Identification and Evolutionary Characteristics of Major Fractures in Beishan Granite
Abstract
:1. Introduction
2. Experimental Equipment and Methodology
2.1. Experimental Equipment
2.2. Experimental Methodology
3. Analysis of Test Results
3.1. Basic Mechanical Properties
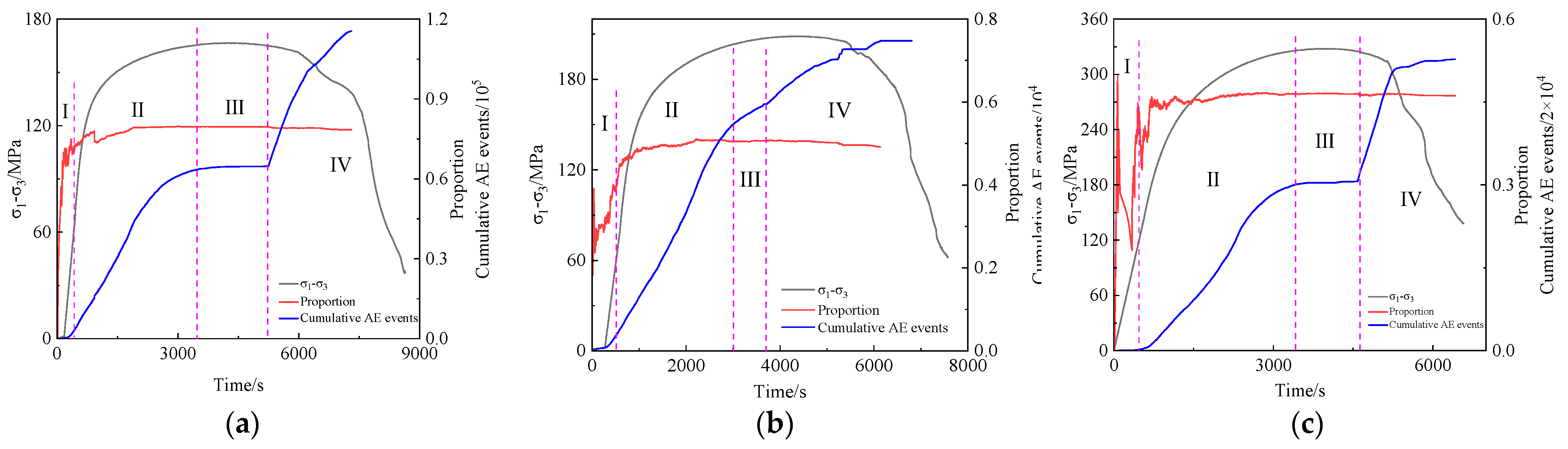
3.2. Characteristics of AE
4. Evolutionary Characteristics of Major Fractures
4.1. DBSACN Algorithm
- (1)
- ε-neighborhood: A region within a radius of ε around an object is called the ε-neighborhood of the object.
- (2)
- Core object: An object is considered as a core object if the number of sample points within its ε-neighborhood is greater than or equal to minPts.
- (3)
- Directly density-reachable: For a given set D, if point q is within the ε-neighborhood of p, and p is a core object, then q is directly density-reachable from p.
- (4)
- Density-reachable: For a given set D, if there is a sequence of sample points p1, p2, …, pn, where p = p1 and q = pn, and if each object pi is directly density-reachable from pi-1, then q is density-reachable from p.
- (5)
- Density-connected: Points p and q are density-connected if p and q are directly density-reachable from o.
- (1)
- Core point: These are points whose number of samples in the ε-neighborhood is greater than or equal to minPts.
- (2)
- Border point: These are points whose number of samples in the ε-neighborhood is less than minPts, but the points can be obtained from some core points (density-reachable, or directly density-reachable).
- (3)
- Outlier: Points that are neither core points nor boundary points are referred to as outliers or noise points.
4.2. Method for Determining DBSCAN Parameters
- (1)
- The distances between objects in the set D are calculated to obtain the distance matrix Distn×n
- (2)
- Each row of the matrix Distn×n is sorted in an ascending order. Each row represents a ranking of the distances from the corresponding data point to all the other points. After sorting, Distn×k will be a collection of the k-th closest distance values to each data point.
- (3)
- Column of the matrix Distn×n is sorted in an ascending order, and the curve graph of the k-th column (referred to as the k-curve) is plotted. The distance corresponding to the steep inflection point of the k-curve is the ε determined using the k-nearest neighbor distance method. By analyzing the change in the steep inflection points as k increases, it is observed that after a certain threshold, steep inflection points of k-curve concentrate in a specific region; this indicates that with the increase in k, outlier points remains essentially the same, and both the clustering point and outlier point detection results tend to stabilize (Ester et al. [22]). The distance value corresponding to the region of concentration of steep inflection points in the k-curve is taken as the ε value.
- (4)
- The expectation method is used to generate MinPts. For ε, the number of objects within the ε-neighborhood of each data point is calculated sequentially. The mathematical expectation of the number within ε-neighborhoods for all data points is then computed, and this value is taken as the MinPts for set D.
4.3. DBSCAN Parameters and Major Fractures
4.4. Characteristics of the Variation in the Quantity of Main Fractures
4.5. b-Values of Acoustic Emissions for Major Fracture
5. Identification and Prediction of Major Fractures
5.1. Methods for Major Fractures Identification
5.2. Results of the Main Rupture Prediction
6. Conclusions
- (1)
- As the confining pressure increases, categories of fracture reduce, the proportion of major and non-major fractures decrease, and the proportion of outlier fractures increases;
- (2)
- During the initial phase, the proportion of major fractures AE significantly fluctuates, while during the active phase, proportion of major fracture AE generally increases. The proportion of major fracture AE remains relatively constant during the calm phase, and slightly decreases in the destructive phase;
- (3)
- The variation in the b-value of major fractures during the process of rock failure can be divided into three stages—increase, decrease, and secondary increase—which indicates that microcracks in rocks also has the self-similarity aspect of the seismic process;
- (4)
- A rock major fracture identification model was established based on a BP neural network, and the model’s accuracy rate of major fracture identification was 87.22%.
Author Contributions
Funding
Institutional Review Board Statement
Informed Consent Statement
Data Availability Statement
Conflicts of Interest
References
- Das, R.; Singh, T.N. A novel technique for temporal evolution of rockburst in underground rock tunnel: An experimental study. Environ. Earth Sci. 2022, 81, 420. [Google Scholar] [CrossRef]
- Jin, H.; Gao, B.; Shen, Y. Model analysis of sandstone tunnel cracking based on fracture mechanics theory and sensor testing technology research. J. Sens. 2022, 2022, 2482638. [Google Scholar] [CrossRef]
- Zhang, L.; Chao, W.; Liu, Z.; Cong, Y.; Wang, Z. Crack propagation characteristics during progressive failure of circular tunnels and the early warning thereof based on multi-sensor data fusion. Geomech. Geophys. Geo-Energy Geo-Resour. 2022, 8, 172. [Google Scholar] [CrossRef]
- Manuello, A.; Niccolini, G.; Carpinteri, A. AE monitoring of a concrete arch road tunnel: Damage evolution and localization. Eng. Fract. Mech. 2019, 210, 279–287. [Google Scholar] [CrossRef]
- Huang, Y.; Yang, S.; Ranjith, P.G.; Zhao, J. Strength failure behavior and crack evolution mechanism of granite containing pre-existing non-coplanar holes: Experimental study and particle flow modeling. Comput. Geotech. 2017, 88, 182–198. [Google Scholar] [CrossRef]
- Belikov, V.T.; Kozlova, I.A.; Ryvkin, D.G.; Yurkov, A.K. The character of evolution of rock fracture processes from observations of acoustic emission and time variations in radon volumetric activity. Izv. Phys. Solid Earth 2020, 56, 425–436. [Google Scholar] [CrossRef]
- Damaskinskaya, E.E.; Hilarov, V.L.; Panteleev, I.A.; Gafurova, D.R.; Frolov, D.I. Statistical regularities of formation of a main crack in a structurally inhomogeneous material under various deformation conditions. Phys. Solid State 2018, 60, 1821–1826. [Google Scholar] [CrossRef]
- Panteleev, I.A. Analysis of the seismic moment tensor of acoustic emission: Granite fracture micromechanisms during three-point bending. Acoust. Phys. 2020, 66, 653–665. [Google Scholar] [CrossRef]
- Hou, X.; Zhai, H.; Wang, C.; Wang, T.; He, X.; Sun, X.; Bai, Z.; Zhou, B.; Li, X. Spatial Characterization of Single-Cracked Space Based on Microcrack Distribution in Sandstone Failure. Appl. Sci. 2023, 13, 1462. [Google Scholar] [CrossRef]
- Damaskinskaya, E.E.; Panteleev, I.A.; Kadomtsev, A.G.; Naimark, O.B. Effect of the state of internal boundaries on granite fracture nature under quasi-static compression. Phys. Solid State 2017, 59, 944–954. [Google Scholar] [CrossRef]
- Wang, T.; Wang, L.; Xue, F.; Xue, M. Identification of crack development in granite under triaxial compression based on the acoustic emission signal. Int. J. Distrib. Sens. Netw. 2021, 17, 1550147720986116. [Google Scholar] [CrossRef]
- Nakayama, S.; Watanabe, Y.; Kato, M. Regulatory research for geological disposal of high-level radioactive waste in Japan. In Proceedings of the 13th International Conference on Environmental Remediation and Radioactive Waste Management, Tsukuba, Japan, 3–7 October 2010. [Google Scholar]
- Kitamura, A.; Doi, R.; Yoshida, Y. Evaluated and estimated solubility of some elements for performance assessment of geological disposal of high-level radioactive waste using updated version of thermodynamic database. In Proceedings of the 13th International Conference on Environmental Remediation and Radioactive Waste Management, Tsukuba, Japan, 3–7 October 2010. [Google Scholar]
- Ren, M.; Zhang, Q.; Liu, C.; Wu, D.; Ding, Y. The elastic–plastic damage analysis of underground research laboratory excavation for disposal of high level radioactive waste. Geotech. Geol. Eng. 2019, 37, 1793–1811. [Google Scholar] [CrossRef]
- Wang, J.; Su, R.; Chen, W.; Guo, Y.; Jin, Y.; Wen, Z.; Liu, Y. Deep geological disposal of high-level radioactive wastes in China. Chin. J. Rock Mech. Eng. 2006, 25, 649–658. [Google Scholar]
- Rao, Z.; Li, G.; Liu, X.; Liu, P.; Li, H.; Liu, S.; Zhu, M.; Guo, C.; Ni, F.; Gong, Z.; et al. Fault activity in clay rock site candidate of high level radioactive waste repository, Tamusu, Inner Mongolia. Minerals 2021, 11, 941. [Google Scholar] [CrossRef]
- Wu, Y.; Li, X.; Huang, Z.; Xue, S. Effect of temperature on physical, mechanical and acoustic emission properties of Beishan granite, Gansu Province, China. Nat. Hazards 2021, 107, 1577–1592. [Google Scholar] [CrossRef]
- Zhou, H.; Wang, Z.; Wang, C.; Liu, J. On acoustic emission and post-peak energy evolution in Beishan granite under cyclic loading. Rock Mech. Rock Eng. 2019, 52, 283–288. [Google Scholar] [CrossRef]
- Miao, S.; Pan, P.; Zhao, X.; Shao, C.; Yu, P. Experimental study on damage and fracture characteristics of Beishan granite subjected to high-temperature treatment with DIC and AE techniques. Rock Mech. Rock Eng. 2021, 54, 721–743. [Google Scholar] [CrossRef]
- Zhao, X.; Wang, J.; Cai, M.; Cheng, C.; Ma, L.; Su, R.; Zhao, F.; Li, D. Influence of unloading rate on the strainburst characteristics of Beishan granite under true-triaxial unloading conditions. Rock Mech. Rock Eng. 2014, 47, 467–483. [Google Scholar] [CrossRef]
- Wang, C.; Liu, J.; Zhao, Y.; Han, S. Mechanical properties and fracture evolution process of Beishan granite under tensile state. Bull. Eng. Geol. Environ. 2022, 81, 274. [Google Scholar] [CrossRef]
- Ester, M.; Kriegel, H.-P.; Sander, J.; Xu, X. A density-based algorithm for discovering clusters in large spatial databases with noise. In Proceedings of the Knowledge Discovery and Data Mining; AAAI Press: Portland, OR, USA, 1996; pp. 226–231. [Google Scholar]
- Gutenberg, B.; Richter, C.F. Frequency of earthquakes in California. Bull. Seismol. Soc. Am. 1944, 34, 185–188. [Google Scholar] [CrossRef]
- Mogi, K. Two kinds of seismic gaps. Pure Appl. Geophys. 1979, 117, 1172–1186. [Google Scholar] [CrossRef]
- Kohonen, T. An introduction to neural computing. Neural Netw. 1988, 1, 3–16. [Google Scholar] [CrossRef]












| Numbers | 1 | 2 | 3 | 4 | 5 | 6 | 7 | 8 |
|---|---|---|---|---|---|---|---|---|
| x (mm) | 0 | 180 | 0 | −180 | 0 | 180 | 0 | −180 |
| y (mm) | 140 | 140 | 140 | 140 | 0 | 0 | 0 | 0 |
| z (mm) | 180 | 0 | −180 | 0 | 180 | 0 | −180 | 0 |
| σ3/MPa | σci/MPa | σcd/MPa | σf/MPa | σci/σf | σcd/σf | σci/σcd |
|---|---|---|---|---|---|---|
| 1-1 | 67.16 | 117.91 | 166.62 | 0.403 | 0.707 | 0.569 |
| 1-2 | 80.11 | 159.78 | 208.13 | 0.385 | 0.768 | 0.501 |
| 1-3 | 122.59 | 267.60 | 328.81 | 0.373 | 0.814 | 0.458 |
| Number | ε | minPts | Number of Categories | Main Fractures | Non-Main Fractures | Outlier Fracture | Proportion of Main Failures % | Proportion of Non-Main Fractures % | Proportion of Outlier Fracture % |
|---|---|---|---|---|---|---|---|---|---|
| 1-1 | 5 | 45.39 | 4 | 9067 | 154 | 2330 | 79.56 | 1.33 | 20.17 |
| 1-2 | 5.5 | 34.49 | 2 | 3675 | 48 | 3756 | 49.40 | 0.64 | 50.22 |
| 1-3 | 5 | 45.91 | 1 | 4868 | 0 | 5683 | 46.14 | 0.00 | 53.86 |
| Specimens | b Value | Time/s | Stress/MPa |
|---|---|---|---|
| 1-1 | increasing stage | 0–2553.12 | 0–161.49 |
| decreasing stage | 2553.12–6268.07 | 161.49–156.33 | |
| secondary increasing stage | 6268.07–end | 156.33–end | |
| 1-2 | increasing stage | 0–2211.79 | 0–193.88 |
| decreasing stage | 2211.79–4981.08 | 193.88–207.72 | |
| secondary increasing stage | 4981.08–end | 207.72–end | |
| 1-3 | increasing stage | 0–1678.52 | 0–282.86 |
| decreasing stage | 1678.52–4981.78 | 282.86–318.31 | |
| secondary increasing stage | 4981.78–end | 318.31–end |
| Specimen | Accuracy for Traindata/% | Accuracy for Testdata/% | ||||
|---|---|---|---|---|---|---|
| Whole | Main Fracture | Other Fracture | Whole | Main Fracture | Other Fracture | |
| 1-1 | 96.33 | 95.70 | 96.96 | 95.18 | 93.33 | 97.00 |
| 1-2 | 81.25 | 78.75 | 83.75 | 76.67 | 83.68 | 69.67 |
| 1-3 | 78.83 | 88.30 | 69.35 | 76.67 | 84.67 | 68.67 |
| Average Value | 85.47 | 87.58 | 83.35 | 82.83 | 87.22 | 78.44 |
Disclaimer/Publisher’s Note: The statements, opinions and data contained in all publications are solely those of the individual author(s) and contributor(s) and not of MDPI and/or the editor(s). MDPI and/or the editor(s) disclaim responsibility for any injury to people or property resulting from any ideas, methods, instructions or products referred to in the content. |
© 2023 by the authors. Licensee MDPI, Basel, Switzerland. This article is an open access article distributed under the terms and conditions of the Creative Commons Attribution (CC BY) license (https://creativecommons.org/licenses/by/4.0/).
Share and Cite
Wang, C.; Wan, H.; Ren, W.; Ma, J. Identification and Evolutionary Characteristics of Major Fractures in Beishan Granite. Appl. Sci. 2023, 13, 10355. https://doi.org/10.3390/app131810355
Wang C, Wan H, Ren W, Ma J. Identification and Evolutionary Characteristics of Major Fractures in Beishan Granite. Applied Sciences. 2023; 13(18):10355. https://doi.org/10.3390/app131810355
Chicago/Turabian StyleWang, Chaosheng, Hao Wan, Weiguang Ren, and Jianjun Ma. 2023. "Identification and Evolutionary Characteristics of Major Fractures in Beishan Granite" Applied Sciences 13, no. 18: 10355. https://doi.org/10.3390/app131810355
APA StyleWang, C., Wan, H., Ren, W., & Ma, J. (2023). Identification and Evolutionary Characteristics of Major Fractures in Beishan Granite. Applied Sciences, 13(18), 10355. https://doi.org/10.3390/app131810355

