The Influence of Rotor Overlapping Azimuth on Compound Coaxial Helicopter Performance Based on Unsteady CFD Simulation
Abstract
1. Introduction
2. CFD Simulation Method
2.1. Governing Equation and Solution Method
2.2. Grid System
3. Validation of CFD Simulation Method
3.1. NASA Coaxial Rotor in Hover
3.2. NASA Coaxial Rotor in Forward
4. Results and Discussion
4.1. Isolated Rotors in Hover
4.2. Isolated Rotors in Forward
4.3. The Compound Coaxial Helicopter in Hover
4.4. The Compound Coaxial Helicopter in Forward
5. Conclusions
- (1)
- By comparing the numerical results with the wind tunnel experiment data of the hovering and forward flight of the NASA coaxial rotor, it is found that the numerical simulation results are in good agreement with the experiment data. It is proved that the simulation method proposed in this paper is appropriate for the performance calculation of coaxial helicopters and can achieve high calculation accuracy.
- (2)
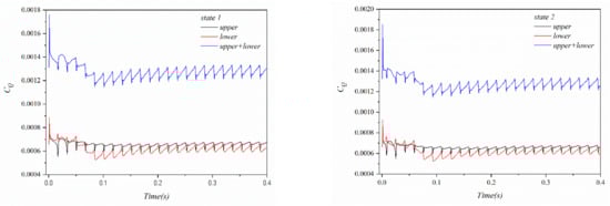
- In the hovering flight of isolated rotors, the amplitude and peak values of the total thrust coefficients, and total torque coefficients and total power loads of the upper and lower rotors are essentially identical in the two states, and the phase difference of the coefficients in the two states is . It demonstrates that the aerodynamic performance of isolated rotors is not affected by the rotor overlapping azimuths.
- (3)
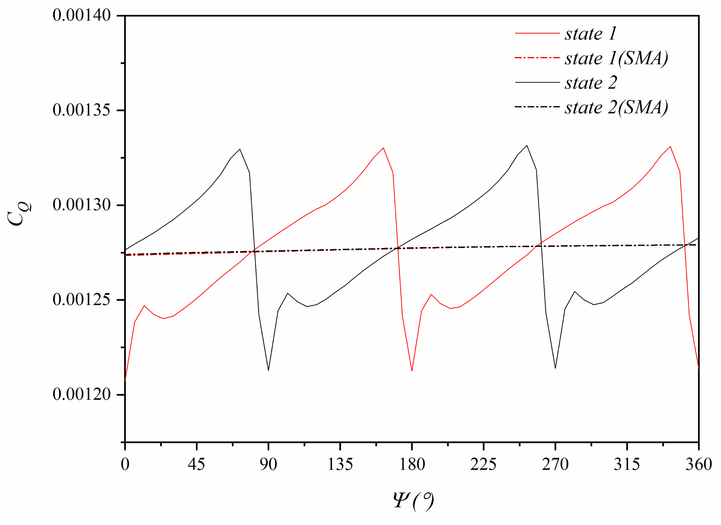
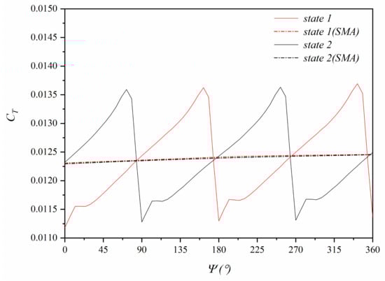
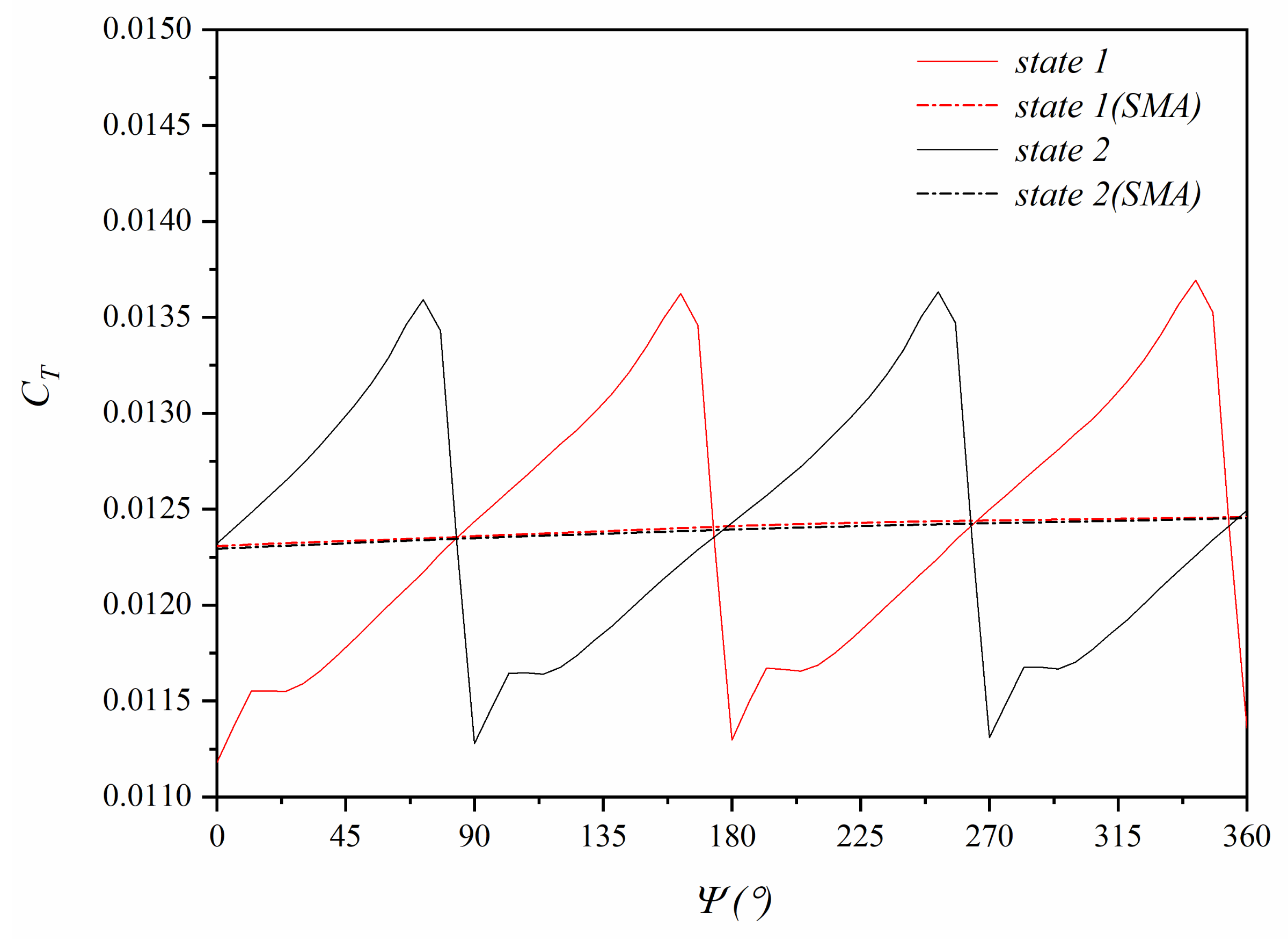
- In the forward flight of isolated rotors, the peak of the upper and lower rotor’s thrust coefficients in state 1 has the identical phase, and the phase difference of the peak of the upper and lower rotor’s thrust coefficients in state 2 is . Compared with state 1, the minimum value of the total thrust coefficients is 61.3% larger, the maximum value of the thrust coefficients is 24.9% smaller, and the amplitude of the total thrust coefficients is 76.3% smaller in state 2. After SMA processing, the total thrust coefficients of state 2 are reduced by 0.87% compared to state 1. It can be seen that the aerodynamic performance of isolated rotors in state 2 is superior to that of isolated rotors in state 1 in forward flight.
- (4)
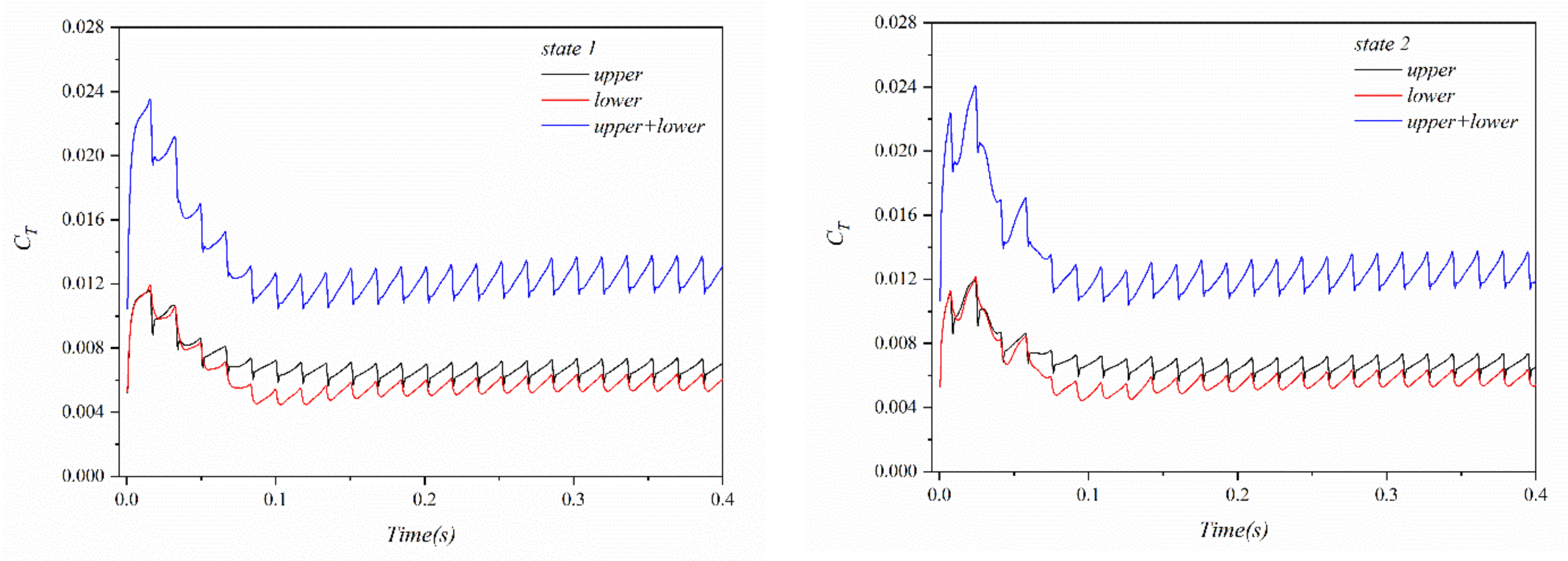
- In the hovering flight of compound coaxial helicopter, the variations of the total thrust coefficients of the rotors in the two states are consistent with the hovering flight of isolated rotors. After SMA processing, due to the interference between the rotor and wing and flat tail, the thrusts of the upper rotor and the lower rotor are 1% and 5% larger than that of isolated rotors in hover, respectively, and the total thrust is 3% larger than that of isolated rotors in hover. Compared with state 1, the minimum value of the wing lift is 0.3% larger, the maximum value is 8.1% smaller, and the amplitude of fluctuation is 42.7% smaller in state 2. Compared with state 1, the minimum value of the flat tail lift is 2.4% larger, the maximum value is 11.3% smaller, and the amplitude of fluctuation is 52.4% smaller in state 2. After SMA processing, compared with that of state 1, the lift of the wing and flat tail in state 2 is reduced by 1% and 1.7%, respectively. It can be found that the aerodynamic performance of the compound coaxial helicopter in hover is more favorable in state 2.
- (5)
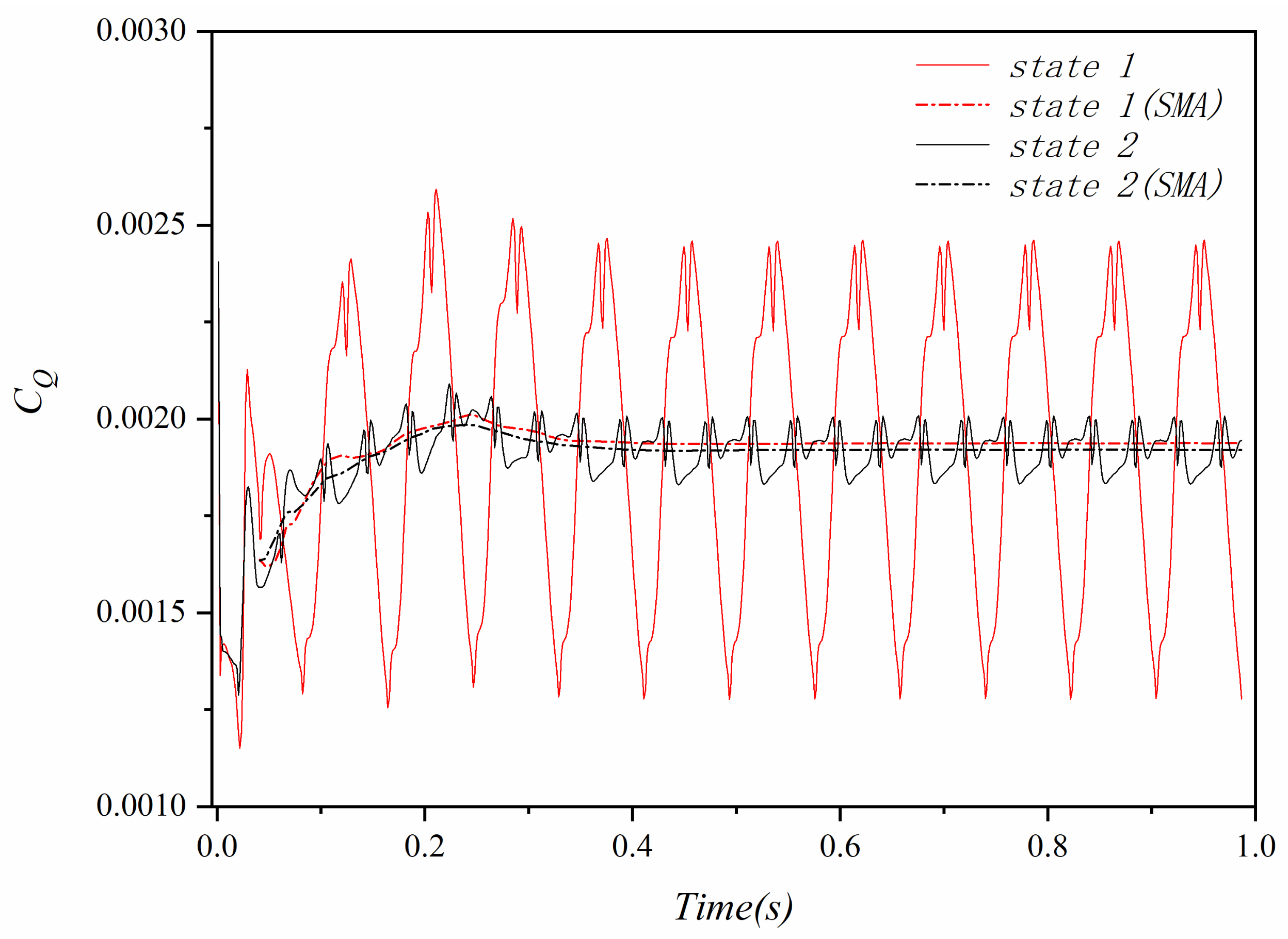
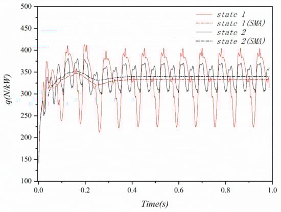
- In the forward flight of compound coaxial helicopter, the phase difference between the peak of the thrust in state 2 is between the two rotors. The variations of the total thrust coefficients of the upper and lower rotors in the two states are consistent with the forward flight of isolated rotors. Compared with state 1, the minimum value of total thrust is 92.8% larger, the maximum value is 28.7% smaller, and the amplitude of fluctuation is 83.5% smaller in state 2. After SMA processing, the total thrust coefficients of state 2 were reduced by 0.87% compared with state 1, the upper rotor’s thrust, lower rotor’s thrust, and total thrust are 1.2%, 2%, and 1.65% smaller than isolated rotors in forward flight, respectively. Due to the aerodynamic interference between the rotor and the wing and the flat tail, compared to state 1, the minimum value of wing lift is 1.4% larger, the maximum value is 2.1% smaller, and the amplitude of fluctuation is 61.2% smaller in state 2. After SMA processing, the lift of the wing in state 2 is 0.04% smaller than that of state 1. It can be concluded that the aerodynamic performance of the compound coaxial helicopter working in state 2 is superior to that of the compound coaxial helicopter working in state 1.
- (6)
- At present, the compound coaxial helicopter has become a key point of future high-speed helicopter research, and changing the rotor overlapping azimuth of the upper and lower rotors has a high engineering application value, which can increase aerodynamic stability and reduce lift fluctuations.
Author Contributions
Funding
Institutional Review Board Statement
Informed Consent Statement
Data Availability Statement
Conflicts of Interest
References
- Orchard, M.; Newman, S. The fundamental configuration and design of the compound helicopter. Proc. Inst. Mech. Eng. Part G J. Aerosp. Eng. 2003, 217, 297–315. [Google Scholar] [CrossRef]
- Deng, J.H. Development and prospect of helicopter technology. Aeronaut. Sci. Technol. 2021, 32, 10–16. [Google Scholar] [CrossRef]
- Ehinger, R.; McMenemy, M.; Wilson, P. Bell V-280 Valor: JMR TD flight test update. In Proceedings of the Vertical Flight Society’s 75th Annual Forum & Technology Display, Philadelphia, PA, USA, 13–16 May 2019; pp. 1–9. [Google Scholar]
- Yeo, H. Design and aeromechanics investigation of compound helicopters. Aerosp. Sci. Technol. 2019, 88, 158–173. [Google Scholar] [CrossRef]
- Hussain, F.; Kemp, I.; McCarty, P. The future of the military helicopter. RUSI J. 1985, 130, 14–18. [Google Scholar] [CrossRef]
- Yeo, H.; Johnson, W. Performance and Design Investigation of Heavy Lift Tilt-Rotor with Aerodynamic Interference Effects. J. Aircr. 2009, 46, 1231–1239. [Google Scholar] [CrossRef]
- Cheney, M.C. The ABC Helicopter. J. Am. Helicopter Soc. 1969, 14, 10–19. [Google Scholar] [CrossRef]
- Ruddell, A.J. Advancing Blade Concept (ABC™) Development. J. Am. Helicopter Soc. 1977, 22, 13–23. [Google Scholar] [CrossRef]
- Ruddell, A.; Groth, W.; McCutcheon, R. United technologies corp stratford ct sikorsky aircraft div. In Advancing Blade Concept (ABC) Technology Demonstrator; Defense Technical Information Center: Fort Belvoir, VA, USA, 1981. [Google Scholar]
- Li, L.; Chen, M.; Wang, F.; Xu, A. The influence of rotor adjustment parameters on the dynamic balance of a scale-model rigid variable speed rotor. Appl. Sci. 2022, 12, 12125. [Google Scholar] [CrossRef]
- Leishman, J.G. Principles of Helicopter Aerodynamics; Cambridge University Press: New York, NY, USA, 2006; Volume 7–9. [Google Scholar]
- Walsh, D.; Weiner, S.; Arifian, K.; Lawrence, T.; Wilson, M. High Airspeed Testing of the Sikorsky X2 Technology™ Demonstrator. In Proceedings of the American Helicopter Society 67th Annual Forum, Virginia Beach, CA, USA, 3–5 May 2011. [Google Scholar]
- Steijl, R.; Barakos, G.N. Computational Study of Helicopter Rotor-Fuselage Aerodynamic Interactions. AIAA J. 2009, 47, 2143–2157. [Google Scholar] [CrossRef]
- Majhi, J.R.; Ganguli, R. Modeling helicopter rotor blade flapping motion considering nonlinear aerodynamics. Comput. Model. Eng. Sci. 2008, 27, 25–36. [Google Scholar]
- Crouse, G.L.; Leishman, J.G.; Bi, N. Theoretical and Experimental Study of Unsteady Rotor/Body Aerodynamic Interactions. J. Am. Helicopter Soc. 1992, 37, 55–65. [Google Scholar] [CrossRef]
- Zhao, J.; Brigley, M.; Modarres, R.; Welsh, W.A. S-97 Raider Rotor Vibratory Loads Analysis using CFD-CSD. In Proceedings of the AIAA Scitech 2019 Forum, San Diego, CA, USA, 7–11 January 2019. [Google Scholar]
- Ohrle, C.; Frey, F.; Thiemeier, J.; Kessler, M.; Kramer, E.; Embacher, M.; Cranga, P.; Eglin, P. Compound Helicopter X-3 in High-Speed Flight: Correlation of Simulation and Flight Test. J. Am. Helicopter Soc. 2021, 66, 1–14. [Google Scholar] [CrossRef]
- Lorber, P.; Bowles, P.; Fox, E.; Zhe, K.W.; Hein, B.; Mayrides, B. Wind Tunnel Testing for the SB>1 Defiant Joint Multi-Role Technology Demonstrator. In Proceedings of the AHS International 73rd Annual Forum & Technology Display, Fort Worth, TX, USA, 9–11 May 2017; pp. 1–18. [Google Scholar]
- Ruzicka, G.C. Computational fluid dynamics analysis of a coaxial rotor using overset grids. In Proceedings of the AHS Specialist’s Conference on Aeromechanics, San Francisco, CA, USA, 23–25 January 2008. [Google Scholar]
- Berry, J.D.; Bettschart, N. Rotor-fuselage interaction: Analysis and validation with experiment. In Proceedings of the American Helicopter Society Annual Forum, Virginia Beach, VA, USA, 29 April–1 May 1997. [Google Scholar]
- Shibliyev, O.; Sezai, I. Overset Grid Assembler and Flow Solver with Adaptive Spatial Load Balancing. Appl. Sci. 2021, 11, 5132. [Google Scholar] [CrossRef]
- Boyd, J.; Barnwell, D.R.; Gorton, S. A computational model for rotor-fuselage interactional aerodynamics. In Proceedings of the 38th Aerospace Sciences Meeting and Exhibit, Reno, NV, USA, 10–13 January 2000; p. 256. [Google Scholar]
- Bhattacharyya, S.; Conlisk, A. The Structure of the Rotor Wake in Ground Effect. In Proceedings of the 41st Aerospace Sciences Meeting and Exhibit, Reno, NV, USA, 6–9 January 2003. [Google Scholar]
- Sugiura, M.; Tanabe, Y.; Sugawara, H.; Matayoshi, N.; Ishii, H. Numerical Simulations and Measurements of the Helicopter Wake in Ground Effect. Aerosp. Res. Cent. 2017, 54, 209–219. [Google Scholar] [CrossRef]
- Strawn, R.C.; Barth, T.J. A finite-volume Euler solver for computing rotary-wing aerodynamics on unstructured meshes. J. Am. Helicopter Soc. 1993, 38, 61–67. [Google Scholar] [CrossRef]
- Duque, E.; Biswas, R.; Strawn, R. A solution adaptive structured/unstructured overset grid flow solver with applications to helicopter rotor flows. In Proceedings of the 13th Applied Aerodynamics Conference, San Diego, CA, USA, 19–22 June 1995. [Google Scholar]
- Kang, H.J.; Kwon, O.J. Unstructured Mesh Navier-Stokes Calculations of the Flow Field of a Helicopter Rotor in Hover. J. Amer. Helicopter Soc. 2002, 47, 90–99. [Google Scholar] [CrossRef]
- Shenoy, R.; Smith, M.J.; Park, M.A. Unstructured overset mesh adaptation with turbulence modeling for unsteady aerodynamic interactions. Aerosp. Res. Cent. 2014, 51, 161–174. [Google Scholar] [CrossRef]
- Wang, Q.; Zhao, Q.J. Numerical Study on Dynamic-Stall Characteristics of Finite Wing and Rotor. Appl. Sci. 2019, 9, 600. [Google Scholar] [CrossRef]
- Batrakov, A.; Kusyumov, A.; Kusyumov, S.; Mikhailov, S.; Barakos, G.N. Simulation of Tail Boom Vibrations Using Main Rotor-Fuselage Computational Fluid Dynamics (CFD). Appl. Sci. 2017, 7, 918. [Google Scholar] [CrossRef]
- Zhao, Y.Y.; Shi, Y.J.; Xu, G.H. Helicopter Blade-Vortex Interaction Airload and Noise Prediction Using Coupling CFD/VWM Method. Appl. Sci. 2017, 7, 381. [Google Scholar] [CrossRef]
- Deng, J.H.; Fan, F.; Liu, P.A.; Huang, S.L.; Lin, Y.F. Aerodynamic characteristics of rigid coaxial rotor by wind tunnel test and numerical calculation. Chin. J. Aeronaut. 2019, 32, 568–576. [Google Scholar] [CrossRef]
- Zhou, C.; Chen, M. Aerodynamic Simulation of Helicopter Based on Polyhedron Nested Grid Technology. Appl. Sci. 2020, 10, 8304. [Google Scholar] [CrossRef]
- Boisard, R. Numerical analysis of rotor/propeller aerodynamic interactions on a high-speed compound helicopter. J. Am. Helicopter Soc. 2022, 67, 1–15. [Google Scholar] [CrossRef]
- Giljarhus, K.E.T.; Porcarelli, A.; Apeland, J. Investigation of rotor efficiency with varying rotor pitch angle for a coaxial drone. Drones 2022, 6, 91. [Google Scholar] [CrossRef]
- Kim, Y.T.; Park, C.H.; Kim, H.Y. Three-dimensional CFD investigation of performance and interference effect of coaxial propellers. In Proceedings of the 10th IEEE International Conference on Mechanical and Aerospace Engineering (ICMAE), Brussels, Belgium, 22–25 July 2019; IEEE: Piscataway, NJ, USA, 2019; pp. 376–383. [Google Scholar]
- Yoon, S.; Chan, W.M.; Pulliam, T.H. Computations of torque-balanced coaxial rotor flows. In Proceedings of the 55th AIAA Aerospace Sciences Meeting, Grapevine, TX, USA, 9–13 January 2017. [Google Scholar]
- Jameson, A. Time dependent calculations using multigrid, with applications to unsteady flows past airfoils and wings. In Proceedings of the 10th Computational Fluid Dynamics Conference, Honolulu, HI, USA, 24–26 June 1991. [Google Scholar]
- Coleman, C.P. A Survey of Theoretical and Experimental Coaxial Rotor Aerodynamic Research; Ames Research Center: Mountain View, CA, USA, 1997. [Google Scholar]































| Number of blades (N) | 2 × 2 |
| Blade radius (R) | 0.38 m |
| Plane shape of blade | Rectangle |
| Airfoil | NACA0012 |
| Chord length (c) | 0.06 m |
| Undercut () | 0.21 R |
| Torsion angle | 0° |
| Distance between upper and lower | 0.1 m |
| Number of blades (N) | 2 × 2 |
| Blade radius (R) | 1.5 m |
| Plane shape of blade | Sabre |
| Airfoil | NACA0012 |
| Rotor solidity () | 0.09 |
| Undercut () | 0.21R |
| Torsion angle | −8° |
| Distance between upper and lower | 0.3 m |
| Configuration | Overlapping Azimuth | Rotor Speed in Hover | Rotor Speed in Forward | Collective Pitch θ |
|---|---|---|---|---|
| State 1 | 0/90/180/270° | 891 RPM | 365 RPM | 8° |
| State 2 | 45/135/225/315° | 891 RPM | 365 RPM | 8° |
Disclaimer/Publisher’s Note: The statements, opinions and data contained in all publications are solely those of the individual author(s) and contributor(s) and not of MDPI and/or the editor(s). MDPI and/or the editor(s) disclaim responsibility for any injury to people or property resulting from any ideas, methods, instructions or products referred to in the content. |
© 2023 by the authors. Licensee MDPI, Basel, Switzerland. This article is an open access article distributed under the terms and conditions of the Creative Commons Attribution (CC BY) license (https://creativecommons.org/licenses/by/4.0/).
Share and Cite
Li, L.; Zhou, C.; Chen, M.; Wang, F.; Xu, A. The Influence of Rotor Overlapping Azimuth on Compound Coaxial Helicopter Performance Based on Unsteady CFD Simulation. Appl. Sci. 2023, 13, 820. https://doi.org/10.3390/app13020820
Li L, Zhou C, Chen M, Wang F, Xu A. The Influence of Rotor Overlapping Azimuth on Compound Coaxial Helicopter Performance Based on Unsteady CFD Simulation. Applied Sciences. 2023; 13(2):820. https://doi.org/10.3390/app13020820
Chicago/Turabian StyleLi, Liang, Chenglong Zhou, Ming Chen, Fang Wang, and Anan Xu. 2023. "The Influence of Rotor Overlapping Azimuth on Compound Coaxial Helicopter Performance Based on Unsteady CFD Simulation" Applied Sciences 13, no. 2: 820. https://doi.org/10.3390/app13020820
APA StyleLi, L., Zhou, C., Chen, M., Wang, F., & Xu, A. (2023). The Influence of Rotor Overlapping Azimuth on Compound Coaxial Helicopter Performance Based on Unsteady CFD Simulation. Applied Sciences, 13(2), 820. https://doi.org/10.3390/app13020820

