Prediction of the Moisture Content in Corn Straw Compost Based on Their Dielectric Properties
Abstract
:1. Introduction
2. Materials and Methods
2.1. Sample Preparations
2.2. Temperature Measurement
2.3. Bulk Density Measurement
2.4. Measurement of Dielectric Properties
2.5. Methods of the Prediction Model
2.5.1. Principal Component Analysis
2.5.2. Support Vector Machine
2.5.3. PCA–SVR Coupling Algorithm
3. Results
3.1. Frequency Dependence of the Dielectric Properties of Samples
3.2. Moisture Dependence of the Dielectric Properties of Samples
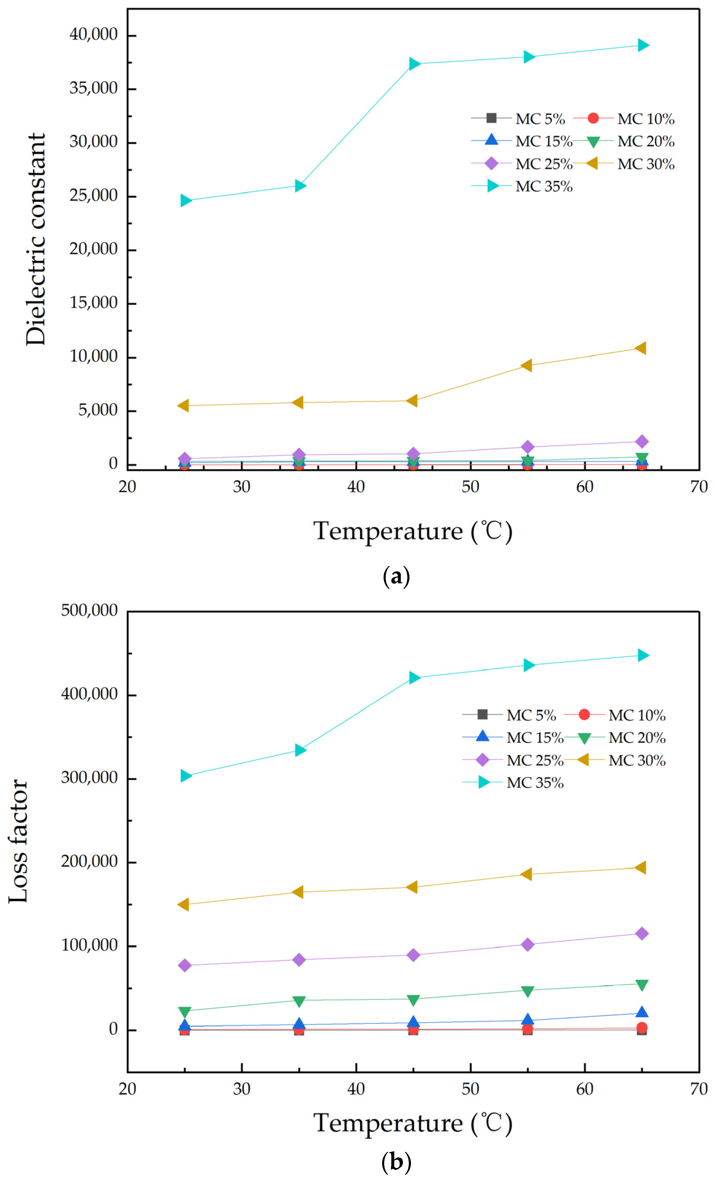
3.3. Temperature Dependence of Dielectric Properties of Samples
3.4. Bulk Density Dependence of the Dielectric Properties of Samples
3.5. Results of Feature Frequency Extraction by PCA
3.6. PCA–SVR Model Prediction Results
4. Discussion
5. Conclusions
Author Contributions
Funding
Institutional Review Board Statement
Informed Consent Statement
Data Availability Statement
Acknowledgments
Conflicts of Interest
References
- Guo, R.; Li, G.; Jiang, T.; Frank, S.; Chen, T.; Zhao, Y.; Shen, Y. Effect of aeration rate, C/N ratio and moisture content on the stability and maturity of compost. Bioresour. Technol. 2012, 112, 171–178. [Google Scholar] [CrossRef] [PubMed]
- Heitkamp, F.; Wendland, M.; Offenberger, K.; Gerold, G. Implications of input estimation, residue quality and carbon saturation on the predictive power of the Rothamsted Carbon Model. Geoderma 2012, 170, 168–175. [Google Scholar] [CrossRef]
- Ren, L.; Cai, C.; Zhang, J.C.; Yang, Y.; Luo, L.; Huang, H.; Zhou, Y.; Qin, P.; Yu, M. Key environmental factors to variation of ammonia-oxidizing archaea community and potential ammonia oxidation rate during agricultural waste composting. Bioresour. Technol. 2018, 270, 278–285. [Google Scholar] [CrossRef] [PubMed]
- Rasapoor, M.; Nasrabadi, T.; Kamali, M.; Hoveidi, H. The effects of aeration rate on generated compost quality, using aerated static pile method. Waste Manag. 2009, 29, 570–573. [Google Scholar] [CrossRef] [PubMed]
- Rich, N.; Bharti, A.; Kumar, S. Effect of bulking agents and cow dung as inoculant on vegetable waste compost quality. Bioresour. Technol. 2017, 252, 83–96. [Google Scholar] [CrossRef]
- Wang, Y.; Ai, P.; Cao, H.; Liu, Z. Prediction of moisture variation during composting process: A comparison of mathematical models. Bioresour. Technol. 2015, 193, 200–205. [Google Scholar] [CrossRef]
- Juan, M.; Kai, J.; Liang, S.; Mengting, W.; Xiaojie, Z.; Enshuai, D. Effects of FeSO4 dosage on nitrogen loss and humification during the composting of cow dung and corn straw. Bioresour. Technol. 2021, 341, 125867. [Google Scholar] [CrossRef]
- Subirats, J.; Murray, R.; Scott, A.; Lau CH, F.; Topp, E. Composting of chicken litter from commercial broiler farms reduces the abundance of viable enteric bacteria, Firmicutes, and selected antibiotic resistance genes. Sci. Total Environ. 2020, 746, 141113. [Google Scholar] [CrossRef]
- Mengchun, G.; Bing, L.; An, Y.; Fangyuan, L.; Lijuan, Y.; Yanxia, S. The effect of aeration rate on forced-aeration composting of chicken manure and sawdust. Bioresour. Technol. 2010, 101, 1899–1903. [Google Scholar] [CrossRef]
- Min, L.; Xia, H.; Jian, T.; Xing, L.; Rui, Z.; Yi, T.; Can, W.; Zhong, P. Influence of moisture content on chicken manure stabilization during microbial agent-enhanced composting. Chemosphere 2021, 264, 128549. [Google Scholar] [CrossRef]
- Chua, H.; Parkinson, G.; Haigh, A.D.; Gibson, A.A. A method of determining the moisture content of bulk wheat grain. J. Food Eng. 2007, 78, 1155–1158. [Google Scholar] [CrossRef]
- Yang, N.; Tang, Y. Detection of moisture content of tomato leaves based on dielectric properties and IRIV-GWO-SVR algorithm. Trans. Chin. Soc. Agric. Eng. 2018, 34, 188–195. [Google Scholar] [CrossRef]
- Wang, R.; Tang, Y.; Huang, S.; Du, G.; Zhang, J. Feasibility of non-destructive quality test of fruit based on electrical properties. J. Food Saf. Qual. 2012, 3, 471–474. [Google Scholar] [CrossRef]
- Nelson, S.O.; Soderholm, L.H.; Yung, F.D. Determining the dielectric properties of grain. Agric. Eng. 1953, 34, 608–610. [Google Scholar]
- Sun, J.; Zhang, G.; Mao, H.; Wu, X.; Yang, N.; Li, Q. Non-destructive Moisture Content Detection of Corn Leaves Based on Dielectric Properties and Regression Algorithm. Trans. Chin. Soc. Agric. Mach. 2016, 47, 257–264+279. [Google Scholar] [CrossRef]
- Guo, W.; Yang, J.; Liu, C. Wheat straw moisture meter based on alternative current impedance method. Trans. Chin. Soc. Agric. Eng. 2013, 23, 46–52. [Google Scholar] [CrossRef]
- Xue, X.; Shen, X.; Shen, X.; Yi, T.; Xiao, Z.; De, Z.; Mei, H.; Wei, W. Estimation of density and moisture content in asphalt mixture based on dielectric property. Constr. Build. Mater. 2021, 298, 123518. [Google Scholar] [CrossRef]
- McKeown, M.S.; Trabelsi, S.; Tollner, E.W. Effects of temperature and material on sensing moisture content of pelleted biomass through dielectric properties. Biosyst. Eng. 2016, 149, 1–10. [Google Scholar] [CrossRef]
- Szypłowska, A.; Lewandowski, A.; Yagihara, S.; Saito, H.; Furuhata, K.; Szerement, J.; Kafarski, M.; Wilczek, A.; Majcher, J.; Woszczyk, A.; et al. Dielectric models for moisture determination of soils with variable organic matter content. Geoderma 2021, 401, 115288. [Google Scholar] [CrossRef]
- Bittelli, M.; Tomei, F.; Anbazhagan, P.; Pallapati, R.R.; Mahajan, P.; Meisina, C.; Bordoni, M.; Valentino, R. Measurement of soil bulk density and water content with time domain reflectometry: Algorithm implementation and method analysis. J. Hydrol. 2021, 598, 126389. [Google Scholar] [CrossRef]
- Leão, T.P.; da Costa BF, D.; Bufon, V.B.; Aragón FF, H. Using time domain reflectometry to estimate water content of three soil orders under savanna in Brazil. Geoderma Reg. 2020, 21, e00280. [Google Scholar] [CrossRef]
- Satoh, Y.; Kakiuchi, H. Calibration method to address influences of temperature and electrical conductivity for a low-cost soil water content sensor in the agricultural field. Agric. Water Manag. 2021, 255, 107015. [Google Scholar] [CrossRef]
- Cai, L.; Chen, T.B.; Gao, D.; Liu, H.T.; Chen, J.; Zheng, G.D. Time domain reflectometry measured moisture content of sewage sludge compost across temperatures. Waste Manag. 2013, 33, 12–17. [Google Scholar] [CrossRef]
- Calamita, G.; Brocca, L.; Perrone, A.; Piscitelli, S. Electrical resistivity and TDR methods for soil moisture estimation in central Italy test-sites. J. Hydrol. 2012, 454, 101–112. [Google Scholar] [CrossRef]
- Soo, L.; Damla, D.; Samet, O.; Fanbin, K.; Jeyamkondan, S. A comparison between the open-ended coaxial probe method and the parallel plate method for measuring the dielectric properties of low-moisture foods. LWT 2020, 130, 109719. [Google Scholar] [CrossRef]
- Gilbert, N.; Mewis, R.E.; Sutcliffe, O.B. Classification of fentanyl analogues through principal component analysis (PCA) and hierarchical clustering of GC–MS data. Forensic Chem. 2020, 21, 100287. [Google Scholar] [CrossRef]
- Yan, W.; Qian, J.; Ge, Y.; Ye, K.; Zhou, C.; Zhang, H. Principal component analysis of MALDI-TOF MS of whole-cell foodborne pathogenic bacteria. Anal. Biochem. 2020, 592, 113582. [Google Scholar] [CrossRef] [PubMed]
- Alcantara, G.M.; Dresch, D.; Melchert, W.R. Use of non-volatile compounds for the classification of specialty and traditional Brazilian coffees using principal component analysis. Food Chem. 2021, 360, 130088. [Google Scholar] [CrossRef]
- Kelter, R. Bayesian model selection in the M-open setting—Approximate posterior inference and subsampling for efficient large-scale leave-one-out cross-validation via the difference estimator. J. Math. Psychol. 2021, 100, 102474. [Google Scholar] [CrossRef]
- Jiang, G.; Wang, W. Error estimation based on variance analysis of k-fold cross-validation. Pattern Recognit. 2017, 69, 94–106. [Google Scholar] [CrossRef]
- Ye, Y.; Wang, L.; Wang, Y.; Qin, L. An EMD-LSTM-SVR model for the short-term roll and sway predictions of semi-submersible. Ocean. Eng. 2022, 256, 111460. [Google Scholar] [CrossRef]
- Vincent, B.; Duhamel, C.; Ren, L.; Tchernev, N. A PCA and SVR based method for continuous industrial process modelling. IFAC-PapersOnLine 2018, 51, 1604–1609. [Google Scholar] [CrossRef]
- Liu, Y.; Pender, G. A flood inundation modelling using v-support vector machine regression model. Engineering Appl. Artif. Intell. 2015, 46, 223–231. [Google Scholar] [CrossRef]
- Zhang, L.; Chen, J.; Zhu, T. Image denoising based on iterative generalized cross-validation and fast translation invariant. J. Vis. Commun. Image Represent. 2015, 28, 1–14. [Google Scholar] [CrossRef]
- Wang, J.; Tang, J.; Wang, Y.; Swanson, B. Dielectric properties of egg whites and whole eggs as influenced by thermal treatments. LWT Food Sci. Technol. 2009, 42, 1204–1212. [Google Scholar] [CrossRef]
- Guo, W.; Wang, S.; Tiwari, G.; Johnson, J.A.; Tang, J. Temperature and moisture dependent dielectric properties of legume flour associated with dielectric heating. LWT Food Sci. Technol. 2010, 43, 193–201. [Google Scholar] [CrossRef]
- McCartney, D.; Tingley, J. Development of a rapid moisture content method for compost materials. Compost. Sci. Util. 1998, 6, 14–25. [Google Scholar] [CrossRef]
- Greco, R.; Guida, A. Field measurements of topsoil moisture profiles by vertical TDR probes. J. Hydrol. 2008, 348, 442–451. [Google Scholar] [CrossRef]
- Mohapatra, A.; Shanmugasundaram, S.; Malmathanraj, R. Grading of ripening stages of red banana using dielectric properties changes and image processing approach. Comput. Electron. Agric. 2017, 143, 100–110. [Google Scholar] [CrossRef]
- Trabelsi, S.; Lewis, M.A.; Nelson, S.O. Microwave moisture meter for in-shell peanut kernels. Food Control. 2016, 66, 283–290. [Google Scholar] [CrossRef]
- Lawrence, K.C.; Nelson, S.O.; Kraszewski, A.W. Temperature-dependence of the dielectric-properties of pecans. Trans. ASAE 1992, 35, 251–255. [Google Scholar] [CrossRef]
- Zhu, X.; Guo, W.; Wu, X. Frequency-and temperature-dependent dielectric properties of fruit juices associated with pasteurization by dielectric heating. J. Food Eng. 2012, 109, 258–266. [Google Scholar] [CrossRef]
- Trabelsi, S.; Nelson, S.O. Microwave dielectric properties of shelled and unshelled peanuts. Trans. ASAE 2004, 47, 1215–1222. [Google Scholar] [CrossRef]
- Sacilik, K.; Colak, A. Determination of dielectric properties of corn seeds from 1 to 100 MHz. Powder Technol. 2010, 203, 365–370. [Google Scholar] [CrossRef]
- Guo, W.; Wang, J.; Liu, C. Predicating Moisture Content of Pearl Barley Based on Dielectric Properties. Trans. Chin. Soc. Agric. Mach. 2012, 43, 113–117. [Google Scholar] [CrossRef]
- Nelson, S.O. RF and Microwave dielectric properties of shelled, yellow-dent field corn. Trans. ASAE 1979, 22, 1451–1457. [Google Scholar] [CrossRef]
- Sokhansanj, S.; Nelson, S.O. Dependence of dielectric properties of whole-grain wheat on bulk density. J. Agric. Eng. Res. 1988, 39, 173–179. [Google Scholar] [CrossRef]
- Jiao, S.; Johnson, J.; Tang, J.; Tiwari, G.; Wang, S. Dielectric properties of cowpea weevil, black-eyed peas and mung beans with respect to the development of radio frequency heat treatments. Biosyst. Eng. 2011, 108, 280–291. [Google Scholar] [CrossRef]
- Guo, W.; Wu, X.; Zhu, X. Temperature-dependent dielectric properties of chestnut and chestnut weevil from 10 to 4500 MHz. Biosyst. Eng. 2011, 110, 340–347. [Google Scholar] [CrossRef]
- Ling, B.; Lyng, J.G.; Wang, S. Radio-frequency treatment for stabilization of wheat germ: Dielectric properties and heating uniformity. Innov. Food Sci. Emerg. Technol. 2018, 48, 66–74. [Google Scholar] [CrossRef]










| Moisture Content/% | Bulk Density/(kg·m−3) | ||
|---|---|---|---|
| Level I | Level II | Level III | |
| 5 | 665.6467 | 683.7607 | 720.7207 |
| 10 | 677.9661 | 695.6522 | 730.5936 |
| 15 | 692.6407 | 711.1111 | 747.6636 |
| 20 | 704.8458 | 723.9819 | 765.5502 |
| 25 | 720.7207 | 737.3272 | 784.3137 |
| 30 | 761.9048 | 816.3265 | 855.6150 |
| 35 | 802.0175 | 829.0155 | 874.3169 |
| Parameters | Number of Extracted Principal Components | Cumulative Contribution Rate % |
|---|---|---|
| 1 | 99.90701 | |
| 1 | 99.91443 | |
| and | 2 | 95.10533 |
| Parameters | Variable Selection Method | Parameter Optimization | Correction Set | Prediction Set | |||
|---|---|---|---|---|---|---|---|
| c | g | Rc2 | RMSEC | Rp2 | RMSEP | ||
| Full Frequency | 8 | 0.00097 | 0.9153 | 0.0079 | 0.9998 | 0.0107 | |
| PCA | 1024 | 0.00098 | 0.8813 | 0.0093 | 0.9957 | 0.0470 | |
| Full Frequency | 1.414 | 0.00276 | 0.9711 | 0.0283 | 0.8409 | 0.1169 | |
| PCA | 128 | 0.0028 | 0.9983 | 0.0068 | 0.9948 | 0.0212 | |
| and | Full Frequency | 2.828 | 0.0039 | 0.9987 | 0.0237 | 0.9555 | 0.0100 |
| PCA | 90.51 | 0.0039 | 0.9999 | 0.0069 | 0.9877 | 0.0026 | |
Disclaimer/Publisher’s Note: The statements, opinions and data contained in all publications are solely those of the individual author(s) and contributor(s) and not of MDPI and/or the editor(s). MDPI and/or the editor(s) disclaim responsibility for any injury to people or property resulting from any ideas, methods, instructions or products referred to in the content. |
© 2023 by the authors. Licensee MDPI, Basel, Switzerland. This article is an open access article distributed under the terms and conditions of the Creative Commons Attribution (CC BY) license (https://creativecommons.org/licenses/by/4.0/).
Share and Cite
Wang, R.; Ren, T.; Feng, L.; Wang, T.; Wang, T. Prediction of the Moisture Content in Corn Straw Compost Based on Their Dielectric Properties. Appl. Sci. 2023, 13, 917. https://doi.org/10.3390/app13020917
Wang R, Ren T, Feng L, Wang T, Wang T. Prediction of the Moisture Content in Corn Straw Compost Based on Their Dielectric Properties. Applied Sciences. 2023; 13(2):917. https://doi.org/10.3390/app13020917
Chicago/Turabian StyleWang, Ruili, Tong Ren, Longlong Feng, Tieliang Wang, and Tiejun Wang. 2023. "Prediction of the Moisture Content in Corn Straw Compost Based on Their Dielectric Properties" Applied Sciences 13, no. 2: 917. https://doi.org/10.3390/app13020917
APA StyleWang, R., Ren, T., Feng, L., Wang, T., & Wang, T. (2023). Prediction of the Moisture Content in Corn Straw Compost Based on Their Dielectric Properties. Applied Sciences, 13(2), 917. https://doi.org/10.3390/app13020917

