Experimental Study on Strength and Dry–Wet Cycle Characteristics of South China Coastal Soft Soil Solidified by Cement Collaborating Sand Particles
Abstract
1. Introduction
2. Test Materials and Test Methods
2.1. Test Materials
2.2. Sample Preparation
2.3. Test Scheme
2.4. Test Method
2.4.1. Strength Test Methods
- (1)
- Unconfined compression strength (UCS) test
- (2)
- Dry–wet cycle test and strength loss rate
2.4.2. Microscopic Test Method
- (1)
- Scanning electron microscopy (SEM) and mineral composition analysis (XRD)
- (2)
- Ion chromatography test
3. Test Result Analysis
3.1. Unconfined Compression Strength (UCS)
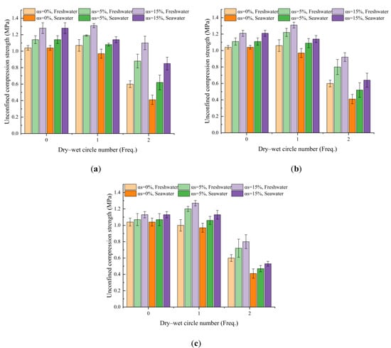
3.1.1. Effect of Sand on the UCS of Cemented Soil
3.1.2. Physical Explanation of Sand on Strengthening Mechanism of Cemented Soil
3.1.3. Influence of Sand on the Failure Mode of the Cemented Soil
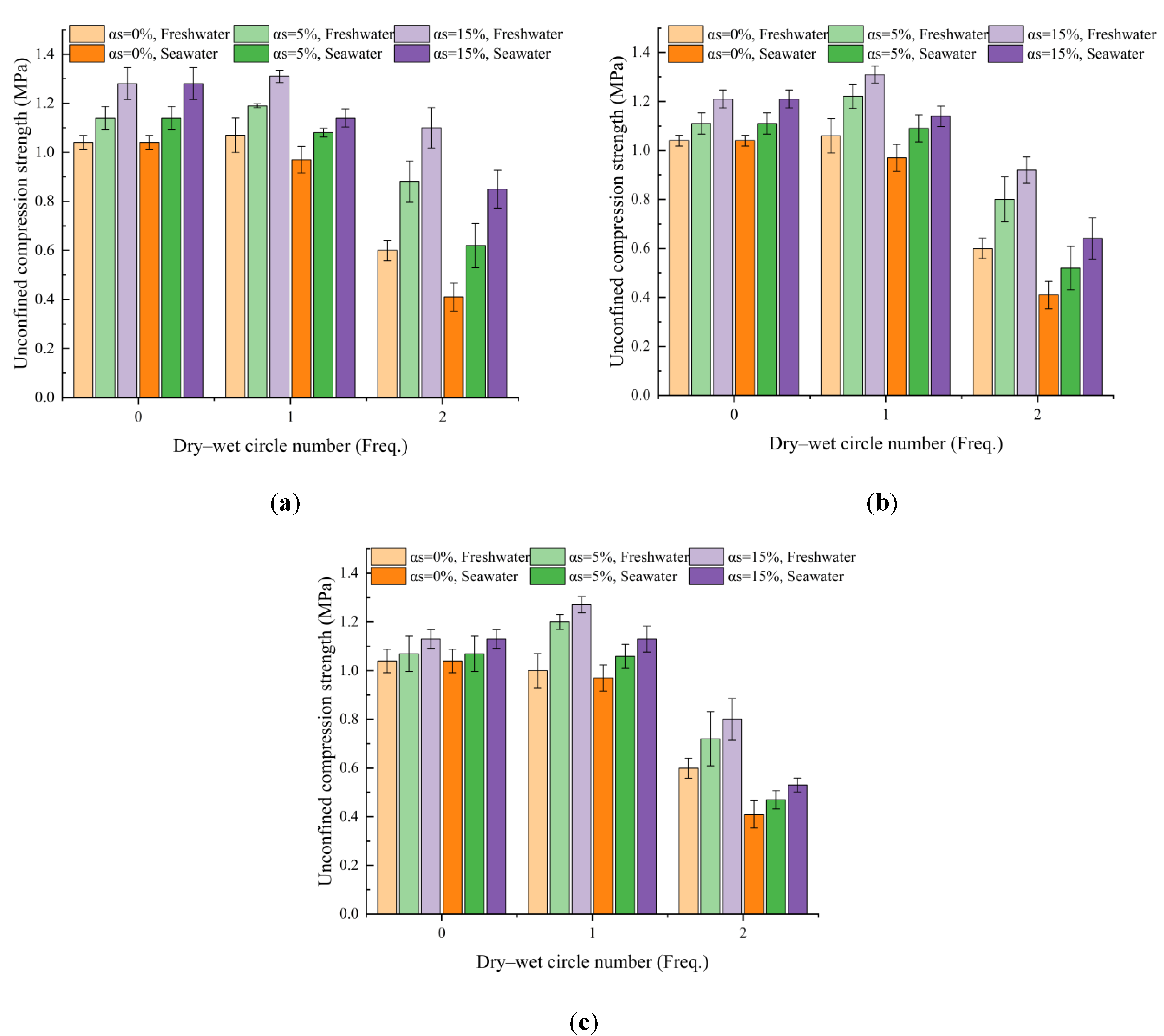
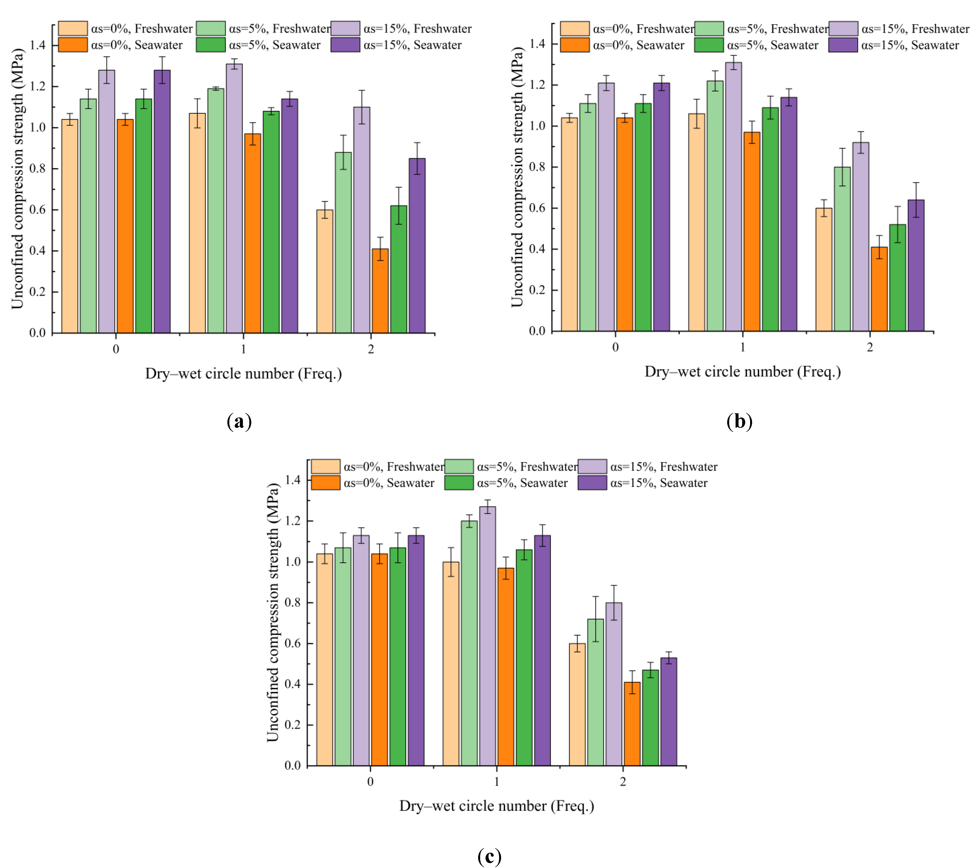
3.2. Dry–Wet Cycle Test
3.2.1. Influence of Sand on The Dry–Wet Cycle Characteristics of Cemented Soil
3.2.2. Physical Mechanism Explanation of the Influence of Sand on the Dry–Wet Cycle Characteristics of Cemented Soil
3.2.3. Effect of Sand Particle Content on Chloride Ion () Erosion Resistance of the CS-SS Samples
4. Conclusions
- (1)
- Sand particles can effectively increase the UCS and improve the anti-dry–wet cycle ability of the CS-SS. The 7, 14, and 28 d UCS of the CS-SS samples increases with an increase in sand particle content, and their anti-dry–wet cycle ability increases with an increase in the sand particle content and a decrease in the sand particle size.
- (2)
- The UCS of the CS-SS samples decreases sharply after two dry–wet cycles. The strength deterioration effect caused by the dry–wet cycle of the samples under seawater conditions is more remarkable than that under freshwater conditions.
- (3)
- The C-S-H gel produced by the hydration of cement in the CS-SS and the cemented soil-sand particle skeleton structure formed by the sand particles are the microphysical mechanism for the improvement of its UCS and resistance to the dry–wet cycle. The multiscale deterioration mechanism of the strength of the CS-SS during dry–wet cycles can be interpreted as follows: As the number of dry–wet cycles increases, short and dense microcracks appear at the microscale, destruction of the cementation interface is generated at the mesoscale, and the reduction of the UCS of the CS-SS is induced at the macroscale.
- (4)
- Through the SEM scanning electron microscope test, it was found that with the increase in the number of dry–wet cycles, the cementation interface between the particles in the sample was destroyed, and the cracks increased with the increase in the number of cycles, destroying the sample structure. Seawater is more corrosive to the sample, and the phenomenon of stratification and spalling between particles is more pronounced. The structure of the fine sand-solidified soil is relatively more complete and the strength loss is smaller, followed by medium sand and coarse sand. Through XRD mineral composition analysis, it was found that the freshwater/seawater dry–wet cycles reduce the hydration products in the sample, resulting in a decrease in the strength of the sample. Since the corrosive ions in seawater will destroy the hydration products and form Friedel’s salt with poor cementation, which is unfavorable to the strength of the sample, the hydration products are greatly reduced after seawater circulation, so the strength reduction is greater.
Author Contributions
Funding
Institutional Review Board Statement
Informed Consent Statement
Data Availability Statement
Conflicts of Interest
References
- Ren, Y.; Yang, Q.; Wang, Y.; Zhao, W. Experimental study on the undrained shear strength of deep-sea soft soil using improved T-bar penetrometer. Mar. Georesources Geotechnol. 2020, 38, 1199–1208. [Google Scholar] [CrossRef]
- Benghai, L.; Shuzhuang, Y.; Boshan, Z.; Wu, H. Geological structure and basic geotechnical charecteristics in Guangdong province. Chin. J. Rock Mech. Eng. 2006, 25, 3337–3346. (In Chinese) [Google Scholar]
- Mi, D.; Luo, J.; Liu, X.; Xu, L.; Chen, D. Origin Distribution and Geotechnical Characters of Marine Soft Clay in Guangxi Coastal Highway. J. Coast. Res. 2019, 94, 269–274. [Google Scholar] [CrossRef]
- Zhou, H.; Zheng, G.; Yu, X.; Zhang, T.; Liu, J. Bearing capacity and failure mechanism of ground improved by deep mixed columns. J. Zhejiang Univ.-Sci. A (Appl. Phys. Eng.) 2018, 19, 266–276. [Google Scholar] [CrossRef]
- Shao, Y.; Macari, E.J.; Cai, W. Compound deep soil mixing columns for retaining structures in excavations. J. Geotech. Geoenvironmental Eng. 2005, 131, 1370–1377. [Google Scholar] [CrossRef]
- Wan, Y.; Song, L.; Zhu, Z.; Peng, Y. Research on Construction Quality Monitoring and Evaluating Technology of Soil-Cement Mixing Piles. Soil Mech. Found. Eng. 2021, 58, 85–91. [Google Scholar] [CrossRef]
- Mitchell, J.K.; El Jack, S.A. The Fabric of Soil—Cement and Its Formation. Clays Clay Miner. 1966, 14, 297–305. [Google Scholar] [CrossRef]
- Du, Y.-J.; Jiang, N.-J.; Liu, S.-Y.; Jin, F.; Singh, D.N.; Puppala, A.J. Engineering properties and microstructural characteristics of cement-stabilized zinc-contaminated kaolin. Can. Geotech. J. 2014, 51, 289–302. [Google Scholar] [CrossRef]
- Miraki, H.; Shariatmadari, N.; Ghadir, P.; Jahandari, S.; Tao, Z.; Siddique, R. Clayey soil stabilization using alkali-activated volcanic ash and slag. J. Rock Mech. Geotech. Eng. 2022, 14, 576–591. [Google Scholar] [CrossRef]
- Du, C.; Zhang, J.; Yang, G.; Yang, Q. The influence of organic matter on the strength development of cement-stabilized marine soft clay. Mar. Georesources Geotechnol. 2021, 39, 983–993. [Google Scholar] [CrossRef]
- Ge, S.; Zang, J.; Wang, Y.; Zheng, L.; Xie, X. Combined stabilization/solidification and electroosmosis treatments for dredged marine silt. Mar. Georesources Geotechnol. 2021, 39, 1157–1166. [Google Scholar] [CrossRef]
- Osman, A.I.; Fawzy, S.; Farghali, M.; El-Azazy, M.; Elgarahy, A.M.; Fahim, R.A.; Maksoud, M.I.A.A.; Ajlan, A.A.; Yousry, M.; Saleem, Y. Biochar for agronomy, animal farming, anaerobic digestion, composting, water treatment, soil remediation, construction, energy storage, and carbon sequestration: A review. Environ. Chem. Lett. 2022, 20, 2385–2485. [Google Scholar] [CrossRef] [PubMed]
- Xu, X.; Zhong, J.; Huang, X.; Li, H.; Ding, Z.; Lai, Z. Age comparison by luminescence using quartz and feldspar on core HPQK01 from the Pearl River delta in China. Quat. Geochronol. 2022, 71, 101320. [Google Scholar] [CrossRef]
- Subramanian, S.; Khan, Q.; Ku, T. Effect of sand on the stiffness characteristics of cement-stabilized clay. Constr. Build. Mater. 2020, 264, 120192. [Google Scholar] [CrossRef]
- Xu, M.; Liu, L.; Deng, Y.; Zhou, A.; Gu, S.; Ding, J. Influence of sand incorporation on unconfined compression strength of cement-based stabilized soft clay. Soils Found. 2021, 61, 1132–1141. [Google Scholar] [CrossRef]
- Chian, S.C.; Chim, Y.Q.; Wong, J.W. Influence of sand impurities in cement-treated clays. Géotechnique 2016, 67, 31–41. [Google Scholar] [CrossRef]
- Zhang, J.; Hu, X.; Hong, W.; Li, T.; Shi, D.; Li, T. Experimental research of mechanical properties and microstructure for cement mortar composite soil. Chin. J. Rock Mech. Eng. 2012, 31, 3264–3269. (In Chinese) [Google Scholar]
- Liu, X.; Fan, X.; Hong, B. Experimental study of triaxial test of soils stabilized by cement mortar. Rock Soil Mech. 2011, 32, 1676–1682. (In Chinese) [Google Scholar]
- Abousnina, R.M.; Manalo, A.; Lokuge, W. Physico-mechanical properties of soils stabilized by cement mortar. Chin. J. Geotech. Eng. 2008, 30, 605–610. (In Chinese) [Google Scholar]
- Du, J.; Liu, B.; Wang, Z.; Zheng, G.; Jiang, N.-J.; Zhou, M.; Zhou, H. Dynamic Behavior of Cement-Stabilized Organic-Matter-Disseminated Sand under Cyclic Triaxial Condition. Soil Dyn. Earthq. Eng. 2021, 147, 106777. [Google Scholar] [CrossRef]
- Chandu, A.S.; Rao, G. Strength and Durability Characteristics of Red Soil Stabilised with Foundry Sand and Cement. Arab. J. Sci. Eng. 2021, 46, 5171–5178. [Google Scholar] [CrossRef]
- Pan, L. Laboratory testing study on the strength regularity of Wenzhou soft cement-soil. Chin. J. Rock Mech. Eng. 2003, 22, 863. (In Chinese) [Google Scholar]
- Liang, S.; Zeng, W. Experimental study of nansha silt soil reinforced with cement and fly-ash during wetting-drying cycles. Ind. Constr. 2018, 48, 83–86+43. (In Chinese) [Google Scholar]
- GB/T50123-2019; The Professional Standards Compilation Group of People’s Republic of China. Specification of soil test; China Architecture and Building Press: Beijing, China, 2019. (In Chinese)
- Zhao, X.; Dong, Q.; Chen, X.; Ni, F. Meso-cracking characteristics of rubberized cement-stabilized aggregate by discrete element method. J. Clean. Prod. 2021, 316, 128374. [Google Scholar] [CrossRef]
- Ministry of Environment Protection. Water Quality-Determination of Inorganic Anions (F−, Cl−, NO2−, B−, NO3−, PO43−, SO32−, SO42−): HJ84-2016; Standards Press of China: Beijing, China, 2016. (In Chinese)
- Cristelo, N.; Cunha, V.M.C.F.; Gomes, A.T.; Araújo, N.; Miranda, T.; de Lurdes Lopes, M. Influence of fibre reinforcement on the post-cracking behaviour of a cement-stabilised sandy-clay subjected to indirect tensile stress. Constr. Build. Mater. 2017, 138, 163–173. [Google Scholar] [CrossRef]
- Xing, H.; Yang, X.; Xu, C.; Ye, G. Strength characteristics and mechanisms of salt-rich soil–cement. Eng. Geol. 2009, 103, 33–38. [Google Scholar] [CrossRef]
- Balonis, M.; Lothenbach, B.; Le Saout, G.; Glasser, F.P. Impact of chloride on the mineralogy of hydrated Portland cement systems. Cem. Concr. Res. 2010, 40, 1009–1022. [Google Scholar] [CrossRef]
- Millogo, Y.; Morel, J.C. Microstructural characterization and mechanical properties of cement stabilised adobes. Mater. Struct. 2012, 45, 1311–1318. [Google Scholar] [CrossRef]
- Wahab, N.; Talib, M.K.A.; Malik, A.K.A.; Madun, A. Effect of cement stabilized peat on strength, microstructure, and chemical analysis. Phys. Chem. Earth Parts A/B/C 2023, 129, 103348. [Google Scholar] [CrossRef]
- Waller, S.E.; Belousov, A.; Kidd, R.D.; Nikolić, D.; Madzunkov, S.M.; Wiley, J.S.; Darrach, M.R. Chemical ionization mass spectrometry: Applications for the in situ measurement of nonvolatile organics at ocean worlds. Astrobiology 2019, 19, 1196–1210. [Google Scholar]












| Extraction Points | Location | Water Content/% | Density /G/Cm3 | Void Ratio E | Liquid Limit/% | Plastic Limit/% | Liquidity Index | Plasticity Index | Organic Content/% |
|---|---|---|---|---|---|---|---|---|---|
| 1 | Foshan | 73.7 | 1.63 | 1.83 | 42.5 | 25.6 | 2.85 | 16.9 | 3.80 |
| 2 | Nanhai | 70.7 | 1.65 | 1.72 | 49.9 | 28.1 | 1.95 | 21.8 | 3.65 |
| 3 | Panyu | 64.0 | 1.72 | 1.51 | 43.8 | 26.9 | 2.20 | 16.9 | 0.90 |
| 4 | Jiangmen | 52.7 | 1.69 | 1.41 | 47.6 | 29.6 | 1.28 | 18.0 | 3.60 |
| 5 | Guangzhou | 72.7 | 1.55 | 1.93 | 46.7 | 28.0 | 2.37 | 18.7 | 0.23 |
| 6 | Guangzhou | 70.9 | 1.58 | 1.86 | 50.6 | 29.3 | 1.95 | 21.3 | 1.82 |
| 7 | Zhongshan | 65.7 | 1.69 | 1.61 | 53.4 | 26.7 | 1.46 | 26.7 | 4.62 |
| 8 | Zhuhai | 64.3 | 1.68 | 1.59 | 52.4 | 26.5 | 1.46 | 25.9 | 3.82 |
| 9 | Dongguan | 68.9 | 1.54 | 1.90 | 58.1 | 32.6 | 1.42 | 25.5 | 2.38 |
| 10 | Shenzhen | 65.7 | 1.69 | 1.57 | 47.9 | 25.5 | 1.79 | 22.4 | 1.65 |
| 11 | Zhongshan | 66.7 | 1.71 | 1.58 | 55.1 | 26.6 | 1.39 | 29.5 | 4.13 |
| Composition | CaO | Fe2O3 | SiO2 | Al2O3 | MgO | SO3 | Loss |
|---|---|---|---|---|---|---|---|
| Content (%) | 62.36 | 4.27 | 22.65 | 5.74 | 0.85 | 1.08 | 1.03 |
| Composition | NaCl | MgCl2 | Na2SO4 | CaCl2 | KCl | NaHCO3 | KBr | H3BO3 | SrCl2 |
|---|---|---|---|---|---|---|---|---|---|
| Dosage (g/L) | 24.53 | 5.20 | 4.09 | 1.16 | 0.695 | 0.201 | 0.10 | 0.027 | 0.025 |
| Tests Series | Tests Classification | αs/% | d/mm | Curing Age/d | N/freq. | Soaking Condition | Control Group/d | Number of Samples |
|---|---|---|---|---|---|---|---|---|
| 1 | UCS | 0, 2, 5, 10, 15, 30 | 0.075~0.25 | 7, 14, 28 | 0 | / | / | 45 |
| 2 | UCS | 0, 2, 5, 10, 15, 30 | 0.25~0.5 | 7, 14, 28 | 0 | / | / | 45 |
| 3 | UCS | 0, 2, 5, 10, 15, 30 | 0.5~1.0 | 7, 14, 28 | 0 | / | / | 45 |
| 4 | Dry–wet cycle | 0, 5, 15 | 0.075~0.25 | 28 | 1, 2 | Seawater, Freshwater | 58, 88 | 72 |
| 5 | Dry–wet cycle | 0, 5, 15 | 0.25~0.5 | 28 | 1, 2 | Seawater, Freshwater | 58, 88 | 72 |
| 6 | Dry–wet cycle | 0, 5, 15 | 0.5~1.0 | 28 | 1, 2 | Seawater, Freshwater | 58, 88 | 72 |
| Group | Laboratory Blank Sample | Seawater, N = 1, Medium Sand, αs = 5% | Seawater, N = 2, Medium Sand, αs = 5% | Seawater, N = 2, Medium Sand, αs = 15% |
|---|---|---|---|---|
| Peak area (μS·min) | 0.03 | 0.47 | 0.95 | 0.82 |
| (mg/L) | - | 137.80 | 299.50 | 255.71 |
Disclaimer/Publisher’s Note: The statements, opinions and data contained in all publications are solely those of the individual author(s) and contributor(s) and not of MDPI and/or the editor(s). MDPI and/or the editor(s) disclaim responsibility for any injury to people or property resulting from any ideas, methods, instructions or products referred to in the content. |
© 2023 by the authors. Licensee MDPI, Basel, Switzerland. This article is an open access article distributed under the terms and conditions of the Creative Commons Attribution (CC BY) license (https://creativecommons.org/licenses/by/4.0/).
Share and Cite
Liang, S.; Wang, Y.; Feng, D. Experimental Study on Strength and Dry–Wet Cycle Characteristics of South China Coastal Soft Soil Solidified by Cement Collaborating Sand Particles. Appl. Sci. 2023, 13, 8844. https://doi.org/10.3390/app13158844
Liang S, Wang Y, Feng D. Experimental Study on Strength and Dry–Wet Cycle Characteristics of South China Coastal Soft Soil Solidified by Cement Collaborating Sand Particles. Applied Sciences. 2023; 13(15):8844. https://doi.org/10.3390/app13158844
Chicago/Turabian StyleLiang, Shihua, Yuxin Wang, and Deluan Feng. 2023. "Experimental Study on Strength and Dry–Wet Cycle Characteristics of South China Coastal Soft Soil Solidified by Cement Collaborating Sand Particles" Applied Sciences 13, no. 15: 8844. https://doi.org/10.3390/app13158844
APA StyleLiang, S., Wang, Y., & Feng, D. (2023). Experimental Study on Strength and Dry–Wet Cycle Characteristics of South China Coastal Soft Soil Solidified by Cement Collaborating Sand Particles. Applied Sciences, 13(15), 8844. https://doi.org/10.3390/app13158844
