Bearing Capacity of Foundation and Soil Arching in Rigid Floating Piled Embankments: Numerical Study
Abstract
:1. Introduction
2. Numerical Modeling
2.1. Model Discretization
2.2. Boundary Condition
2.3. Interaction
2.4. Model Validation
2.4.1. A Trial Embankment in Rio de Janeiro
2.4.2. A Highway Embankment in Shanghai
3. Bearing Capacity of Foundation
3.1. Calculation Methodology
3.2. Numerical Analysis
4. Parametric Studies
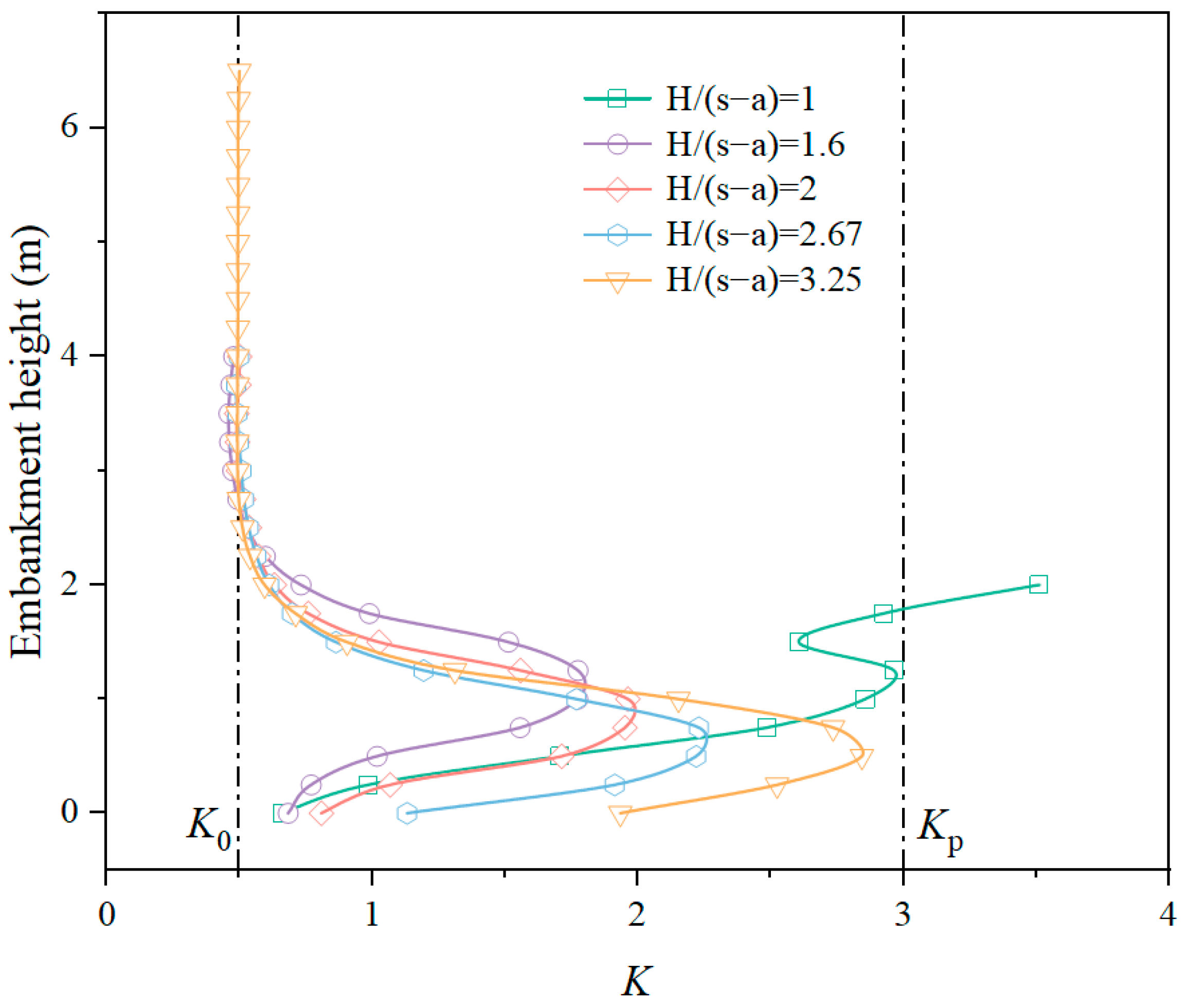
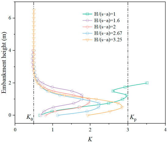
4.1. Embankment Height and Pile Spacing
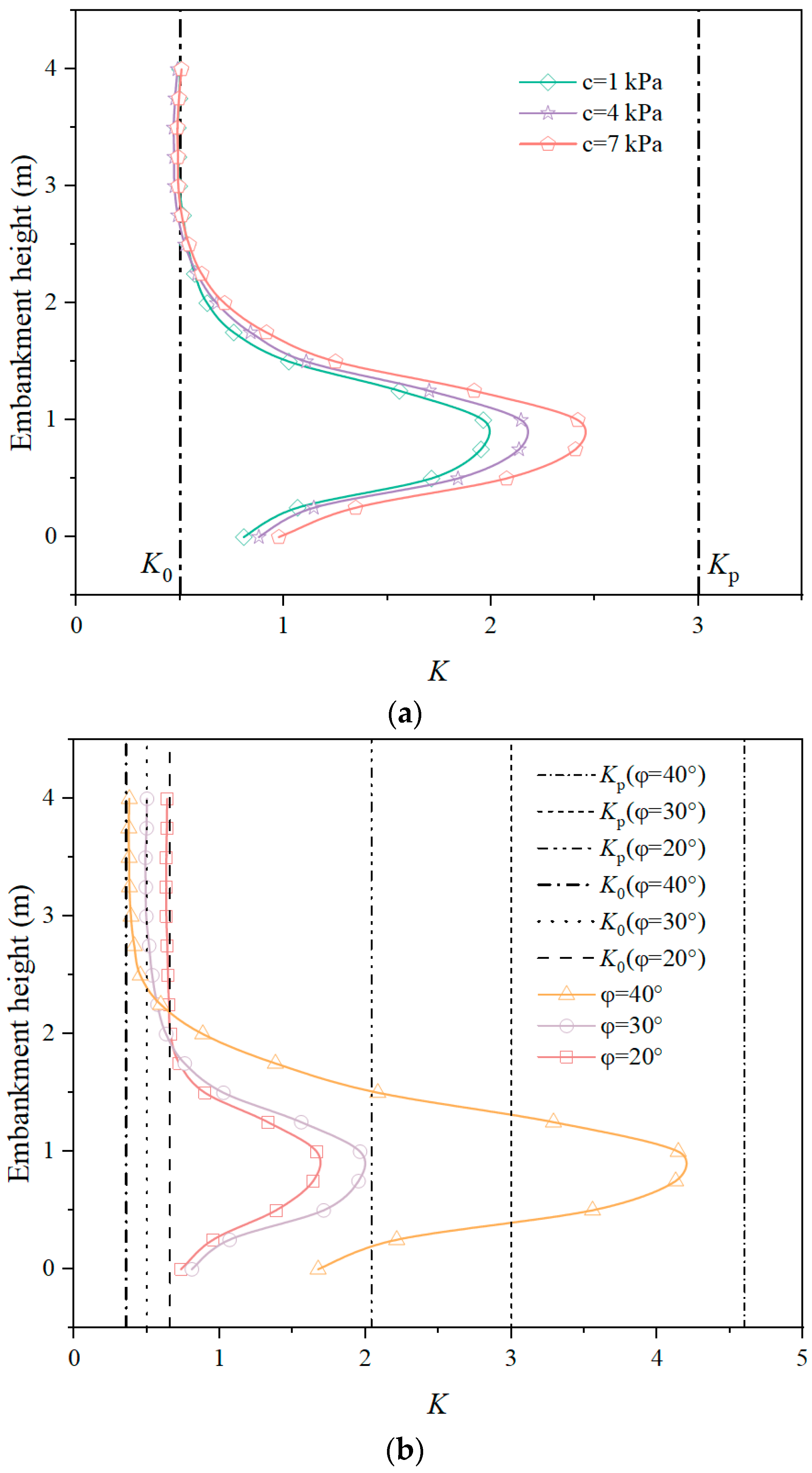
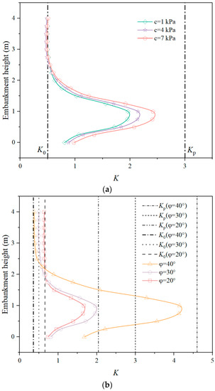
4.2. Properties of Embankment Fill
4.3. Pile Length
5. Conclusions
- (1)
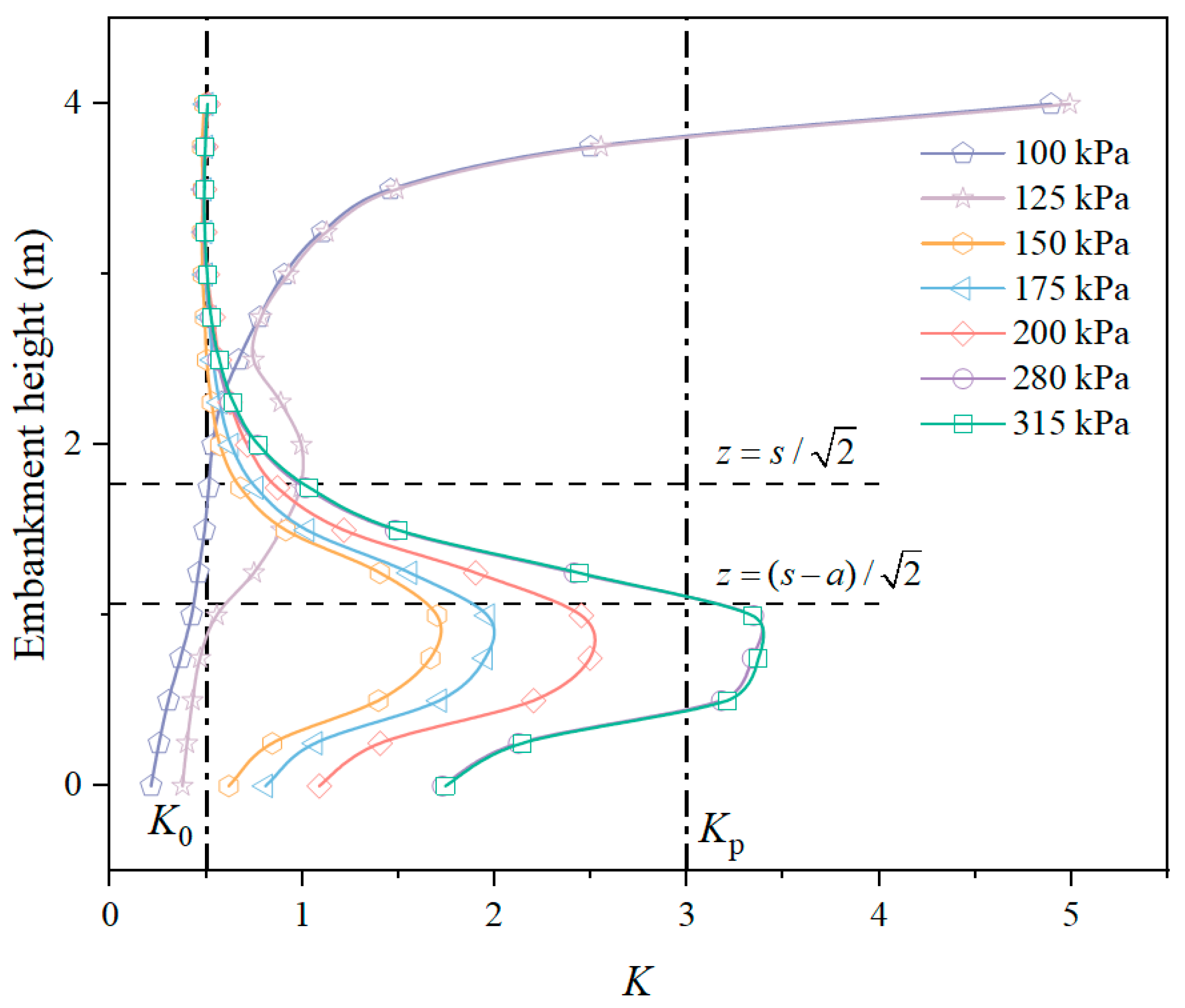
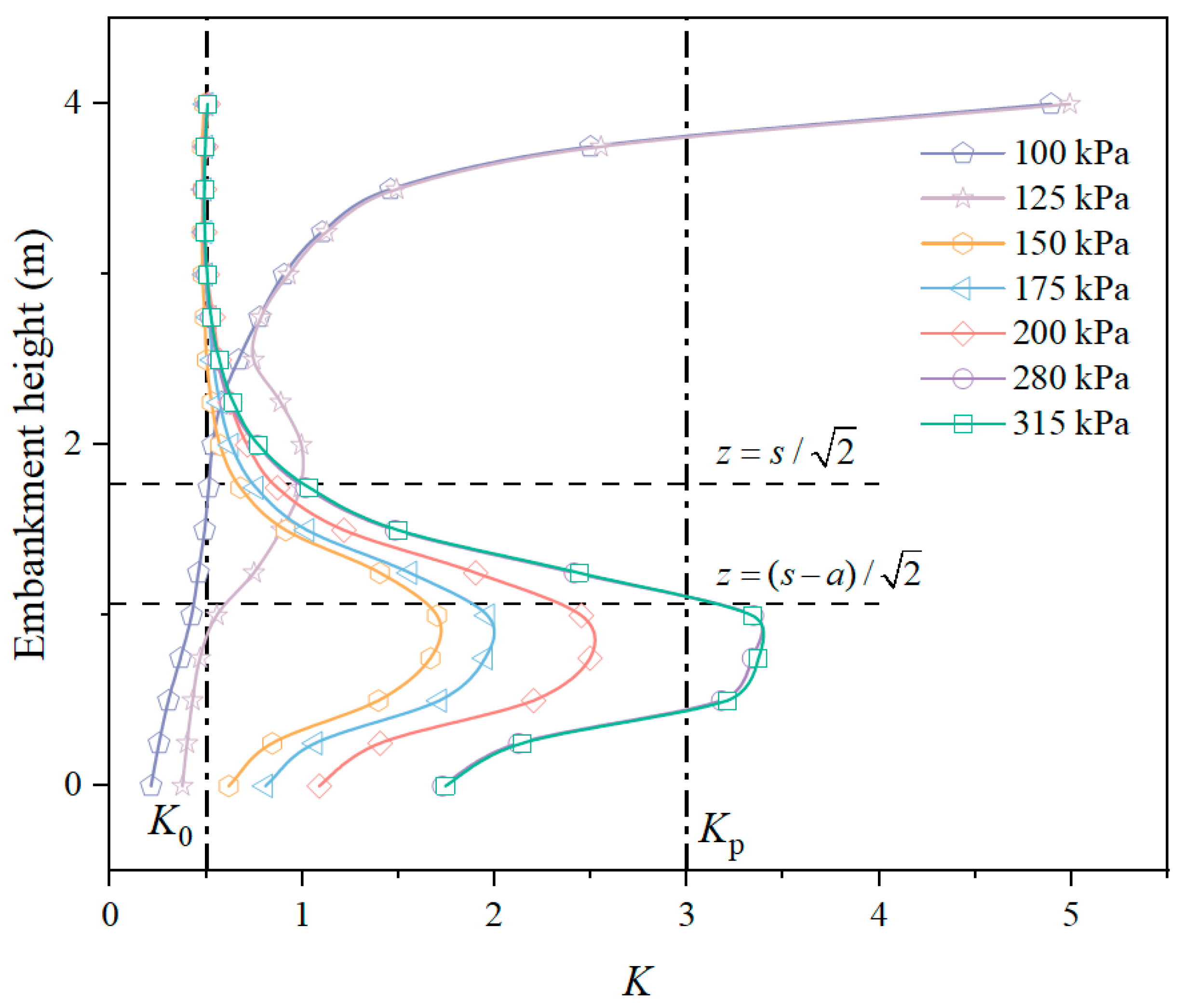
- Soil arching in the embankment begins to occur when the bearing capacity of the foundation reaches 150 kPa, at which point the pile will function as a rigid floating pile. When the bearing capacity of the foundation reaches 280 kPa, plastic failure occurs at the bottom of the embankment, and the soil arching is fully developed, aligning with the criteria for end-bearing piles.
- (2)
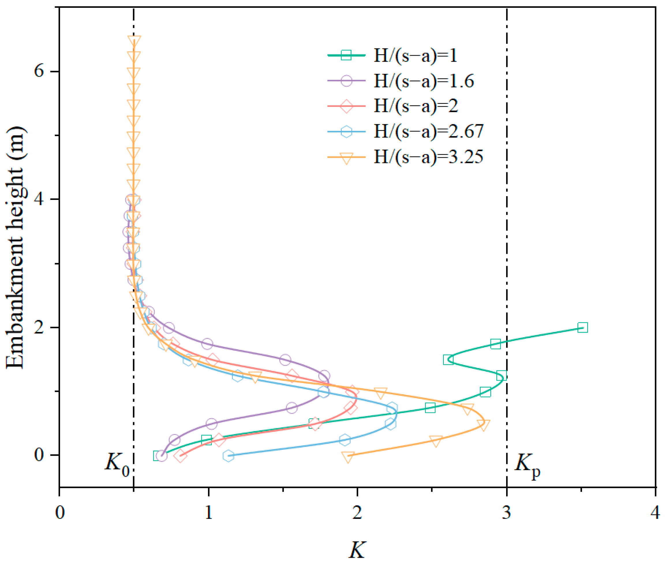
- It has been found that the soil arching in the embankment supported by rigid floating piles does not fully develop due to an insufficient bearing capacity of the foundation. When H/(s − a) ≥ 1.6, the earth pressure coefficient at the top of the embankment still approaches K0, indicating the onset of soil arching. Even if the H/(s − a) reaches 3.25, no plastic failure occurs in the embankment. As the pile spacing increases, the height of both the inner and outer arches in the embankment increases.
- (3)
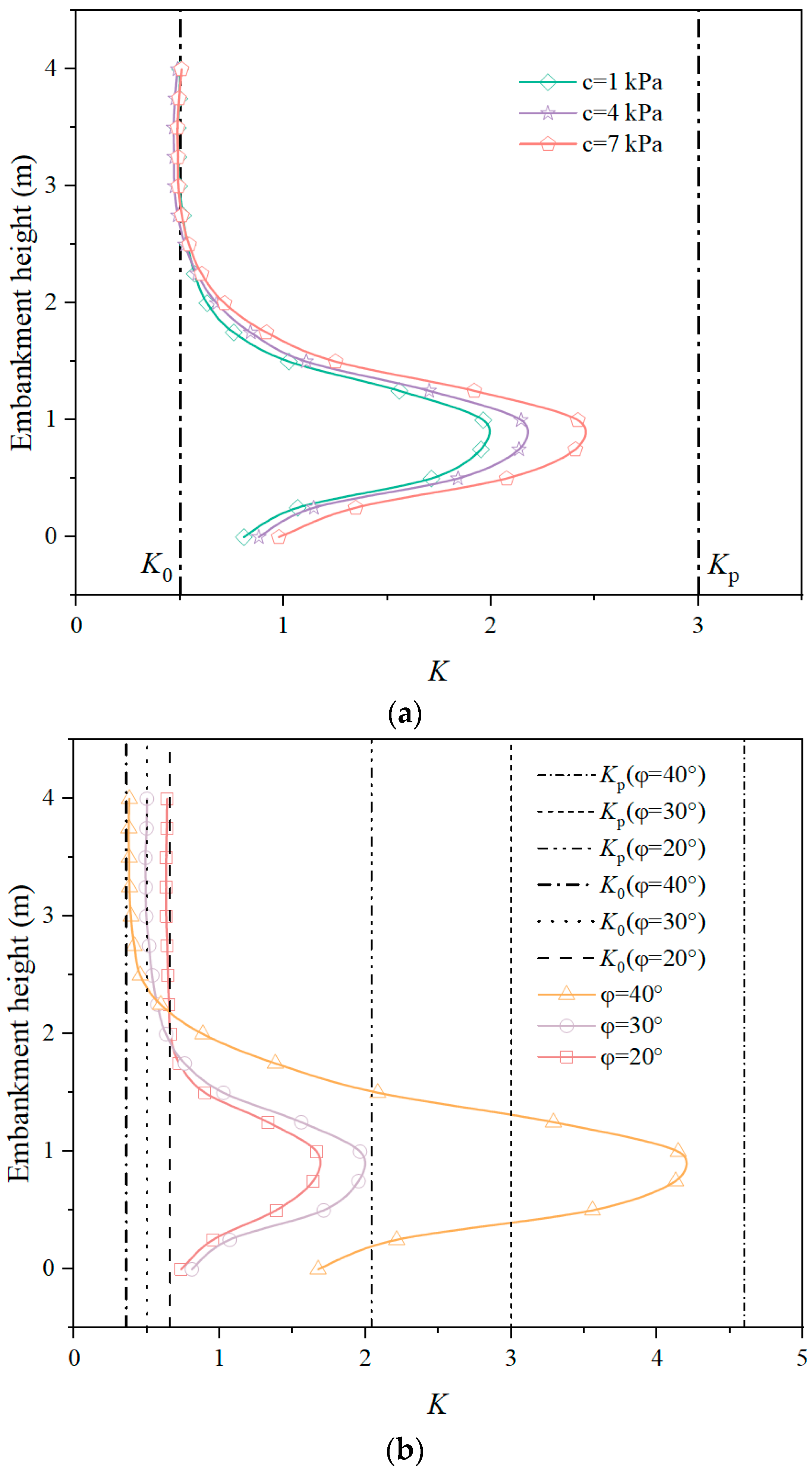
- Selecting an embankment fill with a higher friction angle was beneficial for the development of soil arching. A larger fill cohesion can effectively reduce the differential settlement in the embankment. With an increase in the friction angle from 20° to 40°, the vertical stress above the subsoil decreased by 34.9%. It was found that the increase in cohesion from 1 kPa to 7 kPa reduced the settlement on top of the embankment and surface of subsoil by approximately 72% and 58%, respectively.
- (4)
- It was also revealed that rigid floating piles rely on end resistance and skin friction to sustain the overlying load. The skin friction of the pile increases and the neutral plane gradually moves downward as soil consolidation progresses. With increasing pile length from 12 m to 20 m, the skin friction decreased by 66.7% while the axial force along the pile increased by 300%.
Author Contributions
Funding
Institutional Review Board Statement
Informed Consent Statement
Data Availability Statement
Conflicts of Interest
References
- Dolati, S.S.K.; Mehrabi, A. Review of available systems and materials for splicing prestressed-precast concrete piles. Structures 2021, 30, 850–865. [Google Scholar] [CrossRef]
- Dolati, S.S.K.; Mehrabi, A. Alternative systems and materials for splicing prestressed-precast concrete piles. Transp. Res. Rec. 2021, 03611981211052949. [Google Scholar] [CrossRef]
- Nguyen, V.; Luo, Q.; Xue, Y.; Wang, T.F.; Zhang, L.; Zhang, D.Q. Extended concentric arches model for piled beam-supported embankments. Comput. Geotech. 2023, 160, 105517. [Google Scholar] [CrossRef]
- Mangraviti, V.; Flessati, L.; di Prisco, C. Mathematical modelling of the mechanical response of geosynthetic-reinforced and pile-supported embankments. Int. J. Numer. Anal. Methods Geomech. 2023, 47, 2438–2466. [Google Scholar] [CrossRef]
- Lang, R.Q.; Ma, C.H.; Cheng, X.L.; Sun, L.Q.; Zhou, L.; Zhang, J.X.; Feng, S.Z.; Li, D. Numerical analysis of dynamic behavior of piled embankment under train loading. Comput. Geotech. 2023, 155, 105243. [Google Scholar] [CrossRef]
- Nguyen, V.; Luo, Q.; Wang, T.F.; Liu, K.W.; Zhang, L.; Nguyen, T.P. Load Transfer in Geosynthetic-Reinforced Piled Embankments with a Triangular Arrangement of Piles. J. Geotech. Geoenviron. Eng. 2023, 149, 04022131. [Google Scholar] [CrossRef]
- Liu, K.F.; Xue, K.R.; Wen, M.J.; Wang, L. Investigation on the long-term strain of geogrid in GRPS embankment under cyclic loading. Geosynth. Int. 2023. [Google Scholar] [CrossRef]
- Eidgahee, D.R.; Soleymani, A.; Hasani, H.; Kontoni, D.-P.N.; Jahangir, H. Flexural capacity estimation of FRP reinforced T-shaped concrete beams via soft computing techniques. Comput. Concr. 2023, 32, 1. [Google Scholar]
- Kumar, M.; Kumar, V.; Rajagopal, B.G.; Samui, P.; Burman, A. State of art soft computing based simulation models for bearing capacity of pile foundation: A comparative study of hybrid ANNs and conventional models. Model. Earth Syst. Environ. 2022, 9, 2533–2551. [Google Scholar] [CrossRef]
- Nguyen Van, C.; Keawsawasvong, S.; Nguyen, D.K.; Lai, V.Q. Machine learning regression approach for analysis of bearing capacity of conical foundations in heterogenous and anisotropic clays. Neural Comput. Appl. 2022, 35, 3955–3976. [Google Scholar] [CrossRef]
- Hu, S.; Zhuang, Y.; Wu, Y.; Zhang, X.; Dong, X. Numerical Study of Bearing Capacity of the Pile-Supported Embankments for the Flexible Floating, Rigid Floating and End-Bearing Piles. Symmetry 2022, 14, 1981. [Google Scholar] [CrossRef]
- Jamsawang, P.; Yoobanpot, N.; Thanasisathit, N.; Voottipruex, P.; Jongpradist, P. Three-dimensional numerical analysis of a DCM column-supported highway embankment. Comput. Geotech. 2016, 72, 42–56. [Google Scholar] [CrossRef]
- Berthelot, P.; Bret, T. Recommendations for the Design, Construction and Control of Rigid Inclusion Ground Improvements; Presses des Ponts: Paris, France, 2012; p. 316. [Google Scholar]
- GGS. Recommendations for Design and Analysis of Earth Structures Using Geosynthetic Reinforcements—EBGEO; John Wiley & Sons: Hoboken, NJ, USA, 2011. [Google Scholar]
- Satibi, S. Numerical Analysis and Design Criteria of Embankments on Floating Piles; Institut für Geotechnik der Universität Stuttgart IGS: Stuttgart, Germany, 2009. [Google Scholar]
- Van Eekelen, S.J.M.; Bezuijen, A.; van Tol, A.F. Analysis and modification of the British Standard BS8006 for the design of piled embankments. Geotext. Geomembr. 2011, 29, 345–359. [Google Scholar] [CrossRef]
- Cao, W.Z.; Zheng, J.J.; Zhang, J.; Zhang, R.J. Field test of a geogrid-reinforced and floating pile-supported embankment. Geosynth. Int. 2016, 23, 348–361. [Google Scholar] [CrossRef]
- Pan, G.; Liu, X.; Yuan, S.; Wang, Y.; Sun, D.; Feng, Y.; Jiang, G. A Field Study on the Arching Behavior of a Geogrid-Reinforced Floating Pile-Supported Embankment. Transp. Geotech. 2022, 37, 100795. [Google Scholar] [CrossRef]
- Phutthananon, C.; Jongpradist, P.; Jamsawang, P. Influence of cap size and strength on settlements of TDM-piled embankments over soft ground. Mar. Georesour. Geotechnol. 2019, 38, 686–705. [Google Scholar] [CrossRef]
- Zhang, C.; Su, L.; Jiang, G. Full-scale model tests of load transfer in geogrid-reinforced and floating pile-supported embankments. Geotext. Geomembr. 2022, 50, 896–909. [Google Scholar] [CrossRef]
- Pham, T.A. Design and analysis of geosynthetic-reinforced and floating column-supported embankments. Int. J. Geotech. Eng. 2021, 16, 1276–1292. [Google Scholar] [CrossRef]
- King, L.; Bouazza, A.; Gaudin, C.; O’Loughlin, C.D.; Bui, H.H. Behavior of Geosynthetic-Reinforced Piled Embankments with Defective Piles. J. Geotech. Geoenviron. Eng. 2019, 145, 04019090. [Google Scholar] [CrossRef]
- Yadav, S.K.; Ye, G.-l.; Khalid, U.; Fukuda, M. Numerical and centrifugal physical modelling on soft clay improved with floating and fixed sand compaction piles. Comput. Geotech. 2019, 115, 103160. [Google Scholar] [CrossRef]
- Shen, P.; Xu, C.; Han, J. Geosynthetic-reinforced pile-supported embankment: Settlement in different pile conditions. Geosynth. Int. 2020, 27, 315–331. [Google Scholar] [CrossRef]
- Zhang, H.; Wang, H.; Li, X.; Li, W.; Wu, J.; Lv, C.; Song, X.; Liu, M. An Analysis of Floating Geogrid-Reinforced Pile-Supported Embankments Containing Deep Softened Soil. Arab. J. Sci. Eng. 2021, 46, 10855–10868. [Google Scholar] [CrossRef]
- Reshma, B.; Rajagopal, K.; Viswanadham, B.V.S. Centrifuge model studies on the settlement response of geosynthetic piled embankments. Geosynth. Int. 2020, 27, 170–181. [Google Scholar] [CrossRef]
- Terzaghi, K.T. Theoretical Soil Mechanics; Wiley: Hoboken, NJ, USA, 1943. [Google Scholar]
- Rui, R.; van Tol, A.F.; Xia, Y.Y.; van Eekelen, S.J.M.; Hu, G. Investigation of Soil-Arching Development in Dense Sand by 2D Model Tests. Geotech. Test. J. 2016, 39, 415–430. [Google Scholar] [CrossRef]
- Hewlett, W.J.; Randolph, M.F. Analysis of piled embankments. Ground Eng. 1988, 21, 12–18. [Google Scholar]
- Carlsson, B. Reinforced Soil, Principles for Calculation; Terratema AB: Linköping, Sweden, 1987. (In Swedish) [Google Scholar]
- Guido, V. Plate loading tests on geogrid-reinforced earth slab. In Proceedings of the Geosynthetic’87 Conference, New Orleans, LA, USA, 24–25 February 1987; pp. 216–225. [Google Scholar]
- Iglesia, G.R.; Einstein, H.H.; Whitman, R.V. Investigation of Soil Arching with Centrifuge Tests. J. Geotech. Geoenviron. Eng. 2014, 140, 04013005. [Google Scholar] [CrossRef]
- Iglesia, G.R.; Einstein, H.H.; Whitman, R.V. Validation of centrifuge model scaling for soil systems via trapdoor tests. J. Geotech. Geoenviron. Eng. 2011, 137, 1075–1089. [Google Scholar] [CrossRef]
- Iglesia, G.R.; Einstein, H.H.; Whitman, R.V. Determination of vertical loading on underground structures based on an arching evolution concept. In Geo-Engineering for Underground Facilities; American Society of Civil Engineers: Reston, VA, USA, 1999; pp. 495–506. [Google Scholar]
- SIMULIA. ABAQUS/CAE User’s Manual; Dassault: Pawtucket, RI, USA, 2020. [Google Scholar]
- Zhuang, Y.; Wang, K. Finite-element analysis of arching in highway piled embankments subjected to moving vehicle loads. Géotechnique 2018, 68, 857–868. [Google Scholar] [CrossRef]
- Almeida, M.S.S.; Hosseinpour, I.; Riccio, M.; Alexiew, D. Behavior of Geotextile-Encased Granular Columns Supporting Test Embankment on Soft Deposit. J. Geotech. Geoenviron. Eng. 2015, 141, 04014116. [Google Scholar] [CrossRef]
- Liu, H.L.; Ng, C.W.W.; Fei, K. Performance of a Geogrid-Reinforced and Pile-Supported Highway Embankment over Soft Clay: Case Study. J. Geotech. Geoenviron. Eng. 2007, 133, 1483–1493. [Google Scholar] [CrossRef]
- Prandtl, L. About the hardness of a plastic body. Nachr. Ges. Wiss. Göttingen Math-Phys. Kl. 1920, 74–85. [Google Scholar]
- Vanapalli, S.K.; Oh, W.T.; Puppala, A.J. Determination of the bearing capacity of unsaturated soils under undrained loading conditions. In Proceedings of the 60th Canadian Geotechnical Conference, Ottawa, ON, Canada, 21–24 October 2007; pp. 21–24. [Google Scholar]
- Skempton, A.W. The φu = 0 analysis for stability and its theoretical basis. In Proceedings of the 2nd International Conference of Soil Mechanics and Foundation Engineering, Rotterdam, The Netherlands, 21–30 June 1948; Volume 1, pp. 72–77. [Google Scholar]
- Rowe, R.K.; Liu, K.W. Three-dimensional finite element modelling of a full-scale geosynthetic-reinforced, pile-supported embankment. Can. Geotech. J. 2015, 52, 2041–2054. [Google Scholar] [CrossRef]
- King, D.J.; Bouazza, A.; Gniel, J.R.; Rowe, R.K.; Bui, H.H. Serviceability design for geosynthetic reinforced column supported embankments. Geotext. Geomembr. 2017, 45, 261–279. [Google Scholar] [CrossRef]
- Bhasi, A.; Rajagopal, K. Numerical study of basal reinforced embankments supported on floating/end bearing piles considering pile–soil interaction. Geotext. Geomembr. 2015, 43, 524–536. [Google Scholar] [CrossRef]



















| Material Property | Embankment Fill | Pile |
|---|---|---|
| Unit weight, γ (kN/m3) | 19 | 24 |
| Young’s Modulus, E (MPa) | 25 | 20,000 |
| Poisson’s Ratio, v | 0.3 | 0.2 |
| Cohesion, c (kPa) | 1 | - |
| Friction angle, φ (°) | 30 | - |
| Dilation angle ψ (°) | 0 | - |
| Initial void ratio, e0 | 0.5 | - |
| Permeability, k (m/day) | 8.64 | - |
| Soils | γ (kN/m3) | λ | κ | M | cu (kPa) | qu (kPa) | qu (Rounded) 1 (kPa) |
|---|---|---|---|---|---|---|---|
| S1 | 14 | 0.760 | 0.217 | 0.898 | 17.51 | 99.98 | 100 |
| S2 | 14 | 0.308 | 0.046 | 1.226 | 21.76 | 124.25 | 125 |
| S3 | 17 | 0.326 | 0.023 | 0.898 | 26.40 | 150.74 | 150 |
| S4 | 17 | 0.15 | 0.03 | 0.95 | 30.56 | 174.50 | 175 |
| S5 | 17.5 | 0.326 | 0.078 | 0.984 | 34.85 | 198.99 | 200 |
| S6 | 19 | 0.074 | 0.011 | 0.613 | 48.93 | 279.39 | 280 |
| S7 | 20 | 0.06 | 0.12 | 1.2 | 55.14 | 314.85 | 315 |
Disclaimer/Publisher’s Note: The statements, opinions and data contained in all publications are solely those of the individual author(s) and contributor(s) and not of MDPI and/or the editor(s). MDPI and/or the editor(s) disclaim responsibility for any injury to people or property resulting from any ideas, methods, instructions or products referred to in the content. |
© 2023 by the authors. Licensee MDPI, Basel, Switzerland. This article is an open access article distributed under the terms and conditions of the Creative Commons Attribution (CC BY) license (https://creativecommons.org/licenses/by/4.0/).
Share and Cite
Zhuang, Y.; Hu, S.; Fan, H. Bearing Capacity of Foundation and Soil Arching in Rigid Floating Piled Embankments: Numerical Study. Appl. Sci. 2023, 13, 10296. https://doi.org/10.3390/app131810296
Zhuang Y, Hu S, Fan H. Bearing Capacity of Foundation and Soil Arching in Rigid Floating Piled Embankments: Numerical Study. Applied Sciences. 2023; 13(18):10296. https://doi.org/10.3390/app131810296
Chicago/Turabian StyleZhuang, Yan, Shunlei Hu, and Hu Fan. 2023. "Bearing Capacity of Foundation and Soil Arching in Rigid Floating Piled Embankments: Numerical Study" Applied Sciences 13, no. 18: 10296. https://doi.org/10.3390/app131810296
APA StyleZhuang, Y., Hu, S., & Fan, H. (2023). Bearing Capacity of Foundation and Soil Arching in Rigid Floating Piled Embankments: Numerical Study. Applied Sciences, 13(18), 10296. https://doi.org/10.3390/app131810296
