The Honeybee (Apis mellifera L.) Is an Efficient Pollinator for Paeonia lactiflora Pall in the Field
Abstract
1. Introduction
2. Materials and Methods
2.1. Plants and Honeybees
2.2. Pollination Behavior of A. mellifera
2.2.1. Time and Frequency of Pollination
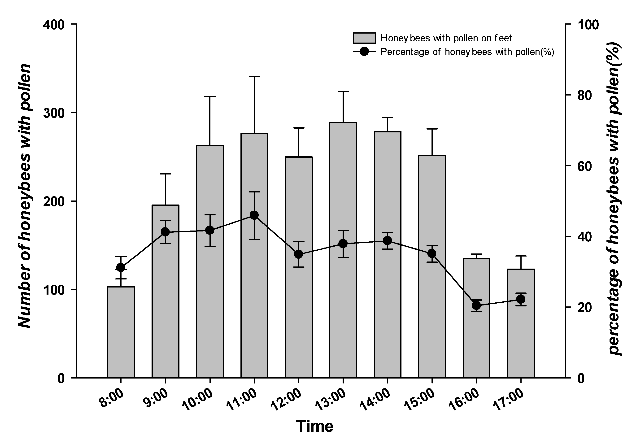
2.2.2. Proportion of Efficient Pollinators
2.3. Pollen Identification
2.4. Pollination Evaluation
2.5. Data Analysis
3. Results
3.1. Pollination Behavior of A. mellifera on P. lactiflora
3.2. Pollen Identification
3.3. Evaluation of Pollination Efficiency
4. Discussion
5. Conclusions
Supplementary Materials
Author Contributions
Funding
Institutional Review Board Statement
Informed Consent Statement
Data Availability Statement
Conflicts of Interest
Sample Availability
References
- He, D.Y.; Dai, S.M. Anti-inflammatory and immunomodulatory effects of Paeonia lactiflora Pall., a traditional Chinese herbal medicine. Front. Pharmacol. 2011, 2, 10. [Google Scholar] [CrossRef] [PubMed]
- Wister, J.C.; Wolfe, H.E. Histories of the herbaceous peonies. In The Peonies; Wister, J.C., Ed.; American Horticultural Society: Washington, DC, USA, 1962; pp. 33–61. [Google Scholar]
- Walton, E.F.; Boldingh, H.L.; McLaren, G.F.; Williams, M.H.; Jackman, R. The dynamics of starch and sugar utilisation in cut peony (Paeonia lactiflora Pall.) stems during storage and vase life. Postharvest Biol. Technol. 2010, 58, 142–146. [Google Scholar] [CrossRef]
- Qin, K.J. Peony (Paeonia lactiflora Pall.); China Forestry Publishing House: Beijing, China, 2004. (In Chinese) [Google Scholar]
- Sun, J.; Jiang, Y.; Tao, J. Advances in edible research of Paeonia suffruticosa Andr. and Paeonia lactiflora Pall. Jiangsu Agr. Sci. 2018, 46, 10–14. (In Chinese) [Google Scholar]
- Ning, C.; Jiang, Y.; Meng, J.; Zhou, C.; Tao, J. Herbaceous peony seed oil: A rich source of unsaturated fatty acids and γ-tocopherol. Eur. J. Lipid Sci. Technol. 2015, 117, 532–542. [Google Scholar] [CrossRef]
- Tan, Z.Z.; Wang, Y.; Li, Y. Oil content and fatty acid composition of Paeonia lactiflora seeds. For. Res. 2018, 31, 45–50. (In Chinese) [Google Scholar]
- Rizos, E.C.; Ntzani, E.E.; Bika, E.; Kostapanos, M.S.; Elisaf, M.S. Association between omega-3 fatty acid supplementation and risk of major cardiovascular disease events: A systematic review and meta-analysis. JAMA 2012, 308, 1024–1033. [Google Scholar] [CrossRef] [PubMed]
- Mozaffarian, D.; Micha, R.; Wallace, S. Effects on coronary heart disease of increasing polyunsaturated fat in place of saturated fat: A systematic review and meta-analysis of randomized controlled trials. PLoS Med. 2010, 7, e1000252. [Google Scholar] [CrossRef]
- Wu, H.M.; He, Y.P.; Fei, S.M.; Chen, X.M.; Wang, L.H.; Jiang, J.M. Research on the reproductive system of oil-used peony sect of Paeonia L. J. Sichuan For. Sci. Technol. 2015, 36, 1–17. (In Chinese) [Google Scholar]
- Brittain, C.; Kremen, C.; Garber, A.; Klein, A.M. Pollination and plant resources change the nutritional quality of almonds for human health. PLoS ONE 2014, 9, e90082. [Google Scholar] [CrossRef]
- Garibaldi, L.A.; Carvalheiro, L.G.; Vaissière, B.E.; Gemmill-Herren, B.; Hipólito, J.; Freitas, B.M.; Ngo, H.T.; Azzu, N.; Sáez, A.; Åström, J.; et al. Mutually beneficial pollinator diversity and crop yield outcomes in small and large farms. Science 2016, 351, 388–391. [Google Scholar] [CrossRef]
- Potts, S.G.; Imperatriz-Fonseca, V.; Ngo, H.T.; Aizen, M.A.; Biesmeijer, J.C.; Breeze, T.D.; Dicks, L.V.; Garibaldi, L.A.; Hill, R.; Settele, J.; et al. Safeguarding pollinators and their values to human well-being. Nature 2016, 540, 220–229. [Google Scholar] [CrossRef] [PubMed]
- Velthuis, H.; van Doorn, A. A century of advances in bumblebee domestication and the economic and environmental aspects of its commercialization for pollination. Apidologie 2006, 37, 421–451. [Google Scholar] [CrossRef]
- Free, J.B. Insect Pollination of Crops; Academic Press: Cambridge, MA, USA, 1993. [Google Scholar]
- Adlerz, W.C. Honey bee visit numbers and watermelon pollination. J. Econ. Entomol. 1966, 59, 28–30. [Google Scholar] [CrossRef]
- Greenleaf, S.S.; Kremen, C. Wild bees enhance honey bees pollination of hybrid sunflower. Proc. Natl. Acad. Sci. USA 2006, 103, 13890–13895. [Google Scholar] [CrossRef] [PubMed]
- Motzke, I.; Tscharntke, T.; Wanger, T.C.; Klein, A.M. Pollination mitigates cucumber yield gaps more than pesticide and fertilizer use in tropical smallholder gardens. J. Appl. Ecol. 2015, 52, 261–269. [Google Scholar] [CrossRef]
- Silva, C.A.; Godoy, W.A.; Jacob, C.R.; Thomas, G.; Câmara, G.M.; Alves, D.A. Bee pollination highly improves oil quality in sunflower. Sociobiology 2018, 65, 583–590. [Google Scholar] [CrossRef]
- Eeraerts, M.; Smagghe, G.; Meeus, I. Bumble bee abundance and richness improves honey bee pollination behaviour in sweet cherry. Basic Appl. Ecol. 2020, 43, 27–33. [Google Scholar] [CrossRef]
- Luo, W.H.; Ji, C.H.; Liu, J.L.; Cao, L.; Wang, R.S.; Cheng, S.; Gao, L.J. Study on foraging behavior and effect of pollinations by different bees on Citrus maxima (Burm) Merr. cv. Huangsha Yu. Southwest China J. Agr. Sci. 2019, 32, 1360–1365. (In Chinese) [Google Scholar]
- Luo, C.W.; Chen, Y.; Zhang, T. Pollination efficiency of the major pollinators of Paeonia ostia ‘Feng Dan’. J. Nanjing For. Univ. (Nat. Sci. Ed.) 2019, 43, 148–154. (In Chinese) [Google Scholar]
- Du, L.J.; Song, L.W.; Zuo, T.T. Species and morphological characteristics of Paeonia Iactiflora flower-visiting insects from ecological garden. J. Jilin For. Sci. Technol. 2019, 48, 31–35. (In Chinese) [Google Scholar]
- Lang, D.; Tang, M.; Hu, J.; Zhou, X. Genome-skimming provides accurate quantification for pollen mixtures. Mol. Ecol. Resour. 2019, 19, 1433–1446. [Google Scholar] [CrossRef] [PubMed]
- Hebert, P.D.N.; Penton, E.H.; Burns, J.M.; Janzen, D.H.; Hallwachs, W. Ten species in one: DNA barcoding reveals cryptic species in the neotropical skipper butterfly Astraptes fulgerator. Proc. Natl. Acad. Sci. USA 2004, 101, 14812–14817. [Google Scholar] [CrossRef] [PubMed]
- Kress, W.J.; Wurdack, K.J.; Zimmer, E.A.; Weigt, L.A.; Janzen, D.H. Use of DNA barcodes to identify flowering plants. Proc. Natl. Acad. Sci. USA 2005, 102, 8369–8374. [Google Scholar] [CrossRef] [PubMed]
- Salazar, G.A.; Chase, M.W.; Arenas, M.A.S.; Ingrouille, M. Phylogenetics of Cranichideae with emphasis on Spiranthinae (Orchidaceae, Orchidoideae): Evidence from plastid and nuclear DNA sequences. Am. J. Bot. 2003, 90, 777–795. [Google Scholar] [CrossRef] [PubMed]
- Kress, W.J.; Erickson, D.L. A two-locus global DNA barcode for land plants: The coding rbcL gene complements the non-coding trnH-psbA spacer region. PLoS ONE 2007, 2, e508. [Google Scholar] [CrossRef] [PubMed]
- Chase, M.W.; Soltis, D.E.; Olmstead, R.G.; Morgan, D.; Les, D.H.; Mishler, B.D.; Duvall, M.R.; Price, R.A.; Hills, H.G.; Qiu, Y.; et al. Phylogenetics of seed plants: An analysis of nucleotide sequences from the plastid gene rbcL. Ann. Mo. Bot. Gard. 1993, 80, 528–580. [Google Scholar] [CrossRef]
- Arbuckle, J.L. IBM SPSS Amos 19 User’s Guide; Amos Development Corporation: Crawfordville, FL, USA, 2010; p. 635. [Google Scholar]
- Tian, L.X.; Wang, S.; Fang, X.H.; Xu, X.L. Applications and challenges of bee pollination in facility agriculture. J. Environ. Entomol. 2022, 44, 1143–1153. (In Chinese) [Google Scholar]
- Stevenson, P.C.; Nicolson, S.W.; Wright, G.A. Plant secondary metabolites in nectar: Impacts on pollinators and ecological functions. Funct. Ecol. 2017, 31, 65–75. [Google Scholar] [CrossRef]
- Knauer, A.C.; Schiestl, F.P. Bees use honest floral signals as indicators of reward when visiting flowers. Ecol. Lett. 2015, 18, 135–143. [Google Scholar] [CrossRef]
- Haber, A.I.; Sims, J.W.; Mescher, M.C.; Moraes, C.M.D.; Carr, D.E. A key floral scent component (β-trans-bergamotene) drives pollinator preferences independently of pollen rewards in seep monkeyflower. Funct. Ecol. 2018, 33, 218–228. [Google Scholar] [CrossRef]




Disclaimer/Publisher’s Note: The statements, opinions and data contained in all publications are solely those of the individual author(s) and contributor(s) and not of MDPI and/or the editor(s). MDPI and/or the editor(s) disclaim responsibility for any injury to people or property resulting from any ideas, methods, instructions or products referred to in the content. |
© 2023 by the authors. Licensee MDPI, Basel, Switzerland. This article is an open access article distributed under the terms and conditions of the Creative Commons Attribution (CC BY) license (https://creativecommons.org/licenses/by/4.0/).
Share and Cite
Tian, L.; Ren, J.; Li, R.; Di, N.; Huang, X.; Wang, S.; Fang, X.; Xu, X. The Honeybee (Apis mellifera L.) Is an Efficient Pollinator for Paeonia lactiflora Pall in the Field. Appl. Sci. 2023, 13, 1179. https://doi.org/10.3390/app13021179
Tian L, Ren J, Li R, Di N, Huang X, Wang S, Fang X, Xu X. The Honeybee (Apis mellifera L.) Is an Efficient Pollinator for Paeonia lactiflora Pall in the Field. Applied Sciences. 2023; 13(2):1179. https://doi.org/10.3390/app13021179
Chicago/Turabian StyleTian, Lixia, Jun Ren, Ruxu Li, Ning Di, Xi Huang, Su Wang, Xihong Fang, and Xilian Xu. 2023. "The Honeybee (Apis mellifera L.) Is an Efficient Pollinator for Paeonia lactiflora Pall in the Field" Applied Sciences 13, no. 2: 1179. https://doi.org/10.3390/app13021179
APA StyleTian, L., Ren, J., Li, R., Di, N., Huang, X., Wang, S., Fang, X., & Xu, X. (2023). The Honeybee (Apis mellifera L.) Is an Efficient Pollinator for Paeonia lactiflora Pall in the Field. Applied Sciences, 13(2), 1179. https://doi.org/10.3390/app13021179

