Application of Perennial Sweet Pea in Soil and Water Conservation
Abstract
:1. Introduction
2. Materials and Methods
2.1. Overview of the Experimental Site
2.2. Experimental Materials
2.3. Experimental Design
2.4. Data Collection and Analysis Methods
2.4.1. Measurement of Water Retention Capacity
2.4.2. Measurement of Canopy Interception Capacity for Rainwater
2.4.3. Determination Method for Unit Area Litter Water Holding Capacity
2.4.4. Determination Method for Water Absorption Characteristics of Litter
2.4.5. Measurement of Surface Runoff Reduction Capacity
2.4.6. Method for Determining Soil Water Storage and Retention Capacity
2.4.7. Method for Determining Soil Infiltration
2.4.8. Measurement of Canopy Cover
3. Results
3.1. Water Retention Capacity of Perennial Sweet Pea Ground Coverage
3.2. Canopy Interception Capacity of Perennial Sweet Pea
3.3. Litter Water Holding Capacity and Absorption Performance of Perennial Sweet Pea
3.4. Surface Runoff Reduction Capacity of Perennial Sweet Pea
3.5. Soil Storage and Retention Capacity of Perennial Sweet Pea
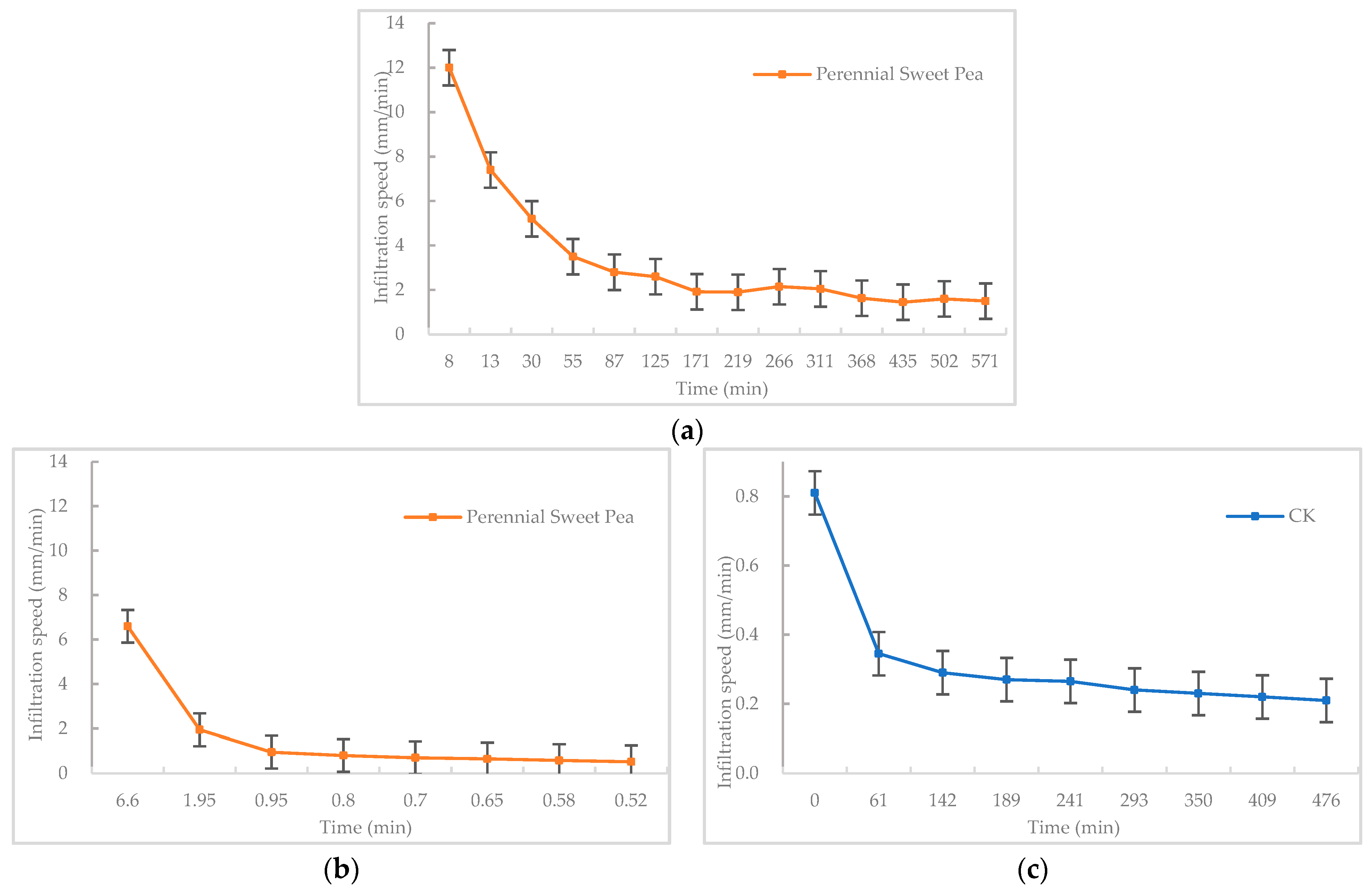
3.6. Improved Soil Infiltration Capacity of Perennial Sweet Pea
3.7. Canopy Coverage of Perennial Sweet Pea
4. Discussion
4.1. The Role of Perennial Sweet Pea in Soil and Water Conservation
4.2. The Function of Perennial Sweet Peas in Hydrological Regulation
5. Conclusions
Author Contributions
Funding
Institutional Review Board Statement
Informed Consent Statement
Data Availability Statement
Acknowledgments
Conflicts of Interest
References
- Ahuchaogu, I.I.; Ehiomogue, P.O.; Udoumoh, U.I. Effects of soil and water conservation measures on the environment: A review. Poljopr. Teh. 2022, 47, 42–55. [Google Scholar] [CrossRef]
- Bashir, S.; Javed, A.; Bibi, I.; Ahmad, N. Soil and Water Conservation; Sabir, M., Akhtar, J., Hakeem, K.R., Eds.; University of Agriculture: Faisalabad, Pakistan, 2017; pp. 263–286. [Google Scholar]
- Ma, X.W.; Yang, Q.K.; Liu, B.Y. Assessment of China potential soil and water loss based on GIS. J. Soil Water Conserv. 2002, 16, 49–53. [Google Scholar]
- HWRI. Achieving the Harmonious Unity of “Green” and “Wealth”—A Discussion on Fully Implementing the Decision and Deployment of Water Conservancy Reform and Development. Hebei Water Resour. 2014, 8, 1. [Google Scholar]
- Wohlfart, C.; Kuenzer, C.; Chen, C.; Liu, G. Socia-lecological challenges in the Yellow River basin (China): A review. Environ. Earth Sci. 2016, 75, 1066. [Google Scholar] [CrossRef]
- Abiye, W. Soil and water conservation nexus agricultural productivity in Ethiopia. Adv. Agric. 2022, 2022, 8611733. [Google Scholar] [CrossRef]
- Karimi, Z.; Abdi, E.; Deljouei, A.; Cislaghi, A.; Shirvany, A.; Schwarz, M.; Hales, T.C. Vegetation-induced soil stabilization in coastal area: An example from a natural mangrove forest. Catena 2022, 216, 106410. [Google Scholar] [CrossRef]
- Adimassu, Z.; Langan, S.; Johnston, R.; Mekuria, W.; Amede, T. Impacts of soil and water conservation practices on crop yield, run-off, soil loss and nutrient loss in Ethiopia: Review and synthesis. Environ. Manag. 2017, 59, 87–101. [Google Scholar]
- Kassam, A.; Derpsch, R.; Friedrich, T. Global achievements in soil and water conservation: The case of Conservation Agriculture. Int. Soil Water Conserv. Res. 2014, 2, 5–13. [Google Scholar] [CrossRef]
- Wolka, K.; Moges, A.; Yimer, F. Farmers’ perception of the effects of soil and water conservation structures on crop production: The case of Bokole watershed, Southern Ethiopia. Afr. J. Environ. Sci. Technol. 2013, 7, 990–1000. [Google Scholar]
- Mwanake, H.; Mehdi-Schulz, B.; Schulz, K.; Kitaka, N.; Olang, L.O.; Lederer, J.; Herrnegger, M. Agricultural Practices and Soil and Water Conservation in the Transboundary Region of Kenya and Uganda: Farmers’ Perspectives of Current Soil Erosion. Agriculture 2023, 13, 1434. [Google Scholar]
- Jarray, F.; Hermassi, T.; Mechergui, M.; Zucca, C.; Le, Q.B. Long-Term Impact of Soil and Water Conservation Measures on Soil Erosion in a Tunisian Semi-Arid Watershed. Land 2023, 12, 1537. [Google Scholar] [CrossRef]
- Novara, A.; Cerda, A.; Barone, E.; Gristina, L. Cover crop management and water conservation in vineyard and olive orchards. Soil Tillage Res. 2021, 208, 104896. [Google Scholar] [CrossRef]
- Yaekob, T.; Tamene, L.; Gebrehiwot, S.G.; Demissie, S.S.; Adimassu, Z.; Woldearegay, K.; Mekonnen, K.; Amede, T.; Abera, W.; Recha, J.W.; et al. Assessing the impacts of different land uses and soil and water conservation interventions on runoff and sediment yield at different scales in the central highlands of Ethiopia. Renew. Agric. Food Syst. 2022, 37, S73–S87. [Google Scholar] [CrossRef]
- Jia, Y.G.; Xu, S.Z.; Xu, X.Q. Experimental study of introduction of Perennial Pea in Hebei Province. South-North Water Divers. Water Sci. Technol. 2012, 10, 153–157. [Google Scholar]
- Abdi, E.; Saleh, H.R.; Majnonian, B.; Deljouei, A. Soil fixation and erosion control by Haloxylon persicum roots in arid lands, Iran. J. Arid. Land 2019, 11, 86–96. [Google Scholar] [CrossRef]
- Deljouei, A.; Cislaghi, A.; Abdi, E.; Borz, S.A.; Majnounian, B.; Hales, T.C. Implications of hornbeam and beech root systems on slope stability: From field and laboratory measurements to modelling methods. Plant Soil 2023, 483, 547–572. [Google Scholar]
- Sadeghi, S.M.M.; Gordon, D.A.; Van Stan, J.T., II. A global synthesis of throughfall and stemflow hydrometeorology. In Precipitation Partitioning by Vegetation: A Global Synthesis; Springer: Cham, Switzerland, 2020; pp. 49–70. [Google Scholar]
- Nyawade, S.O.; Gachene, C.K.; Karanja, N.N.; Gitari, H.I.; Schulte-Geldermann, E.; Parker, M.L. Controlling soil erosion in smallholder potato farming systems using legume intercrops. Geoderma Reg. 2019, 17, e00225. [Google Scholar] [CrossRef]
- Lin, M.; Sadeghi, S.M.M.; Van Stan, J.T. Partitioning of rainfall and sprinkler-irrigation by crop canopies: A global review and evaluation of available research. Hydrology 2020, 7, 76. [Google Scholar] [CrossRef]
- Asfaw, A. Review on the role of soil and water conservation practices on soil properties improvement in Ethiopia. Int. J. Agric. Sci. Food Technol. 2022, 8, 225–231. [Google Scholar]
- Hu, J.Z. Evaluation of the adaptability of Lathyrus latifolius from USA to the Loess Plateau. Acta Prataculturae Sin. 2003, 12, 93–98. [Google Scholar]
- Hu, J.Z.; Yan, X.L.; Lei, Q.X.; Wang, Z.K.; Dang, W.Q. Experimental study on the introduction of excellent plants for soil conservation. Water Resour. Hydropower Eng. 2002, 33, 68–73. [Google Scholar]
- Zhang, H.Q.; Zhang, M.L.; Xin, Y.; Pu, B. Study of Perennial Pea introduced and taken in Loess Plateau. J. Soil Water Conserv. 2002, 17, 135–141. [Google Scholar]
- Gong, X.Y.; Zhang, C.Q. Analysis of nutrient composition and growth performance of wild meadow pea-vine in Guizhou. Guizhou Agric. Sci. 2005, 33, 88. [Google Scholar]
- Lei, Q.X.; Xie, D.J.; Chen, X.; Yu, Z. Experimental study on the introduction of excellent plants for soil conservation in the United States. J. Soil Water Conserv. 2004, 4, 14–16. [Google Scholar]
- Fan, X.L.; Kou, Q.; Wang, H.B.; Zhang, X.N. Study on salt tolerance of several introduced water conservation plants. Gansu Agric. Sci. Technol. 2004, 47–48. [Google Scholar] [CrossRef]
- Liu, F. Study on Evaluation of Cultivated Land Intensive Utilization in Mountain Area about Hebei Province—A Case Study of Laiyuan County. Master’s Thesis, Hebei Agricultural University, Baoding, China, 2011. [Google Scholar]
- Huang, T.S. Effects of Different Soil and Water Loss Control Measures on Surface Runoff and Soil Nutrients in Camellia Forest in Purple Soil Region. Master’s Thesis, Fujian Agriculture and Forestry University, Fuzhou, China, 2018. [Google Scholar]
- Test Specification of Soil and Water Conservation. Available online: https://www.doc88.com/p-1983438359602.html (accessed on 10 July 2023).
- Gelebo, A.H.; Kasiviswanthan, K.S.; Khare, D. A spatial-temporal assessment of groundwater development in response to soil erosion. Groundw. Sustain. Dev. 2022, 18, 100801. [Google Scholar] [CrossRef]
- Zhang, Y.; Zhang, B.; Xu, Q.; Gao, D.; Xu, W.; Ren, R.; Jiang, J.; Wang, S. The effects of plant and soil characteristics on partitioning different rainfalls to soil in a subtropical Chinese fir forest ecosystem. Forests 2022, 13, 123. [Google Scholar] [CrossRef]
- Rana, S.; Cheng, X.; Wu, Y.; Hu, C.; Jemim, R.S.; Liu, Z.; Wang, Y.; Cai, Q.; Geng, X.; Guo, X.; et al. Evaluation of soil and water conservation function in the Wugong mountain meadow based on the comprehensive index method. Heliyon 2022, 8, e11867. [Google Scholar] [CrossRef]
- Arthur, E.; Schjønning, P.; Moldrup, P.; Tuller, M.; de Jonge, L.W. Density and permeability of a loess soil: Long-term organic matter effect and the response to compressive stress. Geoderma 2013, 193, 236–245. [Google Scholar] [CrossRef]
- Huang, L.W. Influence of Different Vegetation Restoration Modes on Soil Physical Properties and Labile Carbon in Purple Soil Erosion Areas. Master’s Thesis, Fujian Agriculture and Forestry University, Fuzhou, China, 2015. [Google Scholar]
- Ling, Q.; Zhao, X.; Wu, P.; Gao, X.; Sun, W. Effect of the fodder species canola (Brassica napus L.) and daylily (Hemerocallis fulva L.) on soil physical properties and soil water content in a rainfed orchard on the semiarid Loess Plateau, China. Plant Soil 2020, 453, 209–228. [Google Scholar] [CrossRef]
- Kučera, A.; Samec, P.; Bajer, A.; Skene, K.R.; Vichta, T.; Vranová, V.; Meena, R.S.; Datta, R. Forest soil water in landscape context. In Soil Moisture Importance; IntechOpen: London, UK, 2020; Volume 45. [Google Scholar]
- Bai, Y.D. Study on Water Requirement Rule of Grown-Up Grapes and Micro-Irriagation Water-Waving Technology on Extreme Arid Region. Ph.D. Thesis, Xinjiang Agricultural University, Urumqi, China, 2011. [Google Scholar]
- Fischer, C.; Leimer, S.; Roscher, C.; Ravenek, J.; de Kroon, H.; Kreutziger, Y.; Baade, J.; Beßler, H.; Eisenhauer, N.; Weigelt, A.; et al. Plant species richness and functional groups have different effects on soil water content in a decade-long grassland experiment. J. Ecol. 2019, 107, 127–141. [Google Scholar] [CrossRef]
- Sun, X.S. Study on the Relationship Between Plant Communities and Soils in Different Types of Sandlands in Kubuqi Desert. Master’s Thesis, Inner Mongolia Normal University, Hohhot, China, 2010. [Google Scholar]
- Guderle, M.; Bachmann, D.; Milcu, A.; Gockele, A.; Bechmann, M.; Fischer, C.; Roscher, C.; Landais, D.; Ravel, O.; Devidal, S.; et al. Dynamic niche partitioning in root water uptake facilitates efficient water use in more diverse grassland plant communities. Funct. Ecol. 2018, 32, 214–227. [Google Scholar] [CrossRef]
- Cheng, Y.; Zhan, H.; Yang, W.; Dang, H.; Li, W. Is annual recharge coefficient a valid concept in arid and semi-arid regions? Hydrol. Earth Syst. Sci. 2017, 21, 5031–5042. [Google Scholar] [CrossRef]
- Song, B.Y. Study on Evapotranspiration from Plant Communities of the Steppe. Clim. Environ. Res. 1997, 3, 25–38. [Google Scholar]
- Nazari, M.; Sadeghi, S.M.M.; Van Stan, J.T., II; Chaichi, M.R. Rainfall interception and redistribution by maize farmland in central Iran. J. Hydrol. Reg. Stud. 2020, 27, 100656. [Google Scholar] [CrossRef]
- Hu, T.; Xiong, K.; Wang, J. Intercropping Peanut under Forests Can Reduce Soil N2O Emissions in Karst Desertification Control. Forests 2023, 14, 1652. [Google Scholar] [CrossRef]
- Boyle, M.; Frankenberger Jr, W.T.; Stolzy, L.H. The influence of organic matter on soil aggregation and water infiltration. J. Prod. Agric. 1989, 2, 290–299. [Google Scholar] [CrossRef]
- Ball, B.C.; Bingham, I.; Rees, R.M.; Watson, C.A.; Litterick, A. The role of crop rotations in determining soil structure and crop growth conditions. Can. J. Soil Sci. 2005, 85, 557–577. [Google Scholar] [CrossRef]
- Uteau, D.; Pagenkemper, S.K.; Peth, S.; Horn, R. Root and time dependent soil structure formation and its influence on gas transport in the subsoil. Soil Tillage Res. 2013, 132, 69–76. [Google Scholar]
- Fischer, C.; Tischer, J.; Roscher, C.; Eisenhauer, N.; Ravenek, J.; Gleixner, G.; Attinger, S.; Jensen, B.; de Kroon, H.; Mommer, L.; et al. Plant species diversity affects infiltration capacity in an experimental grassland through changes in soil properties. Plant Soil 2015, 397, 1–16. [Google Scholar] [CrossRef]
- Gould, I.J.; Quinton, J.N.; Weigelt, A.; De Deyn, G.B.; Bardgett, R.D. Plant diversity and root traits benefit physical properties key to soil function in grasslands. Ecol. Lett. 2016, 19, 1140–1149. [Google Scholar] [CrossRef] [PubMed]
- Barley, K.P. The root growth of irrigated perennial pastures and its effect on soil structure. Aust. J. Agric. Res. 1953, 4, 283–291. [Google Scholar] [CrossRef]
- Hurni, H.; Abate, S.; Bantider, A.; Debele, B.; Ludi, E.; Portner, B.; Yitaferu, B.; Zeleke, G. Land degradation and sustainable land management in the highlands of Ethiopia. In Global Change and Sustainable Development: A Synthesis of Regional Experiences from Research; University of Bern: Bern, Switzerland, 2010; pp. 187–207. [Google Scholar]






| Experimental Zones | Description |
|---|---|
| Yi County | The study area is located in the northern segment of the Taihang Mountains in Yi County, specifically in the village of Xiayuegezhuang (39°25′ N, 115°23′ E; about 130–180 m above sea level). This region is characterized by hilly terrain with slopes typically 15–20 degrees. The soil type is red, with varying thicknesses ranging from 10 to 20 cm, representing a typical low mountain arid region. The region has a temperate continental monsoon climate, with an annual mean temperature of 11.4–11.9 °C. The climate is characterized by arid conditions, with an annual precipitation of 450–600 mm and annual evaporation of 2100 mm. Approximately 80% of the rainfall occurs during July and August. The frost-free period spans approximately 170 days. |
| Suburban Areas of Shijiazhuang City | The study area was situated in the northwestern outskirts of Shijiazhuang City (114°26′ E, 38°0′ N, 84.818 m above sea level elevation), representing the central plain region of the alluvial fan at the foot of the Taihang Mountains. The soil predominantly consists of loamy soil, with a 0–40 cm tillage layer. The region experiences an annual average temperature of 12.8 °C, an average annual precipitation of 599 mm, 2758 h of sunshine annually, and a frost-free period lasting 194 days. |
| Zhuolu County | The study area was 1.5 km south of Zhuolu County, Zhangjiakou City (115°13′ E, 40°22′ N, elevation 524.6 m). The predominant soil type is sandy loam. It falls within the hilly region and experiences an inland monsoon climate. The annual average temperature is 8.8 °C, with an annual average rainfall of 390.5 mm and evaporation measures 785.9 mm—strong winds and dry conditions in spring, indicating a semi-arid to arid climate. Rainfall is concentrated mainly between July and September, with an annual average of 2875 h of sunshine and a frost-free period lasting 140 days. |
| She County | The study area was in the southern part of the Taihang Mountains, in Hui Li, She County, Handan City (113°26′ E, 36°17′ N, elevation 750.6 m). It falls within a mountain basin; the predominant soil type is sandy loam. The climate in this region is characterized as an inland monsoon climate with a prevalence of strong winds and dry conditions in the spring. The average temperature is 13 °C, with an annual rainfall of 560 mm. Rainfall is concentrated mainly between July and September, and the frost-free period lasts 185 days. |
| Age | Phenological Period | Maximum Water Absorption of Branches and Leaves | Canopy Intercepted Precipitation (mm) |
|---|---|---|---|
| 4 | Branching period | 31.42% | 0.712 |
| 4 | Initial flowering period | 26.40% | 0.95 |
| 5 | Branching period | 25.03% | 0.98 |
| Sample Quadrat (1 × 1 m) | Weight of Litter before Water Absorption (kg) | Weight of Litter after Water Absorption (kg) | Maximum Water Absorption Rate of Litter (%) | Litter Water Capacity (mm) |
|---|---|---|---|---|
| 1 | 0.452 | 1.696 | 2.75 | 1.244 |
| 2 | 0.344 | 1.28 | 2.72 | 0.936 |
| 3 | 0.32 | 1.188 | 2.71 | 0.868 |
| Average | 0.372 | 1.388 | 2.73 | 1.016 |
| Rainfall Intensity | Runoff (m3) | Sediment Content (kg/m3) | ||||
|---|---|---|---|---|---|---|
| Bare Ground (CK) | Natural Vegetation Plot | Perennial Sweet Pea Plot | Bare Ground (CK) | Natural Vegetation Plot | Perennial Sweet Pea Plot | |
| Severe Rainstorm | 0.4315 | 0.0715 | 0.0415 | 1.39 | 0.04 | 0.00 |
| Heavy Rainfall | 0.09192 | 0.06192 | 0.06192 | 0 | 0 | 0 |
| Soil Layer | Soil Gravity | Dry Soil Bulk Density (g/cm3) | Total Porosity | Capillary Porosity | Non-Capillary Porosity |
|---|---|---|---|---|---|
| Perennial Sweet Pea Plot | 2.6041 | 1.38 | 46.88% | 31.23% | 15.64% |
| Bare Ground (CK) | 2.6728 | 1.49 | 44.33% | 33.60% | 10.73% |
| Natural Vegetation Plot | 2.6035 | 1.48 | 43.24% | 33.37% | 9.87% |
Disclaimer/Publisher’s Note: The statements, opinions and data contained in all publications are solely those of the individual author(s) and contributor(s) and not of MDPI and/or the editor(s). MDPI and/or the editor(s) disclaim responsibility for any injury to people or property resulting from any ideas, methods, instructions or products referred to in the content. |
© 2023 by the authors. Licensee MDPI, Basel, Switzerland. This article is an open access article distributed under the terms and conditions of the Creative Commons Attribution (CC BY) license (https://creativecommons.org/licenses/by/4.0/).
Share and Cite
Shi, L.; Dai, C.; Maruthaveeran, S. Application of Perennial Sweet Pea in Soil and Water Conservation. Appl. Sci. 2023, 13, 11075. https://doi.org/10.3390/app131911075
Shi L, Dai C, Maruthaveeran S. Application of Perennial Sweet Pea in Soil and Water Conservation. Applied Sciences. 2023; 13(19):11075. https://doi.org/10.3390/app131911075
Chicago/Turabian StyleShi, Lin, Chenyang Dai, and Sreetheran Maruthaveeran. 2023. "Application of Perennial Sweet Pea in Soil and Water Conservation" Applied Sciences 13, no. 19: 11075. https://doi.org/10.3390/app131911075
APA StyleShi, L., Dai, C., & Maruthaveeran, S. (2023). Application of Perennial Sweet Pea in Soil and Water Conservation. Applied Sciences, 13(19), 11075. https://doi.org/10.3390/app131911075

