Adversarial Attack Defense Method for a Continuous-Variable Quantum Key Distribution System Based on Kernel Robust Manifold Non-Negative Matrix Factorization
Abstract
:1. Introduction
2. Preliminaries
2.1. Principle and System Description of CVQKD
2.2. Adversarial Attacks in CVQKD
- Nonlinear Nature of Quantum Measurements: CVQKD systems rely on quantum measurements which introduce nonlinearity in the detection process. Adversarial disturbances can exploit this nonlinearity to manipulate the measurement outcomes and compromise the security of the system.
- Sensitivity to Measurement Conditions: CVQKD systems are sensitive to measurement conditions such as the intensity of local oscillator (LO) pulses and shot noise variance. Adversaries can manipulate these conditions to introduce additional noise or alter the statistical properties of the measurement results, leading to compromised key distribution.
- Imperfections in Quantum Devices: The quantum devices used in CVQKD systems, such as homodyne detectors, suffer from imperfections like electronic noise and technical excess noise. Adversarial attacks can exploit these imperfections to inject additional noise or modify the measurement outcomes.
3. Methods
| Algorithm 1 KRMNMF Algorithm |
| Input:. Output:. |
| Initialization:, While not converging, do |
| 1. Calculate the W,V and L matrices. 2. Determine whether the objective function (6) converges. 3. Update F according to equation (18). 4. Update H according to equation (19). Output: |
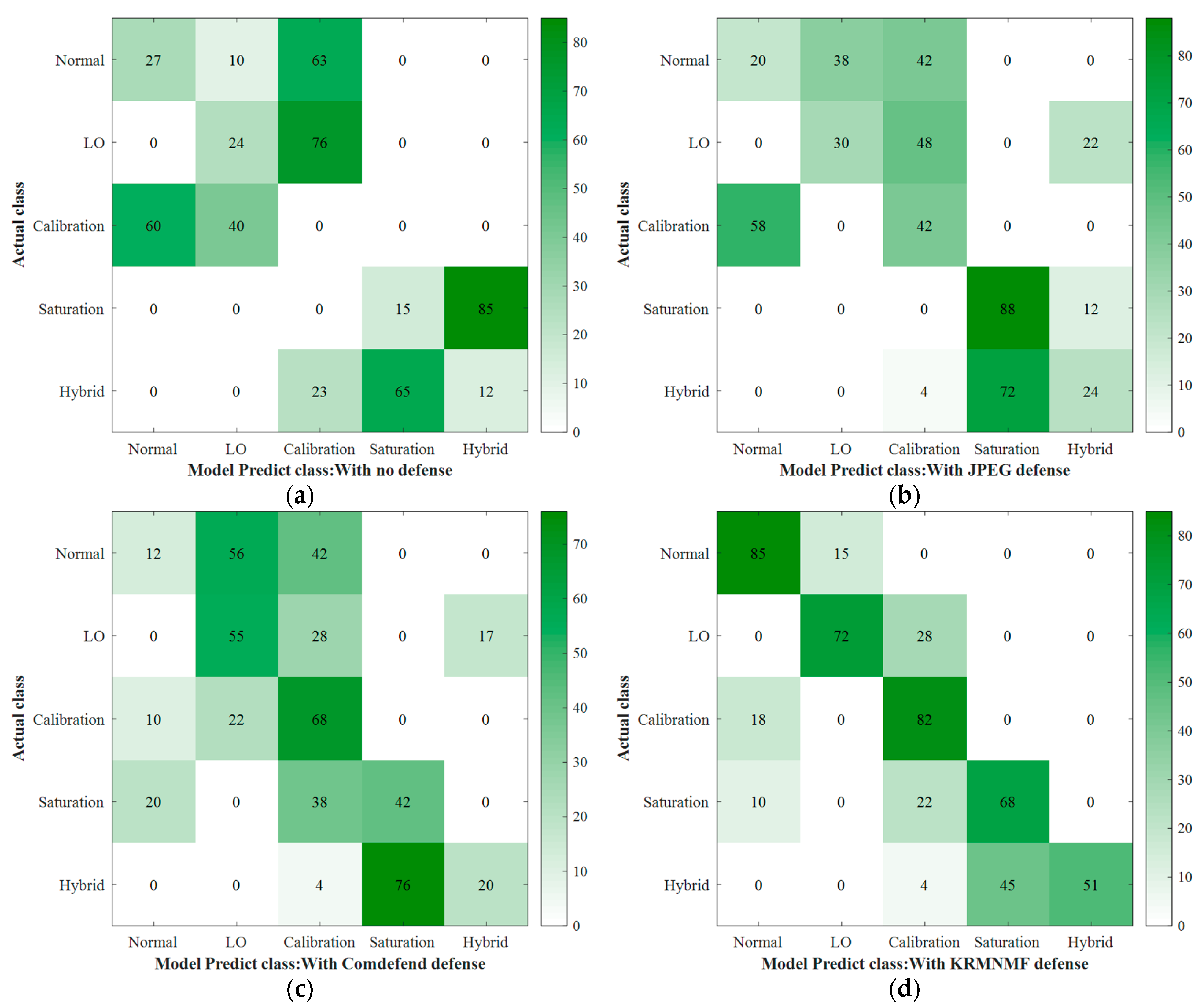
4. Experiments
5. Conclusions
Author Contributions
Funding
Institutional Review Board Statement
Informed Consent Statement
Data Availability Statement
Acknowledgments
Conflicts of Interest
Appendix A. The Vulnerability of Quantum Devices to Adversarial Perturbations
References
- David, C.V.; Luis, F.Q.; Dong, S. Bell-GHZ Measurement-Device-Independent Quantum Key Distribution. Ann. Phys. 2021, 9, 533. [Google Scholar]
- Jouguet, P.; Kunz-Jacques, S.; Leverrier, A.; Grangier, P.; Diamanti, E. Experimental demonstration of long-distance continuous-variable quantum key distribution. Nat. Photon. 2013, 7, 378–381. [Google Scholar] [CrossRef]
- Xu, F.; Ma, X.; Zhang, Q.; Lo, H.-K.; Pan, J.-W. Secure quantum key distribution with realistic devices. Rev. Mod. Phys. 2020, 92, 025002. [Google Scholar] [CrossRef]
- Huang, J.-Z.; Weedbrook, C.; Yin, Z.-Q.; Wang, S.; Li, H.-W.; Chen, W.; Guo, G.-C.; Han, Z.-F. Quantum hacking of a continuous-variable quantum-key-distribution system using a wavelength attack. Phys. Rev. A 2013, 87, 062329. [Google Scholar] [CrossRef]
- Hajomer, A.A.E.; Jain, N.; Mani, H.; Chin, H.M.; Andersen, U.L.; Gehring, T. Modulation leakage-free continuous-variable quantum key distribution. Npj Quantum Inf. 2022, 8, 136. [Google Scholar] [CrossRef]
- Wang, P.; Huang, P.; Chen, R.; Zeng, G. Robust frame synchronization for free-space continuous-variable quantum key distribution. Opt. Express 2021, 29, 25048–25063. [Google Scholar] [CrossRef] [PubMed]
- Abd-Elrahman, E.; Shehab, M.; Ahmed, M.; Mohaisen, A.; Zaman, T. Detecting and Mitigating SYN Flood Attacks in Industrial IoT Systems. IEEE Trans. Ind. Inform. 2020, 17, 6785–6796. [Google Scholar]
- Quezada, L.F.; Sun, J.; Dong, S. Quantum Version of the k-NN Classifier Based on a Quantum Sorting Algorithm. Ann. Phys. 2022, 5, 534. [Google Scholar] [CrossRef]
- Mao, Y.; Huang, W.; Zhong, H.; Wang, Y.; Qin, H.; Guo, Y.; Huang, D. Detecting quantum attacks: A machine learning based defense strategy for practical continuous-variable quantum key distribution. New J. Phys. 2020, 22, 083073. [Google Scholar] [CrossRef]
- Guo, Y.; Yin, P.; Huang, D. One-Pixel Attack for Continuous-Variable Quantum Key Distribution Systems. Photonics 2023, 10, 129. [Google Scholar] [CrossRef]
- Su, J.; Vargas, D.V.; Sakurai, K. One Pixel Attack for Fooling Deep Neural Networks. IEEE Trans. Evol. Comput. 2019, 23, 828–841. [Google Scholar] [CrossRef]
- Du, J.; Tang, R.; Feng, T. Security Analysis and Improvement of Vehicle Ethernet SOME/IP Protocol. Sensors 2022, 22, 6792. [Google Scholar] [CrossRef]
- Tang, Z.; Liao, Z.; Xu, F.; Qi, B.; Qian, L.; Lo, H.-K. Experimental Demonstration of Polarization Encoding Measurement-Device-Independent Quantum Key Distribution. Phys. Rev. Lett. 2014, 112, 190503. [Google Scholar] [CrossRef] [PubMed]
- Biggio, B.; Roli, F. Ten years after the rise of adversarial machine learning. Pattern Recognit. 2018, 84, 317–331. [Google Scholar] [CrossRef]
- Belazi, A.; Alajmi, Z.; Debuse, J. A Comprehensive Survey on Various Dimensionality Reduction Techniques. Mathematics 2021, 9, 1283. [Google Scholar]
- Chen, X.; Wu, T.; Xu, Z. Deep Linear Discriminant Analysis for Feature Extraction in Face Recognition. IEEE Signal Process. Lett. 2021, 28, 736–740. [Google Scholar]
- Luengo, D.; Bielza, C. Independent Component Analysis for Multi-Source Classification. Neural Netw. 2020, 126, 276–288. [Google Scholar]
- Massaut, V.; Jordan, N. Vector Quantization-based Deep Learning Approach for Music Classification. Neural Comput. Appl. 2019, 31, 947–960. [Google Scholar]
- Xia, Z.; Havlicek, J.P.; Chudak, F.A.; Markov, I.L.; Neven, H. Hardware-efficient Variational Quantum Eigensolver for Small Molecules and Quantum Magnets. Phys. Rev. A 2019, 100, 052308. [Google Scholar]
- Zhou, Q.; Mao, X.; Li, H. Deep Nonnegative Matrix Factorization for Semi-Supervised Dimensionality Reduction. IEEE Trans. Image Process. 2021, 30, 4196–4208. [Google Scholar]
- Li, S.; Yin, P.; Zhou, Z.; Tang, J.; Huang, D.; Zhang, L. Dictionary Learning Based Scheme for Adversarial Defense in Continuous-Variable Quantum Key Distribution. Entropy 2023, 25, 499. [Google Scholar] [CrossRef] [PubMed]
- Boaron, G.; Boso, G.; Rusca, D.; Vulliez, C.; Autebert, C.; Caloz, M.; Perrenoud, M.; Gras, G.; Bussières, F.; Li, M.-J.; et al. Secure Quantum Key Distribution Over 421 km of Optical Fiber Using Continuous Variable Quantum Key Distribution. Phys. Rev. Lett. 2018, 121, 190502. [Google Scholar] [CrossRef] [PubMed]
- Sebastian, K.; Max, R.; Christian, G.S. Continuous variable quantum key distribution with a real local oscillator using simultaneous pilot signals. Opt. Lett. 2017, 42, 1588–1591. [Google Scholar]
- Goodfellow, I.J.; Shlens, J.; Szegedy, C. Explaining and harnessing adversarial examples. In Proceedings of the International Conference on Learning Representations (ICLR), San Diego, CA, USA, 7–9 May 2015. [Google Scholar]
- Kurakin, A.; Goodfellow, I.; Bengio, S. Adversarial machine learning at scale. In Proceedings of the International Conference on Learning Representations (ICLR), Toulon, France, 24–26 April 2017. [Google Scholar]
- Madry, A.; Makelov, A.; Schmidt, L.; Tsipras, D.; Vladu, A. Towards deep learning models resistant to adversarial attacks. In Proceedings of the International Conference on Learning Representations (ICLR), Vancouver, BC, Canada, 30 April–3 May 2018. [Google Scholar]
- Moosavi-Dezfooli, S.; Fawzi, A.; Frossard, P. Deepfool: A simple and accurate method to fool deep neural networks. In Proceedings of the IEEE Conference on Computer Vision and Pattern Recognition (CVPR), Las Vegas, NV, USA, 27–30 June 2016. [Google Scholar]
- Zhang, H.; Chen, H.; Xiao, C.; Li, B. Towards practical JPEG2010-based near-lossless image steganography with security against modern perturbation-based steganalysis. IEEE Trans. Inf. Forensics Secur. 2018, 13, 3106–3121. [Google Scholar]
- Luo, H.; Wang, Y.-J.; Ye, W.; Zhong, H.; Mao, Y.-Y.; Guo, Y. Parameter estimation of continuous variable quantum key distribution system via artificial neural networks. Chin. Phys. B 2022, 2, 31. [Google Scholar] [CrossRef]
- Han, H.; Li, W.; Wang, J.; Qin, G.; Qin, X. Enhance explainability of manifold learning. Neurocomputing 2022, 500, 877–895. [Google Scholar] [CrossRef]
- Bonnet, B.; Furon, T.; Bas, P. Generating Adversarial Images in Quantized Domains. IEEE Trans. Inf. Forensics Secur. 2022, 17, 373–385. [Google Scholar] [CrossRef]
- Jia, X.; Wei, X.; Cao, X. ComDefend: An efficient image compression-based defense against adversarial examples. In Proceedings of the IEEE International Conference on Computer Vision (ICCV), Seoul, Korea, 27 October–2 November 2019. [Google Scholar]
- Cai, D.; He, X.; Han, J. Locally consistent concept factorization for document clustering. IEEE Trans. Knowl. Data Eng. 2011, 23, 902–913. [Google Scholar] [CrossRef]
- Zhang, L.; Chen, Z.; Zheng, M.; He, X. Robust Kernel Nonnegative Matrix Factorization. In Proceedings of the International Joint Conference on Artificial Intelligence (IJCAI), New York, NY, USA, 9–15 July 2016. [Google Scholar]
- Chen, G.; Cao, J.; Shen, L.; Li, X. Sparse non-negative matrix factorization with adaptive graph regularization. Neurocomputing 2020, 401, 125–133. [Google Scholar] [CrossRef]
- Gong, W.; Deng, D. Universal adversarial examples and perturbations for quantum classifiers. Natl. Sci. Rev. 2021, 130, nwab130. [Google Scholar] [CrossRef]




| Method | Attack Principle | Black/ White Box | Targeted/ Non-Targeted | Perturbation Norm | Strength |
|---|---|---|---|---|---|
| FGSM | Gradient | White | Both | Hard | |
| BIM | Gradient | White | Non-targeted | Hard | |
| PGD | Gradient | White | Both | Hard | |
| QEBA | Decision | Black | Both | Hard | |
| RP2 | Optimization | White | Targeted | Weak | |
| AdvCam | Optimization | White | Both | Hard |
| Method | Average Classification Accuracy |
|---|---|
| With no attack | 92.1% |
| With no defense | 15.6% |
| With JPEG defense | 40.8% |
| With Comdefend defense | 39.4% |
| With KRMNMF defense | 71.6% |
| With KRMNMF + JPEG defense | 78.8% |
| With KRMNMF + Comdefend defense | 79.5% |
| Algorithm | Dimension | Average Classification Accuracy |
|---|---|---|
| NMF | 74 | 50.8% |
| KNMF | 32 | 45.5% |
| RNMF | 100 | 48.4% |
| GNMF | 38 | 68.5% |
| KRNMF | 90 | 69.6% |
| SNMF | 87 | 48.8% |
| LNMF | 63 | 50.3% |
| KRMNMF | 14 | 71.6% |
Disclaimer/Publisher’s Note: The statements, opinions and data contained in all publications are solely those of the individual author(s) and contributor(s) and not of MDPI and/or the editor(s). MDPI and/or the editor(s) disclaim responsibility for any injury to people or property resulting from any ideas, methods, instructions or products referred to in the content. |
© 2023 by the authors. Licensee MDPI, Basel, Switzerland. This article is an open access article distributed under the terms and conditions of the Creative Commons Attribution (CC BY) license (https://creativecommons.org/licenses/by/4.0/).
Share and Cite
Fu, Y.; Xia, E.; Huang, D.; Jing, Y. Adversarial Attack Defense Method for a Continuous-Variable Quantum Key Distribution System Based on Kernel Robust Manifold Non-Negative Matrix Factorization. Appl. Sci. 2023, 13, 9928. https://doi.org/10.3390/app13179928
Fu Y, Xia E, Huang D, Jing Y. Adversarial Attack Defense Method for a Continuous-Variable Quantum Key Distribution System Based on Kernel Robust Manifold Non-Negative Matrix Factorization. Applied Sciences. 2023; 13(17):9928. https://doi.org/10.3390/app13179928
Chicago/Turabian StyleFu, Yuwen, E. Xia, Duan Huang, and Yumei Jing. 2023. "Adversarial Attack Defense Method for a Continuous-Variable Quantum Key Distribution System Based on Kernel Robust Manifold Non-Negative Matrix Factorization" Applied Sciences 13, no. 17: 9928. https://doi.org/10.3390/app13179928
APA StyleFu, Y., Xia, E., Huang, D., & Jing, Y. (2023). Adversarial Attack Defense Method for a Continuous-Variable Quantum Key Distribution System Based on Kernel Robust Manifold Non-Negative Matrix Factorization. Applied Sciences, 13(17), 9928. https://doi.org/10.3390/app13179928
