A Simplified Silty Sand Model
Abstract
1. Introduction
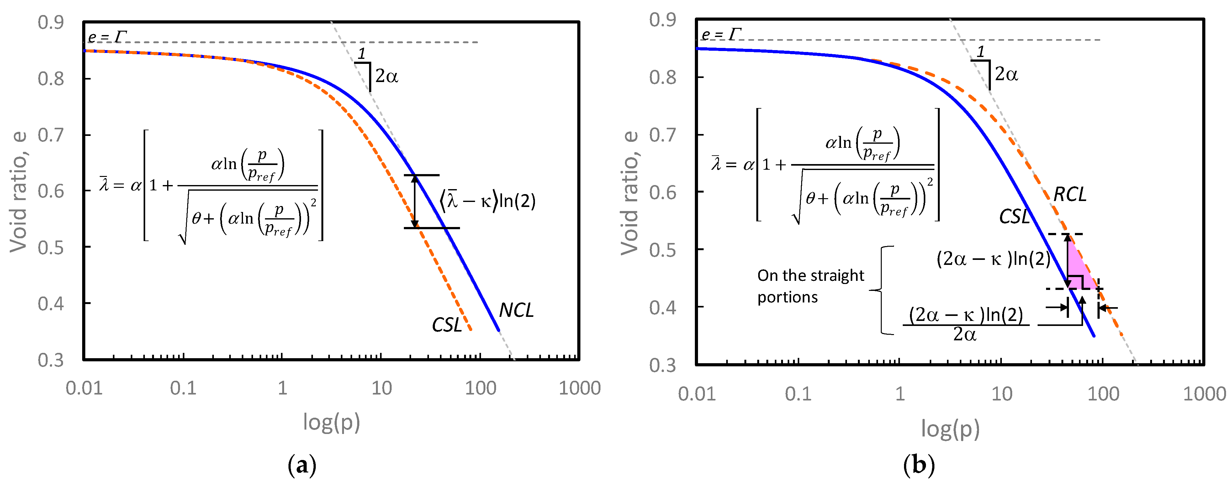
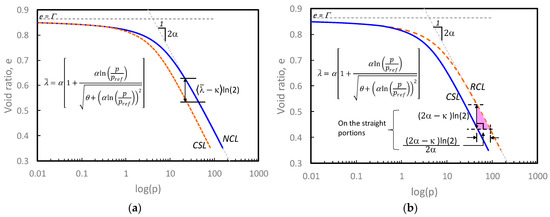
2. The Critical State Line in e-ln(p) Plane
- (1)
- The equation should provide both the curved portion and the connecting straight line.
- (2)
- One of the fitting parameters should be the desired slope of the straight portion.
- (3)
- The equation should consist of parameters that can adjust to fit various curvatures and locations.
- (4)
- All parameters should be determined from a conventional test.
3. Critical State Model for Clean Sand
- (1)
- Sand on RCL exhibits only volume contraction during shearing, and the stress ratio reaches its maximum value at the critical state, where and is the slope of the critical state line on p-q plane.
- (2)
- Sand that is looser than the RCL (sheared from a point above the RCL) exhibits only volume contraction, but it has a larger amount than sand on the RCL, it finally reaches the same maximum stress ratio as sand on the RCL at .
- (3)
- Sand that is denser than the RCL (sheared from a point below the RCL) exhibits volume contraction in early stage, followed by dilation (the stress ratio is greater than the maximum stress ratio of sand on the RCL, i.e., (, and finally converges to the stress ratio .
3.1. Hardening Parameter H
3.2. Yield Function
3.3. Peak Strength of Dense Sand
4. Critical State Model for Silty Sand
4.1. Impact of Fine Particles on Sand Properties
4.2. Mathematical Modeling of Stress–Strain Behavior in Silty Sands
- (1)
- A new curve of the CSL which destroyed the restriction of the straight CSL employed in the based model, Equation (1), and removed the inaccuracy from the CSL in the form of a power function, which are frequently used in the model of granular soil in the literature, Equation (2).
- (2)
- A modification in the state parameter, Equation (17), that determines the peak of the stress–strain curve during shearing.
4.2.1. Transformed Stress Tensor
4.2.2. Stress–strain Modelling for Elastoplastic Constitutive Model
4.3. Prediction of the Simplified Silty Sand Model
5. Conclusions
Author Contributions
Funding
Institutional Review Board Statement
Informed Consent Statement
Data Availability Statement
Acknowledgments
Conflicts of Interest
Nomenclature
| initial void ratio | |
| critical state void ratio | |
| equivalent intergranular void ratio (Equation (18)) | |
| minimum void ratio (see Section 3.3) | |
| maximum void ratio (see Section 3.3) | |
| elastic void ratio increment | |
| plastic void ratio increment | |
| λ | slope of the straight CSL |
| slope of the curved CSL | |
| tangential slope of the proposed CSL (Equation (5)) | |
| secant slope of the proposed CSL (Equation (6)) | |
| κ | slope of the unloading-reloading line from the isotropic compress test |
| ν | Poisson’s ratio |
| Young’s modulus | |
| CSL | critical state line |
| RCL | reference control line |
| NCL | normally consolidation line |
| Γ | apparent maximum void ratio (fitting parameter in Equations (2) and (3)) |
| α | half-slope of the straight portion of the proposed CSL (fitting parameter in Equation (3)) |
| θ | curvature index (fitting parameter in Equation (3)) |
| reference pressure (fitting parameter in Equation (3)) | |
| ξ | fitting parameter for a power function in Equation (2) |
| rc | average roundness of sand |
| rf | average roundness of fines |
| r | ratio of the average roundness = rc/rf |
| SR | particle size ratio = D10/d50 |
| D10 | effective size of the sand |
| d50 | mean size of fines |
| radius of the Extended Mises cone | |
| FC | fines content |
| FCth | threshold fines content (Equation (22)) |
| β | fines influence factor (Equation (19)) |
| fitting parameter (Equation (20)) | |
| stress ratio at the critical state | |
| maximum stress ratio during shearing | |
| stress ratio at the critical state for FC = 0 and FC > 0 (Equation (23)) | |
| stress ratio at the critical state for FC = FCth | |
| difference between and | |
| χ | initial state variable for loose sand in Equations (12) and (13) |
| Ψ | state variable for dense sand |
| Ω | state variable (see Section 3.3) |
| relative density (see Section 3.3) | |
| ordinary stress tensor | |
| transformed stress tensor (Equation (24)) | |
| ordinary mean effective stress | |
| transformed mean effective stress | |
| initial mean effective stress | |
| critical state mean effective stress | |
| transformed deviator stress | |
| η | ordinary stress ratio = |
| transformed stress ratio = | |
| ordinary deviatoric stress tensor | |
| transformed deviatoric stress tensor | |
| strain increment tensor | |
| , | elastic and plastic portions of the strain increment tensor |
| volumetric plastic strain increment | |
| Λ | proportionality constant |
| hardening parameter | |
| hardening parameter in the transformed stress space | |
| fitting parameter in Equation (17) |
References
- Zhao, M.; Xu, L.; Huang, J.; Du, X.; Li, H. Analytical solutions of the tunnels under the fault creeping by elastic foundation beam model with considering tangential interaction. Soil Dyn. Earthq. Eng. 2023, 172, 108047–108057. [Google Scholar] [CrossRef]
- Huang, Y.; Zhao, M.; Wang, P.; Cheng, X.; Du, X. An analytical solution of a horizontally vibrating pile considering water-pile-soil interaction on viscoelastic half-space. Ocean Eng. 2022, 260, 111959–111978. [Google Scholar] [CrossRef]
- Zhang, M.; Lu, A.; Ma, Y.; Sha, X. Analytical solution for stress and displacement of a finite thickness soil layer subjected to strip footing. Appl. Math. Modell. 2022, 108, 553–566. [Google Scholar] [CrossRef]
- Chen, C.; Wang, Z.; Wu, W.; Wen, M.; Yao, W. Semi-Analytical Solution for the Vertical Vibration of a Single Pile Embedded in a Frozen Poroelastic Half-Space. Appl. Sci. 2023, 13, 1508–1522. [Google Scholar] [CrossRef]
- Wu, W.; Wang, Z.; Zhang, Y.; El Naggar, M.H.; Wu, T.; Wen, M. Semi-analytical solution for negative skin friction development on deep foundations in coastal reclamation areas. Int. J. Mech. Sci. 2023, 241, 107981–108001. [Google Scholar] [CrossRef]
- Rehman, Z.U.; Zhang, G. Three-dimensional elasto-plastic damage model for gravelly soil-structure interface considering the shear coupling effect. Comput. Geotech. 2021, 129, 103868–103882. [Google Scholar] [CrossRef]
- Galliková, Z.; Rehman, Z.U. Appraisal of the hypoplastic model for the numerical prediction of high-rise building settlement in Neogene clay based on real-scale monitoring data. J. Build. Eng. 2022, 50, 104152–104170. [Google Scholar] [CrossRef]
- Hakro, M.R.; Kumar, A.; Almani, Z.; Ali, M.; Aslam, F.; Fediuk, R.; Klyuev, S.; Klyuev, A.; Sabitov, L. Numerical Analysis of Piled-Raft Foundations on Multi-Layer Soil Considering Settlement and Swelling. Buildings 2022, 12, 356–378. [Google Scholar] [CrossRef]
- Lashkari, A. Recommendations for extension and re-calibration of an existing sand constitutive model taking into account varying non-plastic fines content. Soil Dyn. Earthq. Eng. 2014, 61–62, 212–238. [Google Scholar] [CrossRef]
- Roscoe, K.H.; Burland, J.B. On the generalised stress–strain behaviour of ‘wet’ clay. In Engineering Plasticity; Heyman, J., Leckie, F.A., Eds.; Cambridge University Press: Cambridge, UK, 1968; pp. 535–609. [Google Scholar]
- Miura, N.; Murata, H.; Yasufuku, N. Stress-strain characteristics of sand in a particle-crushing region. Soils Found. 1984, 24, 77–89. [Google Scholar] [CrossRef]
- Wong, T.T.; Morgenstern, N.R.; Sego, D.C. A constitutive model for broken ice. Cold Reg. Sci. Technol. 1990, 17, 241–252. [Google Scholar] [CrossRef]
- Matsuoka, H.; Yao, Y.P.; Sun, D.A. The Cam-Clay Models Revised by the SMP Criterion. Soils Found. 1999, 39, 81–95. [Google Scholar] [CrossRef]
- Yao, Y.P.; Sun, D.A.; Luo, T.A. Critical state model for sands dependent on stress and density. Int. J. Numer. Anal. Methods Geomech. 2004, 28, 323–337. [Google Scholar] [CrossRef]
- Yao, Y.P.; Sun, D.A.; Matsuoka, H. A unified constitutive model for both clay and sand with hardening parameter independent on stress path. Comput. Geotech. 2008, 35, 210–222. [Google Scholar] [CrossRef]
- Suebsuk, J.; Horpibulsuk, S.; Liu, M.D. A critical state model for overconsolidated structured clays. Comput. Geotech. 2011, 38, 648–658. [Google Scholar] [CrossRef]
- Cao, L.F.; Teh, C.I.; Chang, M.F. Undrained cavity expansion in modified Cam clay I: Theoretical analysis. Geotechnique 2001, 51, 323–334. [Google Scholar] [CrossRef]
- Grimstad, G.; Degago, S.A.; Nordal, S. Modeling creep and rate effects in structured anisotropic soft clays. Acta Geotech. 2010, 5, 69–81. [Google Scholar] [CrossRef]
- Yin, Z.Y.; Xu, Q.; Hicher, P.Y. A simple critical-state-based double-yield-surface model for clay behavior under complex loading. Acta Geotech. 2013, 8, 509–523. [Google Scholar] [CrossRef]
- Miranda, P.A.M.N.; Vargas, E.A.; Moraes, A. Evaluation of the Modified Cam Clay model in basin and petroleum system modeling (BPSM) loading conditions. Mar. Pet. Geol. 2019, 112, 104–112. [Google Scholar] [CrossRef]
- Ou, C.Y.; Liu, C.C.; Chin, C.K. Anisotropic viscoplastic modeling of rate-dependent behavior of clay. Int. J. Numer. Anal. Methods Geomech. 2011, 35, 1189–1206. [Google Scholar] [CrossRef]
- Li, X.S.; Wang, Y. Linear representation of steady state line for sand. J. Geotech. Geoenviron. Eng. 1998, 124, 1215–1217. [Google Scholar] [CrossRef]
- Yang, Z.X.; Li, X.S.; Yang, J. Quantifying and modelling fabric anisotropy of granular soils. Geotechnique 2008, 58, 237–248. [Google Scholar] [CrossRef]
- Yang, J.; Wei, L.M.; Dai, B.B. State variables for silty sands: Global void ratio or skeleton void ratio? Soils Found. 2015, 55, 99–111. [Google Scholar] [CrossRef]
- Murthy, T.G.; Loukidis, D.; Carraro, J.A.H.; Prezzi, M.; Salgado, R. Undrained monotonic response of clean and silty sands. Geotechnique 2007, 57, 273–288. [Google Scholar] [CrossRef]
- Rahman, M.M.; Lo, S.R.; Baki, M.A.L. Equivalent granular state parameter and undrained behaviour of sand–fines mixtures. Acta Geotech. 2011, 6, 183–194. [Google Scholar] [CrossRef]
- Rahman, M.M.; Lo, S.R.; Dafalias, Y.F. Modelling the static liquefaction of sand with low-plasticity fines. Geotechnique 2014, 64, 881–894. [Google Scholar] [CrossRef]
- Duriez, J.; Vincens, É. Constitutive modelling of cohesionless soils and interfaces with various internal states: An elasto-plastic approach. Comput. Geotech. 2015, 63, 33–45. [Google Scholar] [CrossRef]
- Thevanayagam, S.; Martin, G.R. Liquefaction in silty soils-screening and remediation issue. Soil Dyn. Earthquake Eng. 2002, 22, 1035–1042. [Google Scholar] [CrossRef]
- Taiebat, M.; Dafalias, Y.F. Simple Yield Surface Expressions Appropriate for Soil Plasticity. Int. J. Geomech. 2010, 10, 161–169. [Google Scholar] [CrossRef]
- Been, K.; Jefferies, M.G. A state parameter for sands. Geotechnique 1985, 35, 99–112. [Google Scholar] [CrossRef]
- Manzari, M.T.; Dafalias, Y.F. A critical state two surface plasticity model for sands. Geotechnique 1997, 47, 255–272. [Google Scholar] [CrossRef]
- Dafalias, Y.F.; Manzari, M.T. Simple plasticity sand model accounting for fabric change effects. Int. J. Appl. Mech. 2004, 130, 622–634. [Google Scholar] [CrossRef]
- Wan, R.G.; Guo, P.J. A simple constitutive model for granular soils: Modified stress–dilatancy approach. Comput. Geotech. 1998, 22, 109–133. [Google Scholar] [CrossRef]
- Wang, Z.L.; Dafalias, Y.F.; Li, X.S.; Makdisi, F.I. State pressure index for modeling sand behavior. J. Geotech. Geoenviron. Eng. 2002, 128, 511–519. [Google Scholar] [CrossRef]
- Vesic, A.; Clough, G.W. Behavior of granular materials under high stresses. J. Soil Mech. Found. Div. 1968, 94, 661–688. [Google Scholar] [CrossRef]
- Lashkari, A. On the modeling of the state dependency of granular soils. Comput. Geotech. 2009, 36, 1237–1245. [Google Scholar] [CrossRef]
- Verdugo, R. Characterization of sandy soil behaviorunderlargedeformation. Ph.D. Thesis, Universityof Tokyo, Tokyo, Japan, 1992. [Google Scholar]
- Verdugo, R.; Ishihara, K. The Steady State of Sandy Soils. Soils Found. 1996, 36, 81–91. [Google Scholar] [CrossRef] [PubMed]
- Ni, Q.; Tan, T.S.; Dasari, G.R.; Hight, D.W. Contribution of fines to the compressive strength of mixed soils. Geotechnique 2004, 54, 561–569. [Google Scholar] [CrossRef]
- Stamatopoulos, C.A. An experimental study of the liquefaction strength of silty sands in terms of the state parameter. Soil Dyn. Earthq. Eng. 2010, 30, 662–678. [Google Scholar] [CrossRef]
- Ventouras, K.; Coop, M.R. On the behavior of Thanet sand: An example of an uncemented natural sand. Geotechnique 2009, 59, 727–738. [Google Scholar] [CrossRef]
- Rahman, M.M.; Lo, S.R.; Gnanendran, C.T. On equivalent granular void ratio and steady state behavior of loose sand with fines. Can. Geotech. J. 2008, 45, 1439–1456. [Google Scholar] [CrossRef]
- Papadopoulou, A.; Tika, T. The effect of fines on critical state and liquefaction resistance characteristics of non-plastic silty sands. Soils Found. 2008, 48, 713–725. [Google Scholar] [CrossRef]
- Huang, Y.T.; Huang, A.B.; Kuo, Y.C.; Tsai, M.D. A laboratory study on the undrained strength of silty sand from Central Western Taiwan. Soil Dyn. Earthq. Eng. 2004, 24, 733–743. [Google Scholar] [CrossRef]















| Soil Model | Γ | α | θ | λ | κ | ν | ||
|---|---|---|---|---|---|---|---|---|
| MCC and Sand Model [14] | 1.97 | - | - | - | 0.141 | 0.009 | 1.305 | 0.3 |
| Proposed Model | 0.864 * | 0.0795 * | 0.016 * | 7.5 * | - | 0.009 | 1.305 | 0.3 |
| Soil Parameter | Γ | α | θ | κ | ν | |||
|---|---|---|---|---|---|---|---|---|
| Proposed Model | 0.864 * | 0.0795 * | 0.004 * | 3.06 * | 0.02 | 1.265 | 0.25 | 1.34 |
Disclaimer/Publisher’s Note: The statements, opinions and data contained in all publications are solely those of the individual author(s) and contributor(s) and not of MDPI and/or the editor(s). MDPI and/or the editor(s) disclaim responsibility for any injury to people or property resulting from any ideas, methods, instructions or products referred to in the content. |
© 2023 by the authors. Licensee MDPI, Basel, Switzerland. This article is an open access article distributed under the terms and conditions of the Creative Commons Attribution (CC BY) license (https://creativecommons.org/licenses/by/4.0/).
Share and Cite
Kaewhanam, N.; Chaimoon, K. A Simplified Silty Sand Model. Appl. Sci. 2023, 13, 8241. https://doi.org/10.3390/app13148241
Kaewhanam N, Chaimoon K. A Simplified Silty Sand Model. Applied Sciences. 2023; 13(14):8241. https://doi.org/10.3390/app13148241
Chicago/Turabian StyleKaewhanam, Nopanom, and Krit Chaimoon. 2023. "A Simplified Silty Sand Model" Applied Sciences 13, no. 14: 8241. https://doi.org/10.3390/app13148241
APA StyleKaewhanam, N., & Chaimoon, K. (2023). A Simplified Silty Sand Model. Applied Sciences, 13(14), 8241. https://doi.org/10.3390/app13148241

