Study on Mechanical Properties of Sulfate Saline Soil Improved by CLI-Type Polymer Active Agent
Abstract
:1. Introduction
2. Materials and Methods
2.1. Polymer Active Agent
2.2. Tested Soil
2.3. Test Methods
2.3.1. Triaxial Compression Test
2.3.2. Soluble Salt Content Test
3. Results
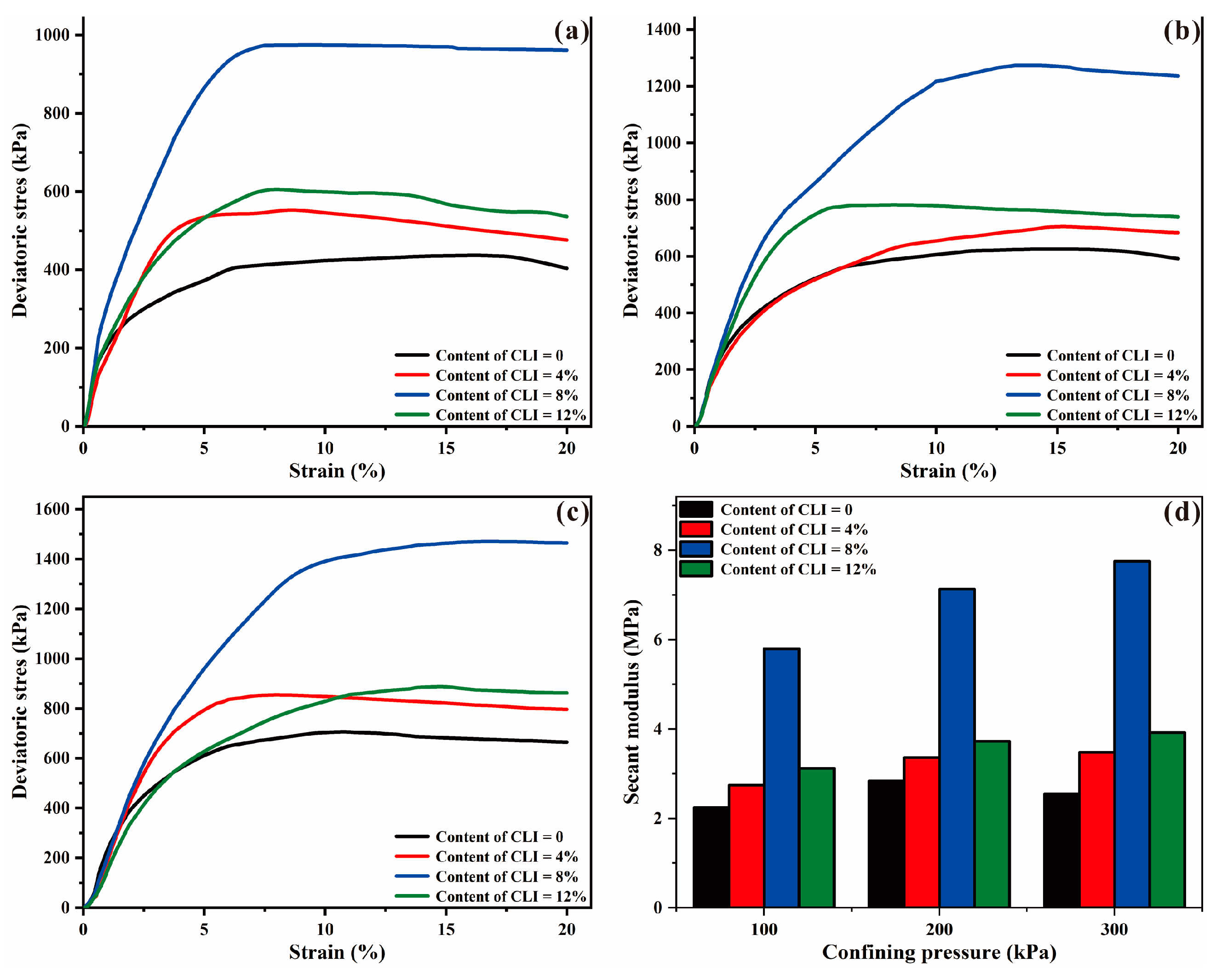
3.1. Triaxial Shear Test
3.2. Shear Strength Parameters
3.3. Effect of CLI Content and Curing Time on Sodium Sulfate Content in the Soil
4. Discussion
5. Conclusions
Author Contributions
Funding
Institutional Review Board Statement
Informed Consent Statement
Data Availability Statement
Acknowledgments
Conflicts of Interest
References
- Adjuik, T.A.; Nokes, S.E.; Montross, M.D.; Wendroth, O. The Impacts of Bio-Based and Synthetic Hydrogels on Soil Hydraulic Properties: A Review. Polymers 2022, 14, 4721. [Google Scholar] [CrossRef] [PubMed]
- Alonso, J.; Moya, M.; Navarro, V.; Asensio, L.; Antonio Aguado, J. Temperature effect on gypsum-bearing soil and supported (building) foundations: The case of the central storage facility of Villar de Canas, Spain. Eng. Geol. 2021, 284, 106049. [Google Scholar] [CrossRef]
- An, Y.; Gao, Y.; Zhang, Y.; Tong, S.; Liu, X. Early establishment of Suaeda salsa population as affected by soil moisture and salinity: Implications for pioneer species introduction in saline-sodic wetlands in Songnen Plain, China. Ecol. Indic. 2019, 107, 105654. [Google Scholar] [CrossRef]
- Baldovino, J.A.; Moreira, E.B.; Teixeira, W.; Izzo, R.L.; Rose, J.L. Effects of lime addition on geotechnical properties of sedimentary soil in Curitiba, Brazil. J. Rock Mech. Geotech. Eng. 2018, 10, 188–194. [Google Scholar] [CrossRef]
- Ceylan, H.; Kim, S.; Gopalakrishnan, K. Sustainable utilization of bio-fuel co-product in roadbed stabilization. In Sustainable Bioenergy and Bioproducts; Springer: London, UK, 2012; pp. 117–129. [Google Scholar] [CrossRef]
- Wang, S.; Chen, S.; Zommorodi, M.; Fritz, E.; Hüttermann, A. Hydrogel modified uptake of salt ions and calcium in Populus euphratica under saline conditions. Trees 2004, 18, 175–183. [Google Scholar] [CrossRef]
- Feng, W.; Gao, J.; Cen, R.; Yang, F.; He, Z.; Wu, J.; Miao, Q.; Liao, H. Effects of polyacrylamide-based super absorbent polymer and corn straw biochar on the arid and semi-arid salinized soil. Agriculture 2020, 10, 519. [Google Scholar] [CrossRef]
- Han, M.; Wang, Q.; Han, Y.; Fu, H.; Shen, J.; Liu, Y. Description of different cracking processes affecting dispersive saline soil slopes subjected to the effects of frost and consequences for the stability of low slopes. Bull. Eng. Geol. Environ. 2022, 81, 75. [Google Scholar] [CrossRef]
- Hunter, D. Lime-induced heave in sulfate-bearing clay soils. J. Geotech. Eng. 1988, 114, 150–167. [Google Scholar] [CrossRef]
- Indraratna, B.; Muttuvel, T.; Khabbaz, H. Modelling the erosion rate of chemically stabilized soil incorporating tensile force—Deformation characteristics. Can. Geotech. J. 2009, 46, 57–68. [Google Scholar] [CrossRef]
- Infurna, G.; Caruso, G.; Dintcheva, N.T. Sustainable Materials Containing Biochar Particles: A Review. Polymers 2023, 15, 343. [Google Scholar] [CrossRef]
- Lenoir, I.; Fontaine, J.; Sahraoui, A.L.-H. Arbuscular mycorrhizal fungal responses to abiotic stresses: A review. Phytochemistry 2016, 123, 4–15. [Google Scholar] [CrossRef]
- Leogrande, R.; Vitti, C. Use of organic amendments to reclaim saline and sodic soils: A review. Arid. Land Res. Manag. 2019, 33, 1–21. [Google Scholar] [CrossRef]
- Li, J.; Wang, J. Integrated life cycle assessment of improving saline-sodic soil with flue gas desulfurization gypsum. J. Clean. Prod. 2018, 202, 332–341. [Google Scholar] [CrossRef]
- Liao, M.; Lai, Y.; Wang, C. A strength criterion for frozen sodium sulfate saline soil. Can. Geotech. J. 2016, 53, 1176–1185. [Google Scholar] [CrossRef]
- Liu, S.; Hou, X.; Yang, M.; Cheng, F.; Coxixo, A.; Wu, X.; Zhang, Y. Factors driving the relationships between vegetation and soil properties in the Yellow River Delta, China. CATENA 2018, 165, 279–285. [Google Scholar] [CrossRef]
- Mazloom, N.; Khorassani, R.; Zohuri, G.H.; Emami, H.; Whalen, J. Development and characterization of lignin-based hydrogel for use in agricultural soils: Preliminary evidence. CLEAN–Soil Air Water 2019, 47, 1900101. [Google Scholar] [CrossRef]
- Rogovska, N.; Laird, D.A.; Rathke, S.J.; Karlen, D.L. Biochar impact on Midwestern Mollisols and maize nutrient availability. Geoderma 2014, 230–231, 340–347. [Google Scholar] [CrossRef]
- Saifullah; Dahlawi, S.; Naeem, A.; Rengel, Z.; Naidu, R. Biochar application for the remediation of salt-affected soils: Challenges and opportunities. Sci. Total Environ. 2018, 625, 320–335. [Google Scholar] [CrossRef]
- Shahba, M.A.; Qian, Y.L.; Lair, K.D. Improving seed germination of saltgrass under saline conditions. Crop Sci. 2008, 48, 756–762. [Google Scholar] [CrossRef]
- Shi, D.; Sheng, Y. Effect of various salt–alkaline mixed stress conditions on sunflower seedlings and analysis of their stress factors. Environ. Exp. Bot. 2005, 54, 8–21. [Google Scholar] [CrossRef]
- Shihab, A.M.; Abbas, J.M.; Ibrahim, A.M. Effects of temperature in different initial duration time for soft clay stabilized by fly ash based geopolymer. Civ. Eng. J. 2018, 4, 2082–2096. [Google Scholar] [CrossRef]
- Singh, D.; Kumar, A. Geo-environmental application of municipal solid waste incinerator ash stabilized with cement. J. Rock Mech. Geotech. Eng. 2017, 9, 370–375. [Google Scholar] [CrossRef]
- Smith, S.E.; Barker, S.J.; Zhu, Y.-G. Fast moves in arbuscular mycorrhizal symbiotic signalling. Trends Plant Sci. 2006, 11, 369–371. [Google Scholar] [CrossRef] [PubMed]
- Sreekrishnavilasam, A.; Rahardja, S.; Kmetz, R.; Santagata, M. Soil treatment using fresh and landfilled cement kiln dust. Constr. Build. Mater. 2007, 21, 318–327. [Google Scholar] [CrossRef]
- Wan, X.; Hu, Q.; Liao, M. Salt crystallization in cold sulfate saline soil. Cold Reg. Sci. Technol. 2017, 137, 36–47. [Google Scholar] [CrossRef]
- Wang, Y.; Lu, Y.; Liu, J.; Ma, X.; Qi, C.; Chen, Z. Monitoring and characterization of the polymer-filled pores in sand using nuclear magnetic resonance during air-drying. Constr. Build. Mater. 2022, 337, 127568. [Google Scholar] [CrossRef]
- Wei, L.; Chai, S.; Guo, Q.; Wang, P.; Li, F. Mechanical properties and stabilizing mechanism of stabilized saline soils with four stabilizers. Bull. Eng. Geol. Environ. 2020, 79, 5341–5354. [Google Scholar] [CrossRef]
- Widjajakusuma, J.; Winata, H. Influence of rice husk ash and clay in stabilization of silty soils using cement. In MATEC Web of Conferences; EDP Sciences: Les Ulis, France, 2017; p. 04004. [Google Scholar] [CrossRef]
- Wong, V.N.; Dalal, R.C.; Greene, R.S. Carbon dynamics of sodic and saline soils following gypsum and organic material additions: A laboratory incubation. Appl. Soil Ecol. 2009, 41, 29–40. [Google Scholar] [CrossRef]
- Xia, J.; Ren, J.; Zhang, S.; Wang, Y.; Fang, Y. Forest and grass composite patterns improve the soil quality in the coastal saline-alkali land of the Yellow River Delta, China. Geoderma 2019, 349, 25–35. [Google Scholar] [CrossRef]
- Xiao, Q.; Zhu, L.-X.; Shen, Y.-F.; Li, S.-Q. Sensitivity of soil water retention and availability to biochar addition in rainfed semi-arid farmland during a three-year field experiment. Field Crops Res. 2016, 196, 284–293. [Google Scholar] [CrossRef]
- Yu, B.; El-Zein, A. Water characteristic curves of geosynthetic clay liners hydrated by a saline solution. Geosynth. Int. 2021, 28, 144–157. [Google Scholar] [CrossRef]
- Zhang, Q.; Song, Y.; Wu, Z.; Yan, X.; Gunina, A.; Kuzyakov, Y.; Xiong, Z. Effects of six-year biochar amendment on soil aggregation, crop growth, and nitrogen and phosphorus use efficiencies in a rice-wheat rotation. J. Clean. Prod. 2020, 242, 118435. [Google Scholar] [CrossRef]
- Zhang, T.; Cai, G.; Liu, S. Reclaimed lignin-stabilized silty soil: Undrained shear strength, atterberg limits, and microstructure characteristics. J. Mater. Civ. Eng. 2018, 30, 04018277. [Google Scholar] [CrossRef]
- Zhang, T.; Deng, Y.; Lan, H.; Zhang, F.; Zhang, H.; Wang, C.; Tan, Y.; Yu, R. Experimental investigation of the compactability and cracking behavior of polyacrylamide-treated saline soil in Gansu province, China. Polymers 2019, 11, 90. [Google Scholar] [CrossRef]
- Zhang, T.; Liu, S.; Cai, G.; Puppala, A.J. Experimental investigation of thermal and mechanical properties of lignin treated silt. Eng. Geol. 2015, 196, 1–11. [Google Scholar] [CrossRef]
- Zhang, W.; Ma, J.; Tang, L. Experimental study on shear strength characteristics of sulfate saline soil in Ningxia region under long-term freeze-thaw cycles. Cold Reg. Sci. Technol. 2019, 160, 48–57. [Google Scholar] [CrossRef]
- Zhang, W.; Wang, C.; Liu, M.; Yu, Y. Integrated reclamation of saline soil nitrogen transformation in the hyphosphere by earthworms and arbuscular mycorrhizal fungus. Appl. Soil Ecol. 2019, 135, 137–146. [Google Scholar] [CrossRef]
- Zhang, J.; Wang, Q.; Mu, W.; Wei, K.; Guo, Y.; Sun, Y. Experimental Investigation of the Different Polyacrylamide Dosages on Soil Water Movement under Brackish Water Infiltration. Polymers 2022, 14, 2495. [Google Scholar] [CrossRef]
- GB/T 50123-2019; Standard for Geotechnical Testing Method. China Planning Press: Beijing, China, 2019.









| Confining Pressure (kPa) | Curing Period (Day) | Peak Deviatoric Stress (kPa) | |||
|---|---|---|---|---|---|
| 0% | 4% | 8% | 12% | ||
| 100 | 1 | 436.25 | 511.89 | 969.43 | 568.37 |
| 3 | 462.22 | 588.37 | 1159.71 | 905.82 | |
| 7 | 532.38 | 658.66 | 1294.08 | 1111.63 | |
| 14 | 551.66 | 708.78 | 1321.26 | 1128.24 | |
| 200 | 1 | 625.73 | 704.65 | 1292.26 | 1126.90 |
| 3 | 621.36 | 759.06 | 1402.02 | 1172.51 | |
| 7 | 678.27 | 836.29 | 1578.68 | 1378.64 | |
| 14 | 703.57 | 1048.52 | 1770.43 | 1460.54 | |
| 300 | 1 | 682.43 | 821.99 | 1463.42 | 887.69 |
| 3 | 781.92 | 912.32 | 1622.21 | 1021.21 | |
| 7 | 812.43 | 1018.81 | 1824.41 | 1251.76 | |
| 14 | 824.73 | 1165.35 | 1956.54 | 1324.65 | |
Disclaimer/Publisher’s Note: The statements, opinions and data contained in all publications are solely those of the individual author(s) and contributor(s) and not of MDPI and/or the editor(s). MDPI and/or the editor(s) disclaim responsibility for any injury to people or property resulting from any ideas, methods, instructions or products referred to in the content. |
© 2023 by the authors. Licensee MDPI, Basel, Switzerland. This article is an open access article distributed under the terms and conditions of the Creative Commons Attribution (CC BY) license (https://creativecommons.org/licenses/by/4.0/).
Share and Cite
Zhu, X.; Yang, Z.; Zheng, J.; Liu, J.; Bu, F.; Dai, C.; Lu, Y. Study on Mechanical Properties of Sulfate Saline Soil Improved by CLI-Type Polymer Active Agent. Appl. Sci. 2023, 13, 10727. https://doi.org/10.3390/app131910727
Zhu X, Yang Z, Zheng J, Liu J, Bu F, Dai C, Lu Y. Study on Mechanical Properties of Sulfate Saline Soil Improved by CLI-Type Polymer Active Agent. Applied Sciences. 2023; 13(19):10727. https://doi.org/10.3390/app131910727
Chicago/Turabian StyleZhu, Xufen, Zhuoqun Yang, Jiaqiang Zheng, Jin Liu, Fan Bu, Chengjiang Dai, and Yipin Lu. 2023. "Study on Mechanical Properties of Sulfate Saline Soil Improved by CLI-Type Polymer Active Agent" Applied Sciences 13, no. 19: 10727. https://doi.org/10.3390/app131910727
APA StyleZhu, X., Yang, Z., Zheng, J., Liu, J., Bu, F., Dai, C., & Lu, Y. (2023). Study on Mechanical Properties of Sulfate Saline Soil Improved by CLI-Type Polymer Active Agent. Applied Sciences, 13(19), 10727. https://doi.org/10.3390/app131910727

