ö.; Üstün, Y. How do thiol disulfide balance and copper-ceruloplasmin levels change in women using copper intrauterine devices? Gynecol. Endocrinol. 2022, 38, 689–692. [Google Scholar] [CrossRef] [PubMed]
- Arroyave-Ospina, J.C.; Wu, Z.; Geng, Y.; Moshage, H. Role of oxidative stress in the pathogenesis of non-alcoholic fatty liver disease: Implications for prevention and therapy. Antioxidants 2021, 10, 174. [Google Scholar] [CrossRef] [PubMed]
- Ustay, O. Paraoksanaz-1 enzimi ve koroner kalp hastalıkları ile ilişkisi. Marmara Med. J. 2011, 24, 59–63. [Google Scholar]
- Jurcau, A. Insights into the pathogenesis of neurodegenerative diseases: Focus on mitochondrial dysfunction and oxidative stress. Int. J. Mol. Sci. 2021, 22, 11847. [Google Scholar] [CrossRef] [PubMed]
- Palumbo, M.L.; Moroni, A.D.; Quiroga, S.; Castro, M.M.; Burgueño, A.L.; Genaro, A.M. Immunomodulation induced by central nervous system-related peptides as a therapeutic strategy for neurodegenerative disorders. Pharmacol. Res. Perspect. 2021, 9, e00795. [Google Scholar] [CrossRef]
- Pohl, F.; Kong Thoo Lin, P. The potential use of plant natural products and plant extracts with antioxidant properties for the prevention/treatment of neurodegenerative diseases: In vitro, in vivo and clinical trials. Molecules 2018, 23, 3283. [Google Scholar] [CrossRef] [PubMed]
- Allafchian, A.R.; Jalali, S.A.H.; Aghaei, F.; Farhang, H.R. Green synthesis of silver nanoparticles using Glaucium corniculatum (L.) Curtis extract and evaluation of its antibacterial activity. IET Nanobiotechnol. 2018, 12, 574–578. [Google Scholar] [CrossRef]
- Lixia, H.; Jun, C.; Song, H.; FaHu, Y.; Jinwen, T. Neuroprotective effect of (-)-tetrahydropalmatine in Japanese encephalitis virus strain GP-78 infected mouse model. Microb. Pathog. 2018, 114, 197–203. [Google Scholar] [CrossRef]
- Nigdelioglu Dolanbay, S.; Kocanci, F.G.; Aslim, B. Neuroprotective effects of allocryptopine-rich alkaloid extracts against oxidative stress-induced neuronal damage. Biomed. Pharmacother. 2021, 140, 111690. [Google Scholar] [CrossRef]
- Qu, Z.; Zhang, J.; Yang, H.; Huo, L.; Gao, J.; Chen, H.; Gao, W. Protective effect of tetrahydropalmatine against D-galactose induced memory impairment in rat. Physiol. Behav. 2016, 154, 114–125. [Google Scholar] [CrossRef] [PubMed]
- Ahmed, F.; Ghalib, R.M.; Sasikala, P.; Mueen Ahmed, K.K. Cholinesterase inhibitors from botanicals. Pharmacogn. Rev. 2013, 7, 21–30. [Google Scholar] [CrossRef] [PubMed]
- Kocanci, F.; Hamamcioglu, B.; Aslım, B. The anti-AChE and anti-proliferative activities of Glaucium acutidentatum and Glaucium corniculatum alkaloid extracts. J. Appl. Pharm. Sci. 2017, 7, 191–200. [Google Scholar] [CrossRef]
- Das, A.; Shanker, G.; Nath, C.; Pal, R.; Singh, S.; Singh, H.K. A comparative study in rodents of standardized extracts of Bacopa monniera and Ginkgo biloba anticholinesterase and cognitive enhancing activities. Pharmacol. Biochem. Behav. 2002, 73, 893–900. [Google Scholar] [CrossRef]
- Kocanci, F.G.; Hamamcioglu, B.; Aslim, B. The relationship between neuroprotective activity and antigenotoxic and acetylcholinesterase inhibitory effects of Glaucium corniculatum extracts. Braz. J. Pharm. Sci. 2022, 58, e19472. [Google Scholar] [CrossRef]
- Kocanci, F.G.; Aslim, B. Chemical composition and neurotherapeutic potential of Glaucium corniculatum extracts. Pharmacogn. Mag. 2021, 17, 67. [Google Scholar] [CrossRef]
- Mehta, M.; Adem, A.; Sabbagh, M. New acetylcholinesterase inhibitors for Alzheimer’s disease. Int. J. Alzheimers Dis. 2012, 2012, 728983. [Google Scholar] [CrossRef]
- Orhan, I.; Şener, B.; Choudhary, M.I.; Khali, A. Acetylcholinesterase and butyrylcholinesterase inhibitory activity of some Turkish medicinal plants. J. Ethnopharmacol. 2004, 91, 57–60. [Google Scholar] [CrossRef]
- Perry, N.S.; Houghton, P.G.; Sampson, J.; Theolad, A.E.; Hart, S.; Lis-balchin, M.; Hoult, J.R.; Evans, P.; Jenner, P.; Perry, E.K. In vitro activities of Salvia lavandulaefolia (Spanish Sage) relevant to treatment of Alzheimer’s disease. J. Pharm. Pharmacol. 2001, 53, 1347–1356. [Google Scholar] [CrossRef]
- Perry, N.S.; Houghton, P.G.; Theolad, A.E.; Jenner, P.; Perry, E.K. In vitro inhibition of human erythrocyte acetylcholinesterase by Salvia lavandulaefolia essential oil and constituent terpenes. J. Pharm. Pharmacol. 2000, 52, 895–902. [Google Scholar] [CrossRef]
- Majd, A.; Mehrabian, S.; Khanafari, A. Evaluating antimicrobial effect of Glaucium on oral microflora. Int. J. Dent. Med. 1996, 9, 57–66. [Google Scholar]
- Miroliaei, M.; Zahmatkesh, M. Histopathological evaluation of wound healing by extracts from Glaucium corniculatum (L.) Curt. Cell. Mol. Res. 2018, 31, 58–66. [Google Scholar]
- PC-12, CRL-1721™. Available online: https://www.atcc.org/products/crl-1721 (accessed on 18 September 2023).
- Khamtache-Abderrahim, S.; Lequart-Pillon, M.; Gontier, E.; Gaillard, I.; Pilard, S.; Mathiron, D.; Djoudad-Kadji, H.; Maiza-Benabdesselam, F. Isoquinoline alkaloid fractions of Fumaria officinalis: Characterization and evaluation of their antioxidant and antibacterial activities. Ind. Crops Prod. 2016, 94, 1001–1008. [Google Scholar] [CrossRef]
- Sarikaya, B.B.; Somer, N.U.; Kaya, G.I.; Onur, M.A.; Bastida, J.; Berkov, S. GC-MS investigation and acetylcholinesterase inhibitory activity of Galanthus rizehensis. Z. Naturforsch C 2013, 68, 118–124. [Google Scholar] [CrossRef] [PubMed]
- Ajanal, M.; Gundkalle, M.B.; Nayak, S.U. Estimation of total alkaloid in Chitrakadivati by UV-spectrophotometer. Anc. Sci. Life 2012, 31, 198–201. [Google Scholar] [CrossRef] [PubMed]
- John, B.; Sulaiman, C.T.; George, S.; Reddy, V.R.K. Spectrophotometric estimation of total alkaloids in selected Justicia species. Int. J. Pharm. Pharm. Sci. 2014, 6, 647–648. [Google Scholar]
- Decker, E.A.; Welch, B. Role of ferritin as a lipid oxidation catalyst in muscle food. J. Agric. Food. Chem. 1990, 38, 674–677. [Google Scholar] [CrossRef]
- Oke, F.; Aslim, B.; Ozturk, S.; Altunda, S. Essential oil composition, antimicrobial and antioxidant activities of Satureja cuneifolia Ten. Food Chem. 2009, 112, 874–879. [Google Scholar] [CrossRef]
- Brand-Williams, W.; Cuvelier, M.E.; Berset, C.L.W.T. Use of a free radical method to evaluate antioxidant activity. LWT-Food Sci. Technol. 1995, 28, 25–30. [Google Scholar] [CrossRef]
- Rodriguez-Martinez, M.A.; Ruiz-Torres, A. Homeostasis between lipid peroxidation and antioxidant enzyme activities in healthy human aging. Mech. Ageing Dev. 1992, 66, 213–222. [Google Scholar] [CrossRef]
- Leung, R.; Venus, C.; Zeng, T.; Tsopmo, A. Structure-function relationships of hydroxyl radical scavenging and chromium-VI reducing cysteine-tripeptides derived from rye secalin. Food Chem. 2018, 254, 165–169. [Google Scholar] [CrossRef]
- Xiao, R.; Ma, J.; Luo, Z.; Zeng, W.; Wei, Z.; Spinney, R.; Hu, W.P.; Dionysiou, D.D. Experimental and theoretical insight into hydroxyl and sulfate radicals-mediated degradation of carbamazepine. Environ. Pollut. 2020, 257, 113498. [Google Scholar] [CrossRef] [PubMed]
- Ye, Z.; Wang, W.; Yuan, Q.; Ye, H.; Sun, Y.; Zhang, H.; Zeng, X. Box–Behnken design for extraction optimization, characterization and in vitro antioxidant activity of Cicer arietinum L. hull polysaccharides. Carbohydr. Polym. 2016, 147, 354–364. [Google Scholar] [CrossRef] [PubMed]
- Kolla, N.; Wei, Z.; Richardson, J.S.; Li, X.M. Amitriptyline and fluoxetine protect PC12 cells from cell death induced by hydrogen peroxide. J. Psychiatry. Neurosci. 2005, 30, 196–201. [Google Scholar]
- Shen, K.; Wang, Y.; Zhang, Y.; Zhou, H.; Song, Y.; Cao, Z.; Kou, J.; Yu, B. Cocktail of four active components derived from Sheng Mai San inhibits hydrogen peroxide-induced PC12 cell apoptosis linked with the caspase-3/ROCK1/MLC pathway. Rejuvenation Res. 2015, 18, 517–527. [Google Scholar] [CrossRef]
- Wu, Y.; Shang, Y.; Sun, S.; Liang, H.; Liu, R. Erythropoietin prevents PC12 cells from 1-methyl-4-phenylpyridinium ion-induced apoptosis via the Akt/GSK-3β/caspase-3 mediated signaling pathway. Apoptosis 2007, 12, 1365–1375. [Google Scholar] [CrossRef]
- Kumar, S.; Seal, C.J.; Howes, M.J.R.; Kite, G.C.; Okello, E.J. In vitro protective effects of Withania somnifera (L.) dunal root extract against hydrogen peroxide and β-amyloid (1–42)-induced cytotoxicity in differentiated PC12 cells. Phytother. Res. 2010, 24, 1567–1574. [Google Scholar] [CrossRef]
- Xian, Y.F.; Lin, Z.X.; Mao, Q.Q.; Ip, S.P.; Su, Z.R.; Lai, X.P. Protective effect of isorhynchophylline against β-amyloid-induced neurotoxicity in PC12 cells. Cell Mol. Neurobiol. 2012, 32, 353–360. [Google Scholar] [CrossRef]
- Kim, E.; Jeon, I.S.; Kim, J.W.; Kim, J.; Jung, H.S.; Lee, S.J. An MTT-based method for quantification of periodontal ligament cell viability. Oral Dis. 2017, 13, 495–499. [Google Scholar] [CrossRef]
- Neshatia, V.; Matin, M.M.; Iranshahi, M.; Bahrami, A.R.; Behravan, J.; Mollazadeh, S.; Rassouli, F.B. Cytotoxicity of vincristine on the 5637 cell line is enhanced by combination with conferone. Z. Für Naturforschung C 2009, 64, 317–322. [Google Scholar] [CrossRef] [PubMed]
- Erel, O.; Neselioglu, S. A novel and automated assay for thiol/disulphide homeostasis. Clin. Biochem. 2014, 47, 326–332. [Google Scholar] [CrossRef] [PubMed]
- Erel, O. A new automated colorimetric method for measuring total oxidant status. Clin. Biochem. 2005, 38, 1103–1111. [Google Scholar] [CrossRef] [PubMed]
- Küçükgül, A. The antioxidant effects of Ziziphus jujuba on neurodegeneration. J. Am. Vet. Med. 2016, 27, 108–112. [Google Scholar] [CrossRef]
- Erel, O. A novel automated direct measurement method for total antioxidant capacity using a new generation, more stable ABTS radical cation. Clin. Biochem. 2004, 37, 277–285. [Google Scholar] [CrossRef]
- Yumru, M.; Savas, H.A.; Kalenderoglu, A.; Bulut, M.; Celik, H.; Erel, O. Oxidative imbalance in bipolar disorder subtypes: A comparative study. Prog. Neuropsychopharmacol. 2009, 33, 1070–1074. [Google Scholar] [CrossRef]
- Ustunova, S.; Meral, I.; Koçyiğit, A.; Kilic, A.; Zeybek, O.; Üyüklü, M.; Meydan, S. Effects of Nigella sativa on plasma oxidative stress, and some apoptotic protein markers in cerebrum and hippocampus in pentylenetetrazol induced-kindling rats. Eur. J. Biol. 2020, 79, 124–131. [Google Scholar]
- Wu, H.; Xuan, R.; Li, Y.; Zhang, X.; Wang, Q.; Wang, L. Effects of cadmium exposure on digestive enzymes, antioxidant enzymes, and lipid peroxidation in the freshwater crab Sinopotamon henanense. Environ. Sci. Pollut. Res. 2013, 20, 4085–4092. [Google Scholar] [CrossRef]
- Moharana, M.; Pattanayak, S.K.; Khan, F. Molecular recognition of bio-active triterpenoids from Swertia chirayita towards hepatitis delta antigen: A mechanism through docking, dynamics simulation, Gibbs free energy landscape. J. Biomol. Struct. Dyn. 2023, 1, 1–14. [Google Scholar] [CrossRef]
- Boeing, J.S.; Barizão, É.O.; e Silva, B.C.; Montanher, P.F.; de Cinque Almeida, V.; Visentainer, J.V. Evaluation of solvent effect on the extraction of phenolic compounds and antioxidant capacities from the berries: Application of principal component analysis. Chem. Cent. J. 2014, 8, 48. [Google Scholar] [CrossRef] [PubMed]
- Wu, S.; Sun, C.; Cao, X.; Zhou, H.; Zhang, H.; Pan, Y. Preparative counter-current chromatography isolation of liensinine and its analogues from embryo of the seed of Nelumbo nucifera GAERTN. using upright coil planet centrifuge with four multilayer coils connected in series. J. Chromatogr. A 2004, 1041, 153–162. [Google Scholar] [CrossRef]
- Rachmaniah, O.; Wilson, E.G.; Choi, Y.H.; Witkamp, G.J.; Verpoorte, R. Pressurized natural deep eutectic solvent extraction of galanthamine and related alkaloids from Narcissus pseudonarcissus. Planta Med. 2022, 88, 814–825. [Google Scholar] [CrossRef]
- Doncheva, T.; Kostova, N.; Yordanova, G.; Saadi, H.; Akrib, F.; Dimitrov, D.; Philipov, S. Comparison of alkaloid profile from Glaucium corniculatum (Papaveraceae) of Algerian and Bulgarian origin. Biochem. Syst. Ecol. 2014, 56, 278–280. [Google Scholar] [CrossRef]
- Hashim, F.J.; Vichitphan, S.; Boonsiri Vichitphan, K. Neuroprotective assessment of Moringa oleifera leaves extract against oxidative-stress-induced cytotoxicity in SHSY5Y neuroblastoma cells. Plants 2021, 10, 889. [Google Scholar] [CrossRef]
- Ureña-Vacas, I.; González-Burgos, E.; Divakar, P.K.; Gómez-Serranillos, M.P. Lichen extracts from Cetrarioid clade provide neuroprotection against hydrogen peroxide-induced oxidative stress. Molecules 2022, 27, 6520. [Google Scholar] [CrossRef]
- Rojas, J.; Buitrago, A. Antioxidant activity of phenolic compounds biosynthesized by plants and its relationship with prevention of neurodegenerative diseases. In Bioactive Compounds; Woodhead Publishing: Cambridge, UK, 2019; pp. 3–31. [Google Scholar] [CrossRef]
- Pottera, O.M. Antioxidants and free radical scavengers of natural origin. Curr. Org. Chem. 1997, 1, 415–440. [Google Scholar] [CrossRef]
- Dung, N.T.; Thanh, D.M.; Huong, N.T.; Thuy, P.T.; Hoan, N.T.; Thanh, D.T.M.; Trang, N.V.; Son, N.T. Quinolone and isoquinolone alkaloids: The structural-electronic effects and the antioxidant mechanisms. Struct. Chem. 2020, 31, 2435–2450. [Google Scholar] [CrossRef]
- Macáková, K.; Afonso, R.; Saso, L.; Mladěnka, P. The influence of alkaloids on oxidative stress and related signaling pathways. Free Radic. Biol. Med. 2019, 134, 429–444. [Google Scholar] [CrossRef] [PubMed]
- Jang, M.H.; Kim, H.Y.; Kang, K.S.; Yokozawa Park, J.H. Hydroxyl radical scavenging activities of isoquinoline alkaloids isolated from Coptis chinensis. Arch. Pharm. Res. 2009, 32, 341–345. [Google Scholar] [CrossRef] [PubMed]
- Shirwaikar, A.; Shirwaikar, A.; Rajendran, K.; Punitha, I.S.R. In vitro antioxidant studies on the benzyl tetra isoquinoline alkaloid berberine. Biol. Pharm. Bull. 2006, 29, 1906–1910. [Google Scholar] [CrossRef] [PubMed]
- Rackova, L.; Oblozinsky, M.; Kostalova, D.; Kettmann, V.; Bezakova, L. Free radical scavenging activity and lipoxygenase inhibition of Mahonia aquifolium extract and isoquinoline alkaloids. J. Inflamm. 2007, 4, 15. [Google Scholar] [CrossRef]
- Takahashi, S.; Matsunaga, T.; Hasegawa, C.; Saito, H.; Fujita, D.; Kiuchi, F.; Tsuda, Y. Martefragin A, a novel indole alkaloid isolated from red alga, inhibits lipid peroxidation. Chem. Pharm. Bull. 1998, 46, 1527–1529. [Google Scholar] [CrossRef]
- Song, Q.; Liu, J.; Dong, L.; Wang, X.; Zhang, X. Novel advances in inhibiting advanced glycation end product formation using natural compounds. Biomed. Pharmacother. 2021, 140, 111750. [Google Scholar] [CrossRef]
- Zhang, J.; Yao, J.; Peng, S.; Li, X.; Fang, J. Securinine disturbs redox homeostasis and elicits oxidative stress-mediated apoptosis via targeting thioredoxin reductase. Biochim. Biophys. Acta Mol. Basis. Dis. 2017, 1863, 129–138. [Google Scholar] [CrossRef] [PubMed]
- Matsuura, H.N.; Rau, M.R.; Fett-Neto, A.G. Oxidative stress and production of bioactive monoterpene indole alkaloids: Biotechnological implications. Biotechnol. Lett. 2014, 36, 191–200. [Google Scholar] [CrossRef]
- Derosa, G.; Maffioli, P. Alkaloids in the nature: Pharmacological applications in clinical practice of berberine and mate tea. Curr. Top. Med. Chem. 2014, 14, 200–206. [Google Scholar] [CrossRef] [PubMed]
- Fakhri, S.; Pesce, M.; Patruno, A.; Moradi, S.Z.; Iranpanah, A.; Farzaei, M.H.; Sobarzo-Sánchez, E. Attenuation of Nrf2/Keap1/ARE in Alzheimer’s disease by plant secondary metabolites: A mechanistic review. Molecules 2020, 25, 4926. [Google Scholar] [CrossRef] [PubMed]
- Nigdelioglu Dolanbay, S.; Şirin, S.; Aslim, B. Cocktail of three isoquinoline alkaloids derived from Glaucium grandiflorum Boiss. & A. Huet subsp. refractum (Nábelek) Mory inhibits the production of LPS-induced ROS, pro-inflammatory cytokines, and mediators through the down-regulation of p38 MAPK in BV-2 cells. Fitoterapia 2023, 170, 105652. [Google Scholar] [CrossRef]
- Tufan, Z.K.; Hasanoglu, I.; Kolgelier, S.; Alisik, M.; Ergin, M.; Yilmaz, G.R.; Tasyaran, M.A.; Erel, O.; Guner, R. A retrospective controlled study of thiol disulfide homeostasis as a novel marker in Crimean Congo hemorrhagic fever. Redox Rep. 2017, 22, 241–245. [Google Scholar] [CrossRef] [PubMed]
- Requejo, R.; Hurd, T.R.; Costa, N.J.; Murphy, M.P. Cysteine residues exposed on protein surfaces are the dominant intramitochondrial thiol and may protect against oxidative damage. FEBS J. 2010, 277, 1465–1480. [Google Scholar] [CrossRef]
- Puri, S.; Hsu, S.T.D. Cross-over loop cysteine C152 acts as an antioxidant to maintain the folding stability and deubiquitinase activity of UCH-L1 under oxidative stress. J. Mol. Biol. 2021, 433, 166879. [Google Scholar] [CrossRef] [PubMed]
- Gumusyayla, S.; Vural, G.; Bektas, H.; Deniz, O.; Neselioglu, S.; Erel, O. A novel oxidative stress marker in patients with Alzheimer’s disease: Dynamic thiol–disulphide homeostasis. Acta Neuropsychiatr. 2016, 28, 315–320. [Google Scholar] [CrossRef] [PubMed]
- Martins, E.N.; Pessano, N.T.; Leal, L.; Roos, D.H.; Folmer, V.; Punte, G.O.; Rocha, J.B.T.; Aschner, M.; Avila, D.S.; Puntel, R.L. Protective effect of Melissa officinalis aqueous extract against Mn-induced oxidative stress in chronically exposed mice. Brain Res. Bull. 2012, 87, 74–79. [Google Scholar] [CrossRef] [PubMed]
- Sharma, P.; Verma, P.K.; Sood, S.; Pankaj, N.K.; Agarwal, S.; Rain, R. Neuroprotective potential of hydroethanolic hull extract of Juglans regia L. on isoprenaline induced oxidative damage in brain of Wistar rats. Toxicol. Rep. 2021, 8, 223–229. [Google Scholar] [CrossRef] [PubMed]
- Adamczyk, B.; Adamczyk-Sowa, M. New insights into the role of oxidative stress mechanisms in the pathophysiology and treatment of multiple sclerosis. Oxid. Med. Cell. Longev. 2016, 2016, 1973834. [Google Scholar] [CrossRef] [PubMed]
- Özyiğit, F.; Değer, A.; Altıkat, S.; Zeren, S.; Bayhan, Z.; Kavasoğlu, M.; Şimşek, H.; Arık, Ö.; Değer, H. Dalak iskemi reperfüzyon hasarı oluşturulan sıçanlarda polydatin’in koruyucu etkisi. In Proceedings of the Turkish Society of Physiological Sciences 42nd National Physiology Congress, Düzce, Turkey, 5–8 September 2016; Volume 218, pp. 34–35. [Google Scholar]
- Arikanoglu, A.; Akil, E.; Varol, S.; Yucel, Y.; Yuksel, H.; Cevik, M.U.; Palanci, Y.; Unan, F. Relationship of cognitive performance with prolidase and oxidative stress in Alzheimer disease. Neurol. Sci. 2013, 34, 2117–2121. [Google Scholar] [CrossRef]
- Copoglu, U.S.; Virit, O.; Kokacya, M.H.; Orkmez, M.; Bulbul, F.; Erbagci, A.B.; Semiz, M.; Alpak, G.; Unal, A.; Ari, M.; et al. Increased oxidative stress and oxidative DNA damage in non-remission schizophrenia patients. Psychiatry. Res. 2015, 229, 200–205. [Google Scholar] [CrossRef] [PubMed]
- Koolen, H.H.; Pral, E.M.; Alfieri, S.C.; Marinho, J.V.; Serain, A.F.; Hernández-Tasco, A.J.; Andreazza, N.L.; Salvador, M.J. Antiprotozoal and antioxidant alkaloids from Alternanthera littoralis. Phytochemistry 2017, 134, 106–113. [Google Scholar] [CrossRef] [PubMed]
- Račková, L.; Májeková, M.; Koštálová, D.; Štefek, M. Antiradical and antioxidant activities of alkaloids isolated from Mahonia aquifolium. Structural aspects. Bioorg. Med. Chem. 2004, 12, 4709–4715. [Google Scholar] [CrossRef]
- Hasanein, P.; Ghafari-Vahed, M.; Khodadadi, I. Effects of isoquinoline alkaloid berberine on lipid peroxidation, antioxidant defense system, and liver damage induced by lead acetate in rats. Redox Rep. 2017, 22, 42–50. [Google Scholar] [CrossRef] [PubMed]
- Kaur, R.; Arora, S. Alkaloids-important therapeutic secondary metabolites of plant origin. J. Crit. Rev. 2015, 2, 1–8. [Google Scholar]
- Kazaz, I.O.; Mentese, A.; Demir, S.; Kerimoglu, G.; Colak, F.; Bodur, A.; Alver, A.; Kutlu, O.; Turedi, S. Berberine inhibits the ischemia-reperfusion induced testicular injury through decreasing oxidative stress. Am. J. Emerg. Med. 2020, 38, 33–37. [Google Scholar] [CrossRef]
- Colovic, M.B.; Vasic, V.M.; Djuric, D.M.; Krstic, D.Z. Sulphur-containing amino acids: Protective role against free radicals and heavy metals. Curr. Med. Chem. 2018, 25, 324–335. [Google Scholar] [CrossRef] [PubMed]
- Reiter, R.J.; Tan, D.X.; Osuna, C.; Gitto, E. Actions of melatonin in the reduction of oxidative stress: A review. J. Biomed. Sci. 2000, 7, 444–458. [Google Scholar] [CrossRef] [PubMed]
- Muzykantov, V.R. Delivery of antioxidant enzyme proteins to the lung. Antioxid. Redox Signal. 2001, 3, 39–62. [Google Scholar] [CrossRef] [PubMed]
- Sekhar, K.R.; Hanna, D.N.; Cyr, S.; Baechle, J.J.; Kuravi, S.; Balusu, R.; Rathmell, K.; Baregamian, N. Glutathione peroxidase 4 inhibition induces ferroptosis and mTOR pathway suppression in thyroid cancer. Sci. Rep. 2022, 12, 19396. [Google Scholar] [CrossRef] [PubMed]
- Mao, P. Oxidative stress and its clinical applications in dementia. J. Neurodegener. Dis. 2013, 2013, PMC4437276. [Google Scholar] [CrossRef]
- Romani, A.; Trentini, A.; van der Flier, W.M.; Bellini, T.; Zuliani, G.; Cervellati, C.; Teunissen, C.E. Arylesterase activity of paraoxonase-1 in serum and cerebrospinal fluid of patients with Alzheimer’s disease and vascular dementia. Antioxidants 2020, 9, 456. [Google Scholar] [CrossRef]
- Vural, H.; Demirin, H.; Kara, Y.; Eren, I.; Delibas, N. Alterations of plasma magnesium, copper, zinc, iron and selenium concentrations and some related erythrocyte antioxidant enzyme activities in patients with Alzheimer’s disease. J. Trace Elem. Med. Biol. 2010, 24, 169–173. [Google Scholar] [CrossRef] [PubMed]
- Ezabadi, A.; Peeri, M.; Azarbayjani, M.A.; Hosseini, S.A. The effects of resistance training and berberine chloride supplementation on oxidative stress markers in the cerebellum tissue of diazinon-poisoned rats. Middle East J. Rehabil. Health Stud. 2019, 6, 92870. [Google Scholar] [CrossRef]
- Jia, W.; Su, Q.; Cheng, Q.; Peng, Q.; Qiao, A.; Luo, X.; Zhang, J.; Wang, Y. Neuroprotective effects of palmatine via the enhancement of antioxidant defense and small heat shock protein expression in Aβ-transgenic caenorhabditis elegans. Oxid. Med. Cell Longev. 2021, 2021, 9966223. [Google Scholar] [CrossRef]
- Hussein, J.S.; Medhat, D.; Abdel-Latif, Y.; Morsy, S.; Gaafar, A.A.; Ibrahim, E.A.; Al-kashef, A.S.; Nooman, M.U. Amelioration of neurotoxicity induced by esfenvalerate: Impact of Cyperus rotundus L. tuber extract. Comp. Clin. Path. 2021, 30, 1–10. [Google Scholar] [CrossRef]
- Zgorzynska, E.; Dziedzic, B.; Walczewska, A. An overview of the Nrf2/ARE pathway and its role in neurodegenerative diseases. Int. J. Mol. Sci. 2021, 22, 9592. [Google Scholar] [CrossRef]
- Ma, L.; Zhang, B.; Liu, J.; Qiao, C.; Liu, Y.; Li, S.; Lv, H. Isoorientin exerts a protective effect against 6-OHDA-induced neurotoxicity by activating the AMPK/AKT/Nrf2 signalling pathway. Food Func. 2020, 11, 10774–10785. [Google Scholar] [CrossRef] [PubMed]
- Luo, Y.; Ding, H.; Li, D.; Lu, J. Curcumin protects trabecular meshwork cells against hydrogen peroxide-induced oxidative stress and apoptosis via Nrf2-Keap1 pathway. Trop. J. Pharm. Res. 2018, 17, 2169–2176. [Google Scholar] [CrossRef]
- Ying, C.L.Y.; Hao, J.C.; Shang, B.; Zhao, C.; Wang, L.J.; Yang, K.L.; He, X.Z.; Tian, Q.Q.; Wang, Z.L.; Jing, H.L.; et al. Neuroprotective effects of aucubin on hydrogen peroxide-induced toxicity in human neuroblastoma SH-SY5Y cells via the Nrf2/HO-1 pathway. Phytomedicine 2021, 87, 153577. [Google Scholar] [CrossRef]
- Bao, F.; Tao, L.; Zhang, H. Neuroprotective effect of natural alkaloid fangchinoline against oxidative glutamate toxicity: Involvement of keap1-Nrf2 axis regulation. Cell. Mol. Neurobiol. 2019, 39, 1177–1186. [Google Scholar] [CrossRef]
- Wang, L.; Pu, Z.; Li, M.; Wang, K.; Deng, L.; Chen, W. Antioxidative and antiapoptosis: Neuroprotective effects of dauricine in Alzheimer’s disease models. Life Sci. 2020, 243, 117237. [Google Scholar] [CrossRef]
- Gaillard, T. Evaluation of AutoDock and AutoDock Vina on the CASF-2013 benchmark. J. Chem. Inf. Model 2018, 58, 1697–1706. [Google Scholar] [CrossRef]
| Disclaimer/Publisher’s Note: The statements, opinions and data contained in all publications are solely those of the individual author(s) and contributor(s) and not of MDPI and/or the editor(s). MDPI and/or the editor(s) disclaim responsibility for any injury to people or property resulting from any ideas, methods, instructions or products referred to in the content. | 
© 2023 by the authors. Licensee MDPI, Basel, Switzerland. This article is an open access article distributed under the terms and conditions of the Creative Commons Attribution (CC BY) license (https://creativecommons.org/licenses/by/4.0/).















