Study on Migration Monitoring Technology of Chromium-Contaminated Site Based on Dual-Frequency Induced Polarization Method
Abstract
:1. Introduction
2. Migration Modelling and Numerical Simulation of Contaminated Fields
2.1. Convection–Dispersion Modelling of Contaminated Sites
2.2. Numerical Simulation of the Migration Characteristics of the Contaminated Site
3. Comparative Analysis of Numerical Forward Simulation and Soil Trench Modeling Experiments
3.1. Experimental Program Design
3.2. Numerical forward Simulation of the Dual-Frequency Excitation Method
3.2.1. Introduction of the Cole–Cole Model in Dual Frequency IP Method
3.2.2. Acquisition of Numerical Simulation Results
3.3. Analysis of Experimental Results
4. Numerical forward Simulation of Chromium-Contaminated Field Migration for Dual Frequency IP Method Monitoring
4.1. Numerical Simulation of Dual Frequency Induced Polarization Monitoring of Contaminated Sites in Different Terrains
4.1.1. Numerical Simulation of Intermediate Gradient Detection Device Detection
4.1.2. Numerical Simulation of Symmetrical Quadrupole Sounding Device Detection
4.2. Determination of the Location of the Heavily Contaminated Area
- Arrange the measuring points at the edge of the polluted field during the bathymetric sounding.
- Combine the apparent amplitude frequency and apparent resistivity curve to make a comprehensive determination.
- Arrange power supply electrodes on the mountain frontier on both sides.
5. Discussion
6. Conclusions
- (1)
- Factors that can accelerate the spread of pollution, such as the presence of a permeable layer with a high permeability coefficient or a water-rich soil layer under the ground, which can lead to a rapid increase in the size of the area contaminated with heavy metals or even to the creation of multiple main areas of heavy pollution. Specifically, the permeable layer with a high permeability coefficient has a strong adsorption effect on the heavily polluted part. It will enhance the lateral diffusion of the polluted area in a short period.
- (2)
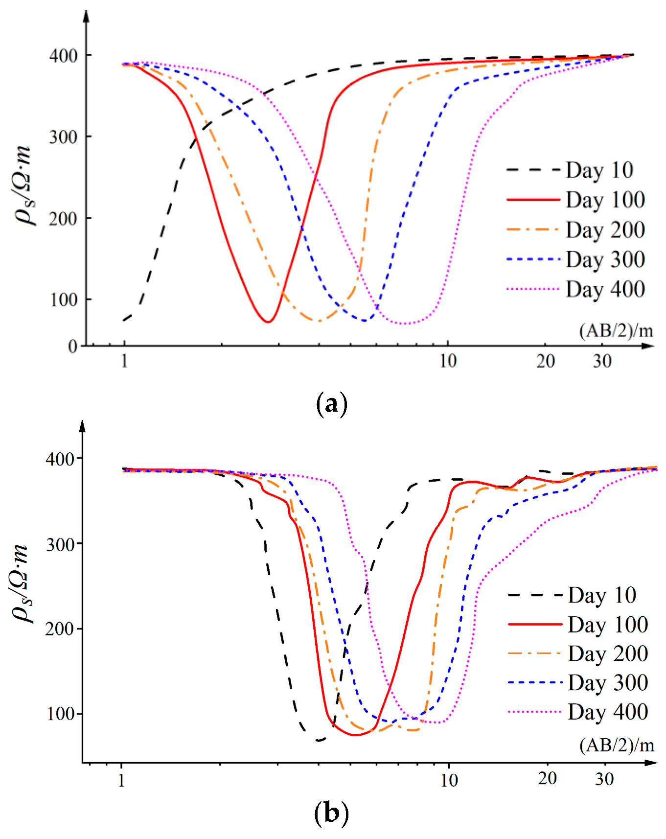
- The peaks of the apparent amplitude frequency curves corresponded well with the valleys of the apparent resistivity when the Intermediate Gradient detection device was used for detection on flat terrain. It was determined that the combination of the two curves gave a better picture of the orientation of the heavily contaminated area. When detecting undulating terrain, the valleys will lead to the phenomenon of “multiple peaks” of the apparent amplitude frequency curve in a heavily polluted area.
- (3)
- In the symmetrical quadrupole sounding device, the placement of the bathymetric survey points at the center of the edges of the contaminated field projections during soundings provides a better estimation of the depths at the top and bottom of the heavily contaminated areas of the field based on the apparent amplitude frequency curves. Consistent with the mid-staircase profile, an increase in the migration depth of the contaminated field causes a significant decrease in the peak apparent amplitude frequency. However, it has no significant effect on the apparent resistivity valley.
- (4)
- Influenced by the raised mountain peaks, the arrangement of power supply electrodes on the mountain frontiers on both sides of them allows for more efficient and precise monitoring and judgment of heavily polluted areas.
Author Contributions
Funding
Institutional Review Board Statement
Informed Consent Statement
Data Availability Statement
Acknowledgments
Conflicts of Interest
References
- Zhitkovich, A. Chromium in drinking water: Sources, metabolism, and cancer risks. Chem. Res. Toxicol. 2011, 24, 1617–1629. [Google Scholar] [CrossRef] [PubMed]
- Yang, W.; Lei, G.; Quan, S.; Zhang, L.; Wang, B.; Hu, H.; Li, L.; Ma, H.; Yin, C.; Feng, F.; et al. The Removal of Cr(VI) from Aqueous Solutions with Corn Stalk Biochar. Int. J. Environ. Res. Public Health 2022, 19, 14188. [Google Scholar] [CrossRef] [PubMed]
- Bregnbak, D.; Johansen, J.D.; Jellesen, M.S.; Zachariae, C.; Menné, T.; Thyssen, J.P. Chromium allergy and dermatitis: Prevalence and main findings. Contact Dermat. 2015, 73, 261–280. [Google Scholar] [CrossRef] [PubMed]
- Moretto, A. Hexavalent and trivalent chromium in leather: What should be done? Regul. Toxicol. Pharmacol. 2015, 73, 681–686. [Google Scholar] [CrossRef] [PubMed]
- Ramos, E.; Bux, R.K.; Medina, D.I.; Barrios-Piña, H.; Mahlknecht, J. Spatial and Multivariate Statistical Analyses of Human Health Risk Associated with the Consumption of Heavy Metals in Groundwater of Monterrey Metropolitan Area, Mexico. Water 2023, 15, 1243. [Google Scholar] [CrossRef]
- Wang, T.; Jin, D.; Yang, J. Heavy metal pollution characteristics and source analysis of water drainage from a mine in Inner Mongolia. Coal Geol. Explor. 2021, 49, 45–51. [Google Scholar]
- Song, C.; Wang, X. Exploration of Environmental Protection Planning in Urban Construction--Review of the "13th Five-Year Plan" for Ecological Environmental Protection. J. Environ. Eng. 2020, 38, 253. [Google Scholar]
- Wu, J.; Song, J.; Zheng, M.; Xie, J.; Li, J. Review of methods for monitoring soil heavy metal concentrations. J. Northeast Agric. Univ. 2011, 42, 133–139. [Google Scholar] [CrossRef]
- Liu, Z.; Tan, H.; Liu, M.; Su, J.; Zhou, D. Study on dispersion attenuation characteristics of ground penetrating radar reflected wave in zinc contaminated soil. Prog. Geophys. 2022, 37, 2180–2187. [Google Scholar] [CrossRef]
- Ren, B. Application of transient electromagnetic geophysical method in mineral resources investigation. Geol. Prospect. 2022, 598, 140–142. [Google Scholar]
- Martinho, E. Electrical Resistivity and Induced Polarization Methods for Environmental Investigations: An Overview. Water Air Soil Pollut. 2023, 234, 215. [Google Scholar] [CrossRef]
- Qiang, J.; He, J. Algorithm of forward and inversion of dual-frequency induced polarization method on elliptical sphere. J. Cent. South Univ. (Sci. Technol.) 2007, 6, 1199–1205. [Google Scholar]
- He, J. Preliminary study on dual channel AC induced polarization method. J. Cent. South Coll. Min. Metall. 1978, 2, 1–11. [Google Scholar]
- Liu, Z.; Han, L.; Zhang, W.; Liu, X.; Wu, M. Research on the detection technology of focusing dual-frequency induced polarization method in tunnel. J. China Coal Soc. 2016, 41, 3086–3094. [Google Scholar] [CrossRef]
- Liu, Z.; Han, L.; Zhang, W.; Wu, M. Study on advanced scanning detection technology of dual-frequency induced polarization method with multi-point current sources in coal mine roadway. Coal Geol. Explor. 2017, 45, 149–156, 162. [Google Scholar] [CrossRef]
- Liu, Z.; Meng, C.; Li, B.; Han, L.; Pan, Y. Detection electric field control strategy for advanced scanning detection of focusing multipoint current sources in coal mine roadway. Coal Geol. Explor. 2019, 47, 195–200, 207. [Google Scholar] [CrossRef]
- Zhang, J. Forward and Inversion Study of Induced Polarization Method for Detection of Cr Heavy Metal Pollution Soil. Master’s Thesis, Hebei University of Engineering, Handan, China, 2021. [Google Scholar] [CrossRef]
- Huang, G.; Nie, Y.; Zhang, Q.; Tong, S.; Zhao, J.; Liang, D.; Chen, Y. Research progress of agricultural non-point source pollution migration process and modelin basins. J. Environ. Eng. Technol. 2023, 13, 1364–1372. [Google Scholar]
- Wu, L.; Li, X.; Ma, X. Particulate nutrient loss from drylandsto grasslands/forestlands in a large-scale highly erodible watershed. Ecol. Indic. 2019, 107, 105673. [Google Scholar] [CrossRef]
- Pei, Y.; Huang, L.; Li, D. Characteristics andcontrols of solute transport under different conditions of soiltexture and vegetation type in the water-wind erosion crisscrossregion of China’s Loess Plateau. Chemosphere 2021, 273, 129651. [Google Scholar] [CrossRef]
- Ren, Z.; Tang, J. 3D direct current resistivity modeling with unstructured mesh by adaptive finite-element method. Geophysics 2010, 75, H7–H17. [Google Scholar] [CrossRef]
- Jiao, F.; Ma, Z.; Hou, Y. Pollution mechanism and migration prediction of Cr(VI) in shallow groundwater in Jiaozuo area. Coal Geol. Explor. 2014, 42, 82–86+96. [Google Scholar] [CrossRef]
- Kumar, M.; SOK, R.; Kanckstedt, M.A.; Latham, S.; Senden, T.J. Mapping 3D pore scale fluid distributions: How rock resestivity is influenced by wettability and saturation history. Petrophysics 2010, 51, 102–117. [Google Scholar]
- De Melo, L.B.B.; Silva, B.M.; Peixoto, D.S.; Chiarini, T.P.A.; de Oliveira, G.C.; Curi, N. Effect of compaction on the relationship between electrical resistivity and soil water content in Oxisol. Soil Tillage Res. 2021, 208, 104876. [Google Scholar]
- Wang, C.; Xu, Y.; Gao, X. Rock resistivity characteristics and its application in coal mine goaf exploration. Coal Eng. 2020, 52, 64–69. [Google Scholar]
- Sun, Y.; Neng, C.; Liu, Y.; Dong, L. Investigation on the electrical resistivity of chromium contaminated soil. Acta Sci. Circumstantiae 2011, 31, 1992–1998. [Google Scholar] [CrossRef]
- Yang, Z.; Xu, J.; Zhao, Q.; Li, X. Current tituation and review of Complex Resistivity. Prog. Geophys. 2015, 30, 899–904. [Google Scholar] [CrossRef]
- Liu, H.; Sun, Y.; Neng, C.; Wang, C.; Liu, Y. The complex dispersion properties of the chrome contain in a ted soil. Geophys. Explor. 2010, 34, 372–375. [Google Scholar]
- Yu, X. Characterization and efficacy study of commonly used devices in excitation methods. Sci. Technol. Innov. Her. 2010, 55, 114. [Google Scholar] [CrossRef]
- Wu, X. Affection of single-slope terrain for the pseudo-section figure of the symmetric four pole IP sounding. Prog. Geophys. 2016, 31, 2166–2171. [Google Scholar] [CrossRef]
- Qin, F.; Zhao, M.; Li, Q.; Li, Q.; Tao, L. Calculating Model For Effective Detection Depth of Symmetric Four-Pole Sounding. Acta Geol. Sichuan 2018, 38, 325–327. [Google Scholar]

















| Parameter Names | Pulverized Clay | Fine Sand | Medium Sand | All Areas | Unit |
|---|---|---|---|---|---|
| Permeability coefficient (K) | 10−8 | 5 × 10−5 | 2 × 10−4 | None | m/s |
| Porosity | 0.20 | 0.30 | 0.35 | None | × |
| Resistivity | None | None | None | 390 | |
| Mass water content | 0.15 | 0.20 | 0.12 | None | × |
| Vertical diffusivity | None | None | None | 0.5 | m |
| Horizontal diffusivity | None | None | None | 0.005 | m |
| Density | 1700 | 1600 | 1500 | None | kg/m3 |
| /mV (Potential Difference in the Real Part at 4 Hz) | /mV (Potential Difference in the Real Part at 0.308 Hz) | Fs/% |
|---|---|---|
| 238.00 | 240.70 | 1.122 |
| 158.20 | 160.10 | 1.187 |
| 113.94 | 115.34 | 1.213 |
| 75.96 | 76.91 | 1.235 |
| 50.64 | 51.28 | 1.248 |
| 33.76 | 34.17 | 1.199 |
| 22.50 | 22.78 | 1.229 |
| 15.00 | 15.19 | 1.251 |
| 10.00 | 10.128 | 1.264 |
| 6.6667 | 6.7523 | 1.268 |
| 4.4444 | 4.5016 | 1.269 |
| 2.9630 | 3.0011 | 1.271 |
| 1.9753 | 2.0010 | 1.284 |
| 1.3169 | 1.3340 | 1.288 |
| 0.8779 | 0.8894 | 1.289 |
| 0.5851 | 0.5929 | 1.318 |
| 0.3901 | 0.3954 | 1.346 |
| 0.2600 | 0.2636 | 1.349 |
| 0.1734 | 0.1758 | 1.414 |
| 0.1156 | 0.1173 | 1.420 |
| /mV | Device Coefficient K | ρs/Ω·m |
|---|---|---|
| 445.89 | 125 | 560.1 |
| 147.48 | 376 | 555.0 |
| 73.75 | 751 | 554.6 |
| 44.21 | 1248 | 552.0 |
| 29.53 | 1866 | 551.0 |
| 21.14 | 2600 | 550.3 |
| 15.86 | 3448 | 547.1 |
| 12.39 | 4404 | 546.0 |
| 9.96 | 5462 | 544.2 |
| 8.23 | 6614 | 544.5 |
| 6.91 | 7853 | 543.0 |
| 5.91 | 9167 | 541.8 |
| 5.13 | 10,547 | 541.3 |
| 4.51 | 11,979 | 541.0 |
| 4.01 | 13,449 | 539.2 |
| 3.59 | 14,942 | 537.0 |
| 3.27 | 16,440 | 536.7 |
| 2.99 | 17,927 | 536.5 |
| 2.77 | 19,384 | 536.4 |
| 2.58 | 20,791 | 535.9 |
| Average Value | Points 1 to 20 | Error | |
| ρs/(Ω·m) | Experimental value | 536.27 Ω·m | 1.57% |
| Simulation value | 544.70 Ω·m | ||
| Fs/% | Experimental value | 1.31% | 3.0% |
| Simulation value | 1.27% | ||
| Average Value | Points 21 to 27 | Error | |
| ρs/(Ω·m) | Experimental value | 418.63 Ω·m | 16.7% |
| Simulation value | 488.89 Ω·m | ||
| Fs/% | Experimental value | 4.31% | 15.78% |
| Simulation value | 3.63% | ||
| Average Value | Points 28 to 30 | Error | |
| ρs/(Ω·m) | Experimental value | 255.80 Ω·m | 4.93% |
| Simulation value | 243.20 Ω·m | ||
| Fs/% | Experimental value | 5.89% | 3.22% |
| Simulation value | 6.08% | ||
Disclaimer/Publisher’s Note: The statements, opinions and data contained in all publications are solely those of the individual author(s) and contributor(s) and not of MDPI and/or the editor(s). MDPI and/or the editor(s) disclaim responsibility for any injury to people or property resulting from any ideas, methods, instructions or products referred to in the content. |
© 2023 by the authors. Licensee MDPI, Basel, Switzerland. This article is an open access article distributed under the terms and conditions of the Creative Commons Attribution (CC BY) license (https://creativecommons.org/licenses/by/4.0/).
Share and Cite
Liu, Z.; Wei, K.; Pan, Y. Study on Migration Monitoring Technology of Chromium-Contaminated Site Based on Dual-Frequency Induced Polarization Method. Appl. Sci. 2023, 13, 8849. https://doi.org/10.3390/app13158849
Liu Z, Wei K, Pan Y. Study on Migration Monitoring Technology of Chromium-Contaminated Site Based on Dual-Frequency Induced Polarization Method. Applied Sciences. 2023; 13(15):8849. https://doi.org/10.3390/app13158849
Chicago/Turabian StyleLiu, Zhimin, Kaiyao Wei, and Yue Pan. 2023. "Study on Migration Monitoring Technology of Chromium-Contaminated Site Based on Dual-Frequency Induced Polarization Method" Applied Sciences 13, no. 15: 8849. https://doi.org/10.3390/app13158849
APA StyleLiu, Z., Wei, K., & Pan, Y. (2023). Study on Migration Monitoring Technology of Chromium-Contaminated Site Based on Dual-Frequency Induced Polarization Method. Applied Sciences, 13(15), 8849. https://doi.org/10.3390/app13158849
