HIT Solar Cell Modeling Using Graphene as a Transparent Conductive Layer Considering the Atacama Desert Solar Spectrum
Abstract
1. Introduction
2. Materials and Methods
2.1. Atacama Desert Solar Spectrum
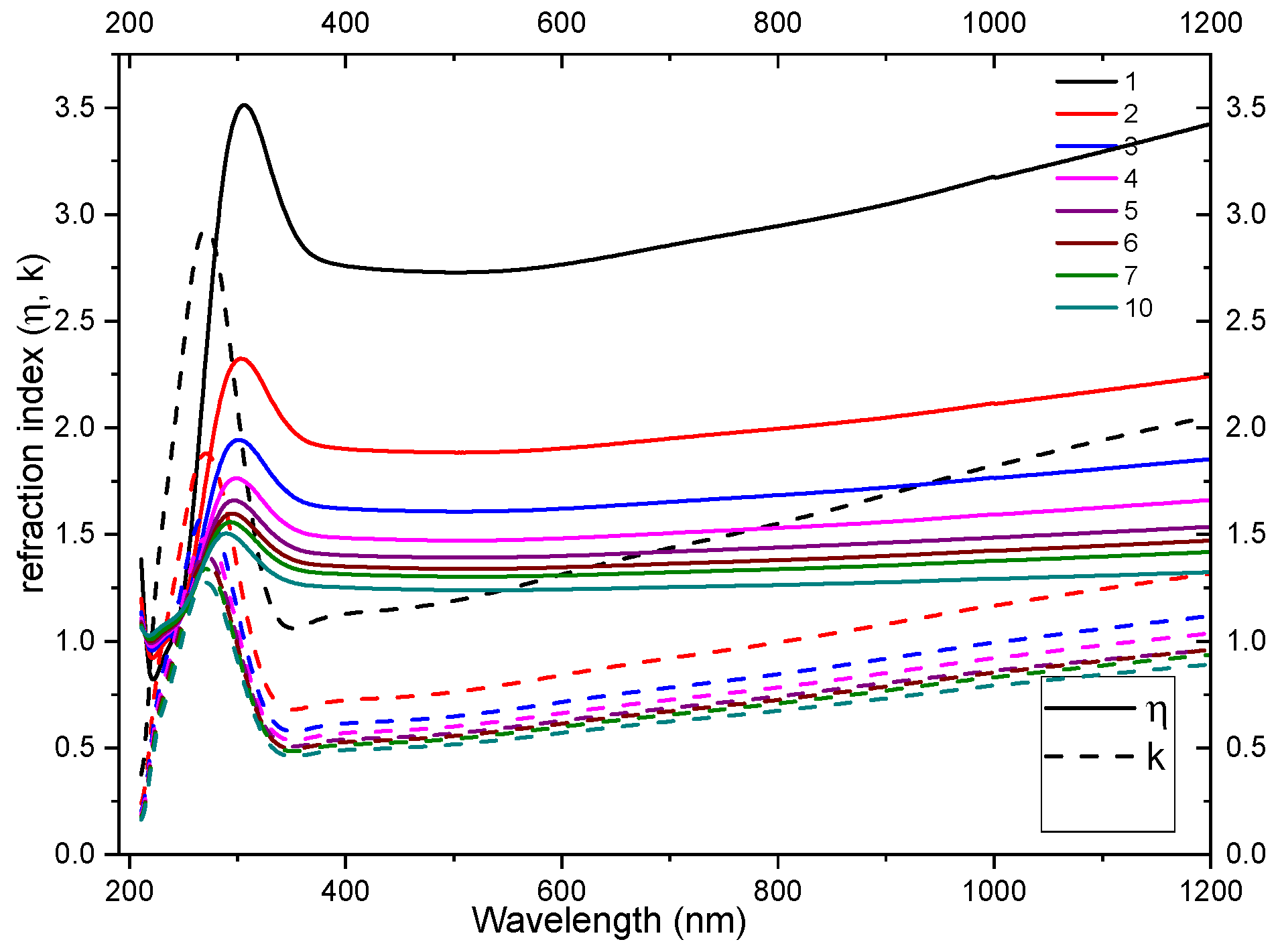
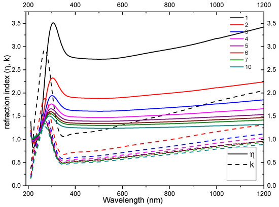
2.2. Optical Properties of Graphene
2.3. Resistive Properties of Graphene
2.4. Data
2.4.1. Data Calculation
2.4.2. Geometrical Properties
3. Results and Discussion
3.1. Optimization by Changing the Carrier Concentration
3.2. Optimization by Changing the Cell’s Layers’ Thickness
3.3. Optimized Parameters
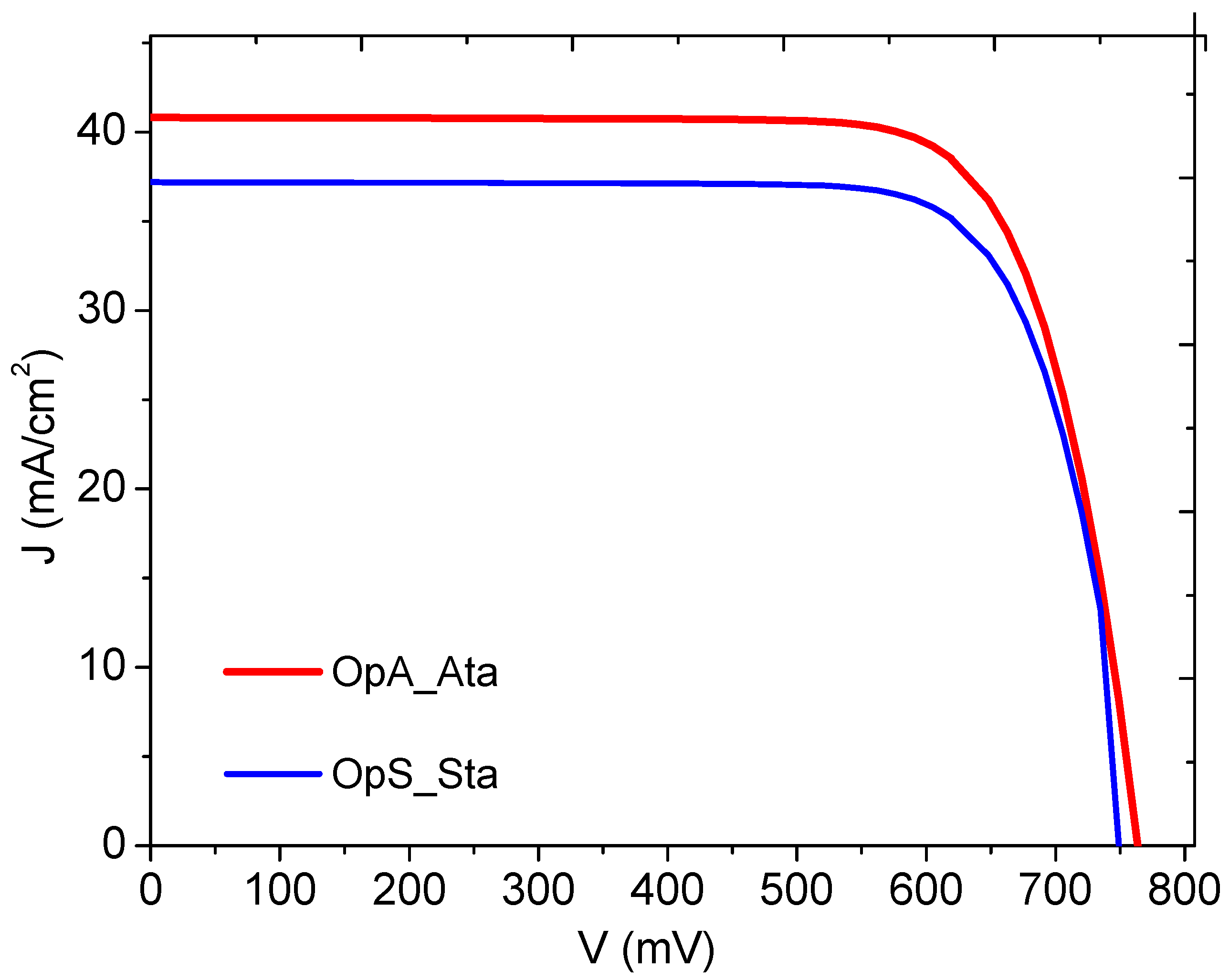
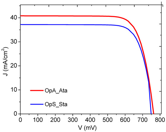
3.3.1. Generation and Recombination with AM1.5, and Atacama Spectrum
3.3.2. Optimization of the Solar Cell with ITO as TCO
3.3.3. Optimization of the Solar Cell Incorporating Graphene as TCO
3.4. Reflectance, Absorbance, Transmitance and External Quantum Efficiency
3.5. Optimizing the Solar Cell with the Busbar Number
4. Conclusions
Author Contributions
Funding
Institutional Review Board Statement
Informed Consent Statement
Data Availability Statement
Acknowledgments
Conflicts of Interest
Appendix A










| TCL | Ref. | ||||
|---|---|---|---|---|---|
| ITO | 761.9 | 37.19 | 76.88 | 21.78 | This work |
| 3-layer graphene | 739.2 | 31.68 | 79.2 | 18.79 | This work |
| ITO | 713 | 37.3 | 75.9 | 20.2 | [63] |
| ITO | 689 | 15.6 | 57.2 | 6.1 | [15] |
| 1-layer graphene + Ni-grid | 638 | 12.7 | 51.9 | 4.2 | [15] |
| AZO | 657 | 32.1 | 72.1 | 15.21 | [21] |
| 4-layer graphene | 601 | 25.5 | 64 | 9.81 | [21] |
References
- Yoshikawa, K.; Kawasaki, H.; Yoshida, W.; Irie, T.; Konishi, K.; Nakano, K.; Uto, T.; Adachi, D.; Kanematsu, M.; Uzu, H.; et al. Silicon heterojunction solar cell with interdigitated back contacts for a photoconversion efficiency over 26%. Nat. Energy 2017, 2, 17032. [Google Scholar] [CrossRef]
- De Wolf, S.; Descoeudres, A.; Holman, Z.C.; Ballif, C. High-efficiency Silicon Heterojunction Solar Cells: A Review. Green 2012, 2, 7–24. [Google Scholar] [CrossRef]
- Tiwari, P.; Patel, K.; Krishnia, L.; Kumari, R.; Tyagi, P.K. Potential application of multilayer n-type tungsten diselenide (WSe 2-sheet as transparent conducting electrode in silicon heterojunction solar cell. Comput. Mater. Sci. 2017, 136, 102–108. [Google Scholar] [CrossRef]
- Yu, Y.; Zhao, Y.; Ryu, S.; Brus, L.S.; Kim, K.S.; Kim, P. Tuning the Graphene Work Function by Electric Field Effect. Nano Lett. 2009, 9, 3430–3434. [Google Scholar] [CrossRef] [PubMed]
- Li, B.X.; Zhu, H.; Wang, K.; Cao, A.; Wei, J.; Li, C. Graphene-On-Silicon Schottky Junction Solar Cells. Adv. Mater. 2010, 22, 2743–2748. [Google Scholar] [CrossRef] [PubMed]
- Khrapach, I.; Withers, F.; Bointon, T.H.; Polyushkin, D.K.; Barnes, W.L.; Russo, S.; Craciun, M.F. Novel Highly Conductive and Transparent Graphene-Based Conductors. Adv. Mater. 2012, 24, 2844–2849. [Google Scholar] [CrossRef]
- Aasi, A.; Ebrahimi Bajgani, S.; Panchapakesan, B. A first-principles investigation on the adsorption of octanal and nonanal molecules with decorated monolayer WS promising gas sensing platform. AIP Adv. 2023, 13, 025157. [Google Scholar] [CrossRef]
- Baig, N. Two-dimensional nanomaterials: A critical review of recent progress, properties, applications, and future directions. Compos. Part A Appl. Sci. Manuf. 2023, 165, 107362. [Google Scholar] [CrossRef]
- Qin, F.; Chen, J.; Liu, J.; Liu, L.; Tang, C.; Tang, B.; Li, G.; Zeng, L.; Li, H.; Yi, Z. Design of high efficiency perovskite solar cells based on inorganic and organic undoped double hole layer. Sol. Energy 2023, 262, 111796. [Google Scholar] [CrossRef]
- Hora, C.; Santos, F.; Pereira, A.M.; Sales MG, F.; Ivanou, D.; Mendes, A. PEDOT-graphene counter-electrode for solar and improved artificial light conversion in regular, bifacial and FTO-less cobalt mediated DSSCs. Electrochim. Acta 2022, 412, 140140. [Google Scholar] [CrossRef]
- Lai, R.; Shi, P.; Yi, Z.; Li, H.; Yi, Y. Triple-Band Surface Plasmon Resonance Metamaterial Absorber Based on Open-Ended Prohibited Sign Type Monolayer Graphene. Micromachines 2023, 14, 953. [Google Scholar] [CrossRef]
- Tang, B. Polarization-controlled and symmetry-dependent multiple plasmon-induced transparency in graphene-based metasurfaces. Opt. Express 2022, 30, 35554–35566. [Google Scholar] [CrossRef] [PubMed]
- Ochoa-Martínez, E.; Gabás, M.; Barrutia, L.; Pesquera, A.; Centeno, A.; Palanco, S.; Zurutuza, A.; Algora, C. Determination of a refractive index and an extinction coefficient of standard production of CVD-graphene. Nanoscale 2015, 7, 1491–1500. [Google Scholar] [CrossRef]
- Lee, H.C.; Liu, W.; Chai, S.; Mohamed, R. Review of the synthesis, transfer, characterization and growth mechanisms of single and multilayer graphene. RSC Adv. 2017, 7, 15644–15693. [Google Scholar] [CrossRef]
- Dianetti, M.; Susanna, G.; Calabrò, E.; Polino, G.; Otto, M.; Neumaier, D.; Reale, A.; Brunetti, F. Graphene with Ni-Grid as Semitransparent Electrode for Bulk Heterojunction Solar Cells (BHJ-SCs). Polymers 2022, 14, 1046. [Google Scholar] [CrossRef] [PubMed]
- Bae, S.; Kim, K.; Lee, Y.; Xu, X.; Park, J.; Zheng, Y. Roll-to-roll production of 30-inch graphene films for transparent electrodes. Nat. Nanotechnol. 2011, 5, 574–578. [Google Scholar] [CrossRef]
- Vaianella, F.; Rosolen, G.; Maes, B. Graphene as a transparent electrode for amorphous silicon-based solar cells. J. Appl. Phys. 2015, 117, 243102. [Google Scholar] [CrossRef]
- Wen, X.; Zeng, X.; Liao, W.; Lei, Q.; Yin, S. An approach for improving the carriers transport properties of a-Si: H/c-Si heterojunction solar cells with efficiency of more than 27%. Sol. Energy 2013, 96, 168–176. [Google Scholar] [CrossRef]
- Jošt, M.; Kegelmann, L.; Korte, L.; Albrecht, S. Monolithic Perovskite Tandem Solar Cells: A Review of the Present Status and Advanced Characterization Methods Toward 30% Efficiency. Adv. Energy Mater. 2020, 10, 1904102. [Google Scholar]
- Foroughi, J.; Antiohos, D.; Wallace, G.G. Effect of post-spinning on the electrical and electrochemical properties of wet spun graphene fibre. RSC Adv. 2017, 6, 46427–46432. [Google Scholar] [CrossRef]
- Lancellotti, L.; Bobeico, E.; Della Noce, M.; Mercaldo, L.V.; Usatii, I.; Veneri, P.D.; Bianco, G.V.; Sacchetti, A.; Bruno, G. Graphene as non conventional transparent conductive electrode in silicon heterojunction solar cells. Appl. Surf. Sci. 2020, 525, 146443. [Google Scholar] [CrossRef]
- Torres, I.; Fernández, S.; Fernández-Vallejo, M.; Arnedo, I.; Gandía, J.J. Graphene-based electrodes for silicon heterojunction solar cell technology. Materials 2021, 14, 4833. [Google Scholar] [CrossRef] [PubMed]
- Morales, A.; Hernández, N.; Casados, G. Modeling solar cells: A method for improving their efficiency. Mater. Sci. Eng. B 2012, 177, 1430–1435. [Google Scholar] [CrossRef]
- Hernandez, N.; Morales, A. Simulation of heterojunction silicon solar cells with AMPS-1D. Sol. Energy Mater. Sol. Cells 2010, 94, 62–67. [Google Scholar] [CrossRef]
- Qin, L.; Xiao, Y.; Cheng, L.; Ming, C. Performance of bifacial HIT solar cells on n-type silicon substrates. Optoelectron. Lett. 2010, 6, 108–111. [Google Scholar]
- Patel, K.; Tyagi, P.K. Multilayer graphene as a transparent conducting electrode in silicon heterojunction solar cells. AIP Adv. 2015, 5, 077165. [Google Scholar] [CrossRef]
- Patel, K.; Tyagi, P.K. P-type multilayer graphene as a highly efficient transparent conducting electrode in silicon heterojunction solar cells. Carbon 2017, 116, 744–752. [Google Scholar] [CrossRef]
- Wilbert, S.; Jessen, W.; Gueymard, C.A.; Polo, J.; Bian, Z.; Driesse, A.; Habte, A.; Marzo, A.; Armstrong, P.; Vignola, F.; et al. Proposal and Evaluation of Subordinate Standard Solar Irradiance Spectra with a Focus on Air Mass Effects. In Proceedings of the ISES Solar World Congress 2017 and IEA SHC Solar Heating and Cooling Conference for Buildings and Industry 2017, Abu Dhabi, United Arab Emirates, 29 October–2 November 2017; pp. 1372–1384. [Google Scholar] [CrossRef][Green Version]
- Jessen, W.; Wilbert, S.; Gueymard, C.A.; Polo, J.; Bian, Z.; Driesse, A.; Habte, A.; Marzo, A.; Armstrong, P.; Vignola, F.; et al. Evaluation of Subordinate Standard Solar Irradiance Spectra for Applications in Solar Energy Systems. Sol. Energy 2018, 168, 30–43. [Google Scholar] [CrossRef]
- Zhao, Y.; Xue, P.; Fan, C.; Li, B.; Zhang, N.; Ma, T.; Xie, J.; Liu, J. Data mining techniques for novel local reference solar irradiance spectra calculations: A case study in Beijing. Sol. Energy 2023, 258, 106–117. [Google Scholar] [CrossRef]
- Gueymard, C.A.; Myers, D.; Emery, K. Proposed reference irradiance spectra for solar energy systems testing. Sol. Energy 2002, 73, 443–467. [Google Scholar] [CrossRef]
- Marzo, A.; Polo, J.; Wilbert, S.; Gueymard, C.A.; Jessen, W.; Ferrada, P.; Alonso-Montesinos, J.; Ballestrín, J. Sunbelt spectra comparison with standard ASTM G173: The Chilean case. In AIP Conference Proceedings; AIP Publishing LLC: Melville, NY, USA, 2018; p. 190010. [Google Scholar] [CrossRef]
- Marzo, A.; Ferrada, P.; Beiza, F.; Alonso-Montesinos, J.; Ballestrín, J.; Román, R. Comparison of Atacama Desert Solar Spec-trum vs. ASTM G173-03 Reference Spectra for Solar Energy Applications. In Proceedings of the 11th International Solar Energy Society (ISES) EUROSUN Conference, Palma de Mallorca, Spain, 11–14 October 2016. [Google Scholar]
- Marzo, A.; Ferrada, P.; Beiza, F.; Besson, P.; Montesinos, J.A.; Ballestrín, J.; Román, R.; Portillo, C.; Escobar, R.; Fuentealba, E. Standard or local solar spectrum Implications for solar technologies studies in the Atacama Desert. Renew. Energy 2018, 127, 871–882. [Google Scholar] [CrossRef]
- Kato, S.; Rose, F.G.; Sun-Mack, S.; Miller, W.F.; Chen, Y.; Rutan, D.A.; Stephens, G.L.; Loeb, N.G.; Minnis, P.; Wielicki, B.A.; et al. Improvements of top-of-atmosphere and surface irradiance computations with CALIPSO-, CloudSat-, and MODIS-derived cloud and aerosol properties. J. Geophys. Res. Atmos. 2011, 116, 1–21. [Google Scholar] [CrossRef]
- Remer, L.A.; Kaufman, Y.J.; Tanré, D.; Mattoo, S. The MODIS Aerosol Algorithm, Products, and Validation. J. Atmos. Sci. 2005, 62, 947–973. [Google Scholar] [CrossRef]
- Wang, H.; Zou, X.; Li, G. An Improved Quality Control for AIRS Total Column Ozone Observations within and around Hurricanes. J. Atmos. Ocean. Technol. 2012, 29, 417–432. [Google Scholar] [CrossRef]
- ECMWF | ERA Interim, Daily, 2022. Available online: https://apps.ecmwf.int/datasets/data/interim-full-daily/levtype=sfc/ (accessed on 12 April 2022).
- Gueymard, C.A. Parameterized transmittance model for direct beam and circumsolar spectral irradiance. Sol. Energy 2001, 71, 325–346. [Google Scholar] [CrossRef]
- Giovanni. 2022. Available online: https://giovanni.gsfc.nasa.gov/giovanni/ (accessed on 12 April 2022).
- Gueymard, C. SMARTS: Simple Model of the Atmospheric Radiative Transfer of Sunshine | Grid Modernization | NREL. 1995. Available online: https://www.nrel.gov/grid/solar-resource/smarts.html (accessed on 23 March 2019).
- Weber, J.W.; Calado, V.E.; Van De Sanden, M.C.M. Optical constants of graphene measured by spectroscopic ellipsometry. Appl. Phys. Lett. 2010, 97, 091904. [Google Scholar] [CrossRef]
- Available online: https://refractiveindex.info/?shelf=main&book=C&page=Weber (accessed on 1 June 2023).
- Dahshan, A.; Aly, K.A. Determination of the thickness and optical constants of amorphous Ge-Se-Bi thin films. Philos. Mag. 2009, 89, 1005–1016. [Google Scholar] [CrossRef]
- Birgin, E.G.; Chambouleyron, I.; Mario Martínez, J. Estimation of the optical constants and the thickness of thin films using unconstrained optimization. J. Comput. Phys. 1999, 151, 862–880. [Google Scholar] [CrossRef]
- van Sark, W.; Korte, L.; Roca, F. (Eds.) Physics and Technology of Amorphous-Crystalline Heterostructure Silicon Solar Cells; Springer: Berlin/Heidelberg, Germany, 1981; p. 53. [Google Scholar]
- Lachenal, D.; Baetzner, D.; Frammelsberger, W.; Legradic, B.; Meixenberger, J.; Papet, P.; Strahm, B.; Wahli, G. Heterojunction and Passivated Contacts: A Simple Method to Extract Both n/tco and p/tco Contacts Resistivity. Energy Procedia 2016, 92, 932–938. [Google Scholar] [CrossRef]
- Coignus, J.; Baudrit, M.; Singer, J.; Lachaume, R.; Muñoz, D.; Thony, P. Key issues for accurate simulation of a-Si: H/c-Si heterojunction solar cells. Energy Procedia 2011, 8, 174–179. [Google Scholar] [CrossRef]
- Dongo, P.D.; Kapim, A.D.; Pelap, F.B. Effects of a Thermal Nonlinear Resistance on the Power Output of the PV Cell. J. Energy Technol. Policy 2014, 4, 100–111. [Google Scholar]
- Kim, H.-Y.; Dawood, O.M.; Monteverde, U.; Sexton, J.; Li, Z.; Britnell, L.; Migliorato, M.A.; Young, R.J.; Missous, M. Multilayer stacking and metal deposition effects on large area graphene on GaAs. Carbon 2016, 96, 83–90. [Google Scholar] [CrossRef]
- Lim, E.L.; Yap, C.C.; Jumali, M.H.H.; Teridi, M.A.M.; Teh, C.H. A Mini Review: Can Graphene Be a Novel Material for Perovskite Solar Cell Applications? Nano Micro Lett. 2018, 10, 1–12. [Google Scholar] [CrossRef] [PubMed]
- Negishi, R.; Wei, C.; Yao, Y.; Ogawa, Y.; Akabori, M.; Kanai, Y.; Matsumoto, K.; Taniyasu, Y.; Kobayashi, Y. Turbostratic Stacking Effect in Multilayer Graphene on the Electrical Transport Properties. Phys. Status Solidi Basic Res. 2020, 257, 1900437. [Google Scholar] [CrossRef]
- Park, M.; Kim, J.; Song, H.; Kim, S.; Jeon, M. Fast and stable ionic electroactive polymer actuators with PEDOT:PSS/(graphene–Ag-Nanowires) nanocomposite electrodes. Sensors 2018, 18, 11–15. [Google Scholar] [CrossRef]
- Liu, G.; Rumyantsev, S.; Shur, M.S.; Balandin, A.A. Origin of 1/f noise in graphene multilayers: Surface vs. volume. Appl. Phys. Lett. 2013, 102, 093111. [Google Scholar] [CrossRef]
- Paquin, F.; Rivnay, J.; Salleo, A.; Stingelin, N.; Silva, C. Multi-phase semicrystalline microstructures drive exciton dissociation in neat plastic semiconductors. J. Mater. Chem. C 2015, 3, 10715–10722. [Google Scholar] [CrossRef]
- Grande, M.; Bianco, G.V.; Vincenti, M.A.; de Ceglia, D.; Capezzuto, P.; Scalora, M.; D’Orazio, A.; Bruno, G. Optically Transparent Microwave Polarizer Based on Quasi-Metallic Graphene. Sci. Rep. 2015, 5, 17083. [Google Scholar] [CrossRef]
- Chan, S.H.; Chen, S.H.; Lin, W.T.; Kuo, C.C. Uniformly distributed graphene domain grows on standing copper via low-pressure chemical vapor deposition. Adv. Mater. Sci. Eng. 2013, 2013, 460732. [Google Scholar] [CrossRef]
- Bianco, G.V.; Sacchetti, A.; Milella, A.; Grande, M.; D’Orazio, A.; Capezzuto, P.; Bruno, G. Extraordinary low sheet resistance of CVD graphene by thionyl chloride chemical doping. Carbon 2020, 170, 75–84. [Google Scholar] [CrossRef]
- Sun, H.; Ge, G.; Zhu, J.; Yan, H.; Lu, Y.; Wu, Y.; Wan, J.; Han, M.; Luo, Y. High electrical conductivity of graphene-based transparent conductive films with silver nanocomposites. RSC Adv. 2015, 5, 108044–108049. [Google Scholar] [CrossRef]
- Hendrichs, M.; Padilla, M.; Walter, J.; Clement, F.; Rech, B. Screen-Printed Metallization Concepts for Large-Area Back-Contact Back-Junction Silicon Solar Cells. IEEE J. Photovolt. 2016, 6, 374–383. [Google Scholar] [CrossRef]
- Braun, S.; Hahn, G.; Nissler, R.; Pönisch, C.; Habermann, D. The Multi-Busbar Design: An Overview. Energy Procedia 2013, 43, 86–92. [Google Scholar] [CrossRef][Green Version]
- Jouini, A.; Ponthenier, D.; Lignier, H.; Enjalbert, N.; Marie, B.; Drevet, B.; Pihan, E.; Cayron, C.; Lafford, T.; Camel, D. Improved Multicrystalline Silicon Ingot Crystal Quality through Seed Growth for High Efficiency Solar Cells: Improved Mc-Si Ingot Crystal Quality through Seed Growth. Prog. Photovolt. Res. Appl. 2012, 20, 735–746. [Google Scholar] [CrossRef]
- Jay, F.; Muñoz, D.; Desrues, T.; Pihan, E.; de Oliveira, A.; Enjalbert, N.; Jouini, A. Advanced Process for N-Type Mono-like Silicon a-Si:H/c-Si Heterojunction Solar Cells with 21.5% Efficiency. Sol. Energy Mater. Sol. Cells 2014, 130, 690–695. [Google Scholar] [CrossRef]
- Available online: https://www.pvlighthouse.com.au/ (accessed on 1 July 2023).








| Input Parameters | a-Si:H(n+) | a-Si:H(i) | a-Si:H(p+) | c-Si:H(n) |
|---|---|---|---|---|
| Thickness | 3–12 | 4 | 3–12 | |
| Dielectric constant | 11.9 | 11.9 | 11.9 | 11.9 |
| Electron affinity | 3.8 | 3.8 | 3.8 | 4.05 |
| Band gap | 1.74 | 1.74 | 1.7 | 1.12 |
| Effective conduction band density | ||||
| Effective valence band density | ||||
| Electron mobility | 10 | 20 | 10 | 1040 |
| Hole mobility | 1 | 2 | 1 | 421 |
| Doping concentration of acceptors | 0 | 0 | 0 | |
| Doping concentration of donors | 0 | 0 | ||
| Thermal velocity of electrons | ||||
| Thermal velocity of holes | ||||
| Layer density | 2.328 | 2.328 | 2.328 | 2.328 |
| Auger recombination coefficient for electron | 0 | 0 | 0 | |
| Auger recombination coefficient for hole | 0 | 0 | 0 | |
| Direct band-to-band recombination coefficient | 0 | 0 | 0 |
| Contact Parameters | Front Contact | Back Contact |
|---|---|---|
| Width (nm) | 3.4–34.0 | 70 |
| File | #Gr.nk | ITO.nk |
| Metal work function | 3.0 eV | Yes (flatband) |
| Absorption loss | #Gr.abs | ITO.abs |
| External reflection constant | #Gr.ref | aSicSi_ITO.ref |
| Surface condition | Textured | Textured |
| Internal reflection constant | 0 | 0 |
| Metallization Parameters | Fingers | Busbars | ||
|---|---|---|---|---|
| Front | Back | Front | Back | |
| Number | 120 | 120 | 5 | 5 |
| Height | 30 | 30 | 30 | 30 |
| Width | 45 | 45 | 500 | 500 |
| Cell area | 244.315 | |||
| Parameter | ||||
|---|---|---|---|---|
| AM1.5/op | 761.9 | 37.19 | 76.88 | 21.78 |
| Ata/op | 763.9 | 40.82 | 76.49 | 23.85 |
| Parameter/Spectrum | AM1.5 | Atacama | Unit |
|---|---|---|---|
| 7 | 9 | ||
| 6 | 7 | ||
| 160 | 150 | ||
| 4 | 4 | ||
| 5 | 5 |
Disclaimer/Publisher’s Note: The statements, opinions and data contained in all publications are solely those of the individual author(s) and contributor(s) and not of MDPI and/or the editor(s). MDPI and/or the editor(s) disclaim responsibility for any injury to people or property resulting from any ideas, methods, instructions or products referred to in the content. |
© 2023 by the authors. Licensee MDPI, Basel, Switzerland. This article is an open access article distributed under the terms and conditions of the Creative Commons Attribution (CC BY) license (https://creativecommons.org/licenses/by/4.0/).
Share and Cite
Revollo, H.; Ferrada, P.; Martin, P.; Marzo, A.; del Campo, V. HIT Solar Cell Modeling Using Graphene as a Transparent Conductive Layer Considering the Atacama Desert Solar Spectrum. Appl. Sci. 2023, 13, 9323. https://doi.org/10.3390/app13169323
Revollo H, Ferrada P, Martin P, Marzo A, del Campo V. HIT Solar Cell Modeling Using Graphene as a Transparent Conductive Layer Considering the Atacama Desert Solar Spectrum. Applied Sciences. 2023; 13(16):9323. https://doi.org/10.3390/app13169323
Chicago/Turabian StyleRevollo, Henrry, Pablo Ferrada, Pablo Martin, Aitor Marzo, and Valeria del Campo. 2023. "HIT Solar Cell Modeling Using Graphene as a Transparent Conductive Layer Considering the Atacama Desert Solar Spectrum" Applied Sciences 13, no. 16: 9323. https://doi.org/10.3390/app13169323
APA StyleRevollo, H., Ferrada, P., Martin, P., Marzo, A., & del Campo, V. (2023). HIT Solar Cell Modeling Using Graphene as a Transparent Conductive Layer Considering the Atacama Desert Solar Spectrum. Applied Sciences, 13(16), 9323. https://doi.org/10.3390/app13169323

