Comparison of the Effects of Pulsed Electric Field Disintegration and Ultrasound Treatment on the Efficiency of Biogas Production from Chicken Manure
Abstract
1. Introduction
2. Materials and Methods
2.1. Substrate
2.2. Equipment
2.3. Pretreatment
2.4. Biochemical Methane Potential (BMP)
2.5. Analytical Methods
2.6. Kinetic Evaluations
2.7. Statistical Analyses
3. Results
3.1. The Effect of UP and PEF on Organic Matter Solubilisation
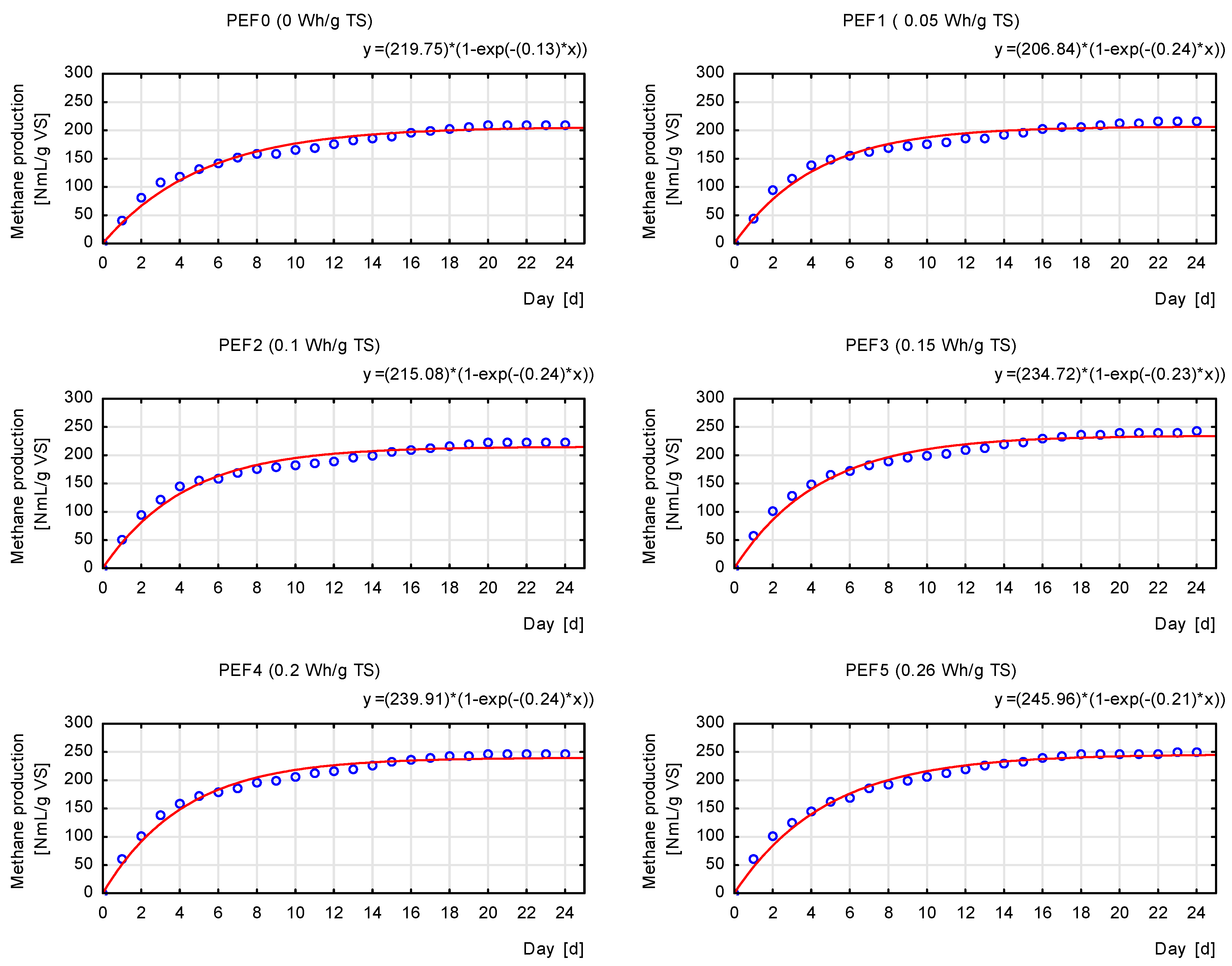
3.2. The Effect of UP and PEF on BMP
| Series | Ein (Wh/g TS) | Eout (Wh/g TS) | ET (Wh/g TS) | ||
|---|---|---|---|---|---|
| PEF | UP | PEF | UP | ||
| 0 | - | - | - | - | - |
| 1 | 0.05 | 0.03 | 0.00 | −0.02 | −0.05 |
| 2 | 0.10 | 0.08 | 0.08 | −0.02 | −0.02 |
| 3 | 0.15 | 0.19 | 0.11 | 0.04 | −0.04 |
| 4 | 0.20 | 0.20 | 0.15 | 0.00 | −0.05 |
| 5 | 0.26 | 0.22 | 0.17 | −0.04 | −0.09 |
| 6 | 0.30 | 0.24 | 0.20 | −0.06 | −0.10 |
| 7 | 0.36 | 0.24 | 0.22 | −0.13 | −0.14 |
| 8 | 0.41 | 0.24 | 0.25 | −0.17 | −0.16 |
4. Conclusions
Author Contributions
Funding
Institutional Review Board Statement
Informed Consent Statement
Data Availability Statement
Conflicts of Interest
References
- Kasinath, A.; Fudala-Ksiazek, S.; Szopinska, M.; Bylinski, H.; Artichowicz, W.; Remiszewska-Skwarek, A.; Luczkiewicz, A. Biomass in Biogas Production: Pretreatment and Codigestion. Renew. Sustain. Energy Rev. 2021, 150, 111509. [Google Scholar] [CrossRef]
- Chasnyk, O.; Sołowski, G.; Shkarupa, O. Historical, Technical and Economic Aspects of Biogas Development: Case of Poland and Ukraine. Renew. Sustain. Energy Rev. 2015, 52, 227–239. [Google Scholar] [CrossRef]
- Ngo, T.; Shahsavari, E.; Shah, K.; Surapaneni, A.; Ball, A.S. Improving Bioenergy Production in Anaerobic Digestion Systems Utilising Chicken Manure via Pyrolysed Biochar Additives: A Review. Fuel 2022, 316, 123374. [Google Scholar] [CrossRef]
- Kim, H.; Ahn, Y.; Kwak, S.Y. Comparing the Influence of Acetate and Chloride Anions on the Structure of Ionic Liquid Pretreated Lignocellulosic Biomass. Biomass Bioenergy 2016, 93, 243–253. [Google Scholar] [CrossRef]
- Balat, M. Production of Bioethanol from Lignocellulosic Materials via the Biochemical Pathway: A Review. Energy Convers. Manag. 2011, 52, 858–875. [Google Scholar] [CrossRef]
- Jurgutis, L.; Slepetiene, A.; Volungevicius, J.; Amaleviciute-Volunge, K. Biogas Production from Chicken Manure at Different Organic Loading Rates in a Mesophilic Full Scale Anaerobic Digestion Plant. Biomass Bioenergy 2020, 141, 105693. [Google Scholar] [CrossRef]
- Yu, X.; Bao, X.; Zhou, C.; Zhang, L.; Yagoub, A.E.G.A.; Yang, H.; Ma, H. Ultrasound-Ionic Liquid Enhanced Enzymatic and Acid Hydrolysis of Biomass Cellulose. Ultrason. Sonochem. 2018, 41, 410–418. [Google Scholar] [CrossRef]
- Bamdad, H.; Hawboldt, K.; MacQuarrie, S. A Review on Common Adsorbents for Acid Gases Removal: Focus on Biochar. Renew. Sustain. Energy Rev. 2018, 81, 1705–1720. [Google Scholar] [CrossRef]
- Naik, G.P.; Poonia, A.K.; Chaudhari, P.K. Pretreatment of Lignocellulosic Agricultural Waste for Delignification, Rapid Hydrolysis, and Enhanced Biogas Production: A Review. J. Indian Chem. Soc. 2021, 98, 100147. [Google Scholar] [CrossRef]
- Monlau, F.; Sambusiti, C.; Barakat, A.; Quéméneur, M.; Trably, E.; Steyer, J.P.; Carrère, H. Do Furanic and Phenolic Compounds of Lignocellulosic and Algae Biomass Hydrolyzate Inhibit Anaerobic Mixed Cultures? A Comprehensive Review. Biotechnol. Adv. 2014, 32, 934–951. [Google Scholar] [CrossRef]
- Travaini, R.; Otero, M.D.M.; Coca, M.; Da-Silva, R.; Bolado, S. Sugarcane Bagasse Ozonolysis Pretreatment: Effect on Enzymatic Digestibility and Inhibitory Compound Formation. Bioresour. Technol. 2013, 133, 332–339. [Google Scholar] [CrossRef] [PubMed]
- Gomes, M.G.; de Oliveira Paranhos, A.G.; Camargos, A.B.; Baêta, B.E.L.; Baffi, M.A.; Gurgel, L.V.A.; Pasquini, D. Pretreatment of Sugarcane Bagasse with Dilute Citric Acid and Enzymatic Hydrolysis: Use of Black Liquor and Solid Fraction for Biogas Production. Renew. Energy 2022, 191, 428–438. [Google Scholar] [CrossRef]
- Zheng, Y.; Zhao, J.; Xu, F.; Li, Y. Pretreatment of Lignocellulosic Biomass for Enhanced Biogas Production. Prog. Energy Combust. Sci. 2014, 42, 35–53. [Google Scholar] [CrossRef]
- Abraham, A.; Mathew, A.K.; Park, H.; Choi, O.; Sindhu, R.; Parameswaran, B.; Pandey, A.; Park, J.H.; Sang, B.I. Pretreatment Strategies for Enhanced Biogas Production from Lignocellulosic Biomass. Bioresour. Technol. 2020, 301, 122725. [Google Scholar] [CrossRef]
- Ong, V.Z.; Wu, T.Y.; Lee, C.B.T.L.; Cheong, N.W.R.; Shak, K.P.Y. Sequential Ultrasonication and Deep Eutectic Solvent Pretreatment to Remove Lignin and Recover Xylose from Oil Palm Fronds. Ultrason. Sonochem. 2019, 58, 104598. [Google Scholar] [CrossRef]
- Yan, D.; Ji, Q.; Yu, X.; Li, M.; Abiola Fakayode, O.; Yagoub, A.E.G.A.; Chen, L.; Zhou, C. Multimode-Ultrasound and Microwave Assisted Natural Ternary Deep Eutectic Solvent Sequential Pretreatments for Corn Straw Biomass Deconstruction under Mild Conditions. Ultrason. Sonochem. 2021, 72, 105414. [Google Scholar] [CrossRef]
- Lu, Q.; Yan, D.; Wu, P.; Chen, L.; Yagoub, A.E.A.; Ji, Q.; Yu, X.; Zhou, C. Ultrasound-NATDES/DMSO System for Corn Straw Biomass Conversion into Platform Compounds. Renew. Energy 2022, 190, 675–683. [Google Scholar] [CrossRef]
- Yu, X.; Gouyo, T.; Grimi, N.; Bals, O.; Vorobiev, E. Pulsed Electric Field Pretreatment of Rapeseed Green Biomass (Stems) to Enhance Pressing and Extractives Recovery. Bioresour. Technol. 2016, 199, 194–201. [Google Scholar] [CrossRef]
- Sirohi, R.; Ummalyma, S.B.; Sagar, N.A.; Sharma, P.; Awasthi, M.K.; Badgujar, P.C.; Madhavan, A.; Rajasekharan, R.; Sindhu, R.; Sim, S.J.; et al. Strategies and Advances in the Pretreatment of Microalgal Biomass. J. Biotechnol. 2021, 341, 63–75. [Google Scholar] [CrossRef]
- Wang, M.S.; Wang, L.H.; Bekhit, A.E.D.A.; Yang, J.; Hou, Z.P.; Wang, Y.Z.; Dai, Q.Z.; Zeng, X.A. A Review of Sublethal Effects of Pulsed Electric Field on Cells in Food Processing. J. Food Eng. 2018, 223, 32–41. [Google Scholar] [CrossRef]
- Naliyadhara, N.; Kumar, A.; Girisa, S.; Daimary, U.D.; Hegde, M.; Kunnumakkara, A.B. Pulsed Electric Field (PEF): Avant-Garde Extraction Escalation Technology in Food Industry. Trends Food Sci. Technol. 2022, 122, 238–255. [Google Scholar] [CrossRef]
- Safavi, S.M.; Unnthorsson, R. Methane Yield Enhancement via Electroporation of Organic Waste. Waste Manag. 2017, 66, 61–69. [Google Scholar] [CrossRef] [PubMed]
- Szwarc, D.; Szwarc, K. Use of a Pulsed Electric Field to Improve the Biogas Potential of Maize Silage. Energies 2020, 14, 119. [Google Scholar] [CrossRef]
- Szwarc, D.; Głowacka, K. Increasing the Biogas Potential of Rapeseed Straw Using Pulsed Electric Field Pre-Treatment. Energies 2021, 14, 8307. [Google Scholar] [CrossRef]
- Szwarc, D.; Nowicka, A.; Głowacka, K. Cross-Comparison of the Impact of Grass Silage Pulsed Electric Field and Microwave-Induced Disintegration on Biogas Production Efficiency. Energies 2022, 15, 5122. [Google Scholar] [CrossRef]
- Jingura, R.M.; Kamusoko, R. Methods for Determination of Biomethane Potential of Feedstocks: A Review. Biofuel Res. J. 2017, 14, 573–586. [Google Scholar] [CrossRef]
- van Soest, P.J.; Robertson, J.B.; Lewis, B.A. Methods for Dietary Fiber, Neutral Detergent Fiber, and Nonstarch Polysaccharides in Relation to Animal Nutrition. J. Dairy Sci. 1991, 74, 3583–3597. [Google Scholar] [CrossRef]
- Kuşçu, Ö.S.; Çömlekçi, S.; Çört, N. Disintegration of Sewage Sludge Using Pulsed Electrical Field Technique: PEF Optimization, Simulation, and Anaerobic Digestion. Environ. Technol. 2021, 43, 2809–2824. [Google Scholar] [CrossRef]
- Deng, Y.D.; Gao, Y.; Men, Y.K.; Du, B.X.; Wang, Y.N.; Liu, C.H. Effect of DC Corona on Performance of Pulsed Electric Field Pretreatment on Waste Activated Sludge. In Proceedings of the Annual Report—Conference on Electrical Insulation and Dielectric Phenomena, CEIDP, Toronto, ON, Canada, 16–19 October 2016; Institute of Electrical and Electronics Engineers Inc.: Piscataway, NJ, USA, 2016; Volume 2016, pp. 747–750. [Google Scholar]
- Pansripong, S.; Arjharn, W.; Liplap, P.; Hinsui, T. Effect of Ultrasonic Pretreatment on Biogas Production from Rice Straw. Orient. J. Chem. 2019, 35, 1265–1273. [Google Scholar] [CrossRef]
- Kisielewska, M.; Rusanowska, P.; Dudek, M.; Nowicka, A.; Krzywik, A.; Dębowski, M.; Joanna, K.; Zieliński, M. Evaluation of Ultrasound Pretreatment for Enhanced Anaerobic Digestion of Sida Hermaphrodita. Bioenergy Res. 2020, 13, 824–832. [Google Scholar] [CrossRef]
- El Achkar, J.H.; Lendormi, T.; Salameh, D.; Louka, N.; Maroun, R.G.; Lanoisellé, J.-L.; Hobaika, Z. Influence of Pretreatment Conditions on Lignocellulosic Fractions and Methane Production from Grape Pomace. Bioresour. Technol. 2017, 247, 881–889. [Google Scholar] [CrossRef] [PubMed]
- Zieliński, M.; Dębowski, M.; Kisielewska, M.; Nowicka, A.; Rokicka, M.; Szwarc, K. Comparison of Ultrasonic and Hydrothermal Cavitation Pretreatments of Cattle Manure Mixed with Straw Wheat on Fermentative Biogas Production. Waste Biomass Valorization 2019, 10, 747–754. [Google Scholar] [CrossRef]
- Galí, A.; Benabdallah, T.; Astals, S.; Mata-Alvarez, J. Modified Version of ADM1 Model for Agro-Waste Application. Bioresour. Technol. 2009, 100, 2783–2790. [Google Scholar] [CrossRef]
- Bohutskyi, P.; Phan, D.; Kopachevsky, A.M.; Chow, S.; Bouwer, E.J.; Betenbaugh, M.J. Synergistic Co-Digestion of Wastewater Grown Algae-Bacteria Polyculture Biomass and Cellulose to Optimize Carbon-to-Nitrogen Ratio and Application of Kinetic Models to Predict Anaerobic Digestion Energy Balance. Bioresour. Technol. 2018, 269, 210–220. [Google Scholar] [CrossRef]
- Wang, B.; Chen, T.; Qin, X.; Wu, Q.; Zhao, Y.; Bai, S.; Peng, W.; Feng, B. Effect of High-Voltage Pulsed Electric Field (HPEF) Pretreatment on Biogas Production Rates of Hybrid Pennisetum by Anaerobic Fermentation. Nat. Gas Ind. B 2018, 5, 48–53. [Google Scholar] [CrossRef]
- Lindmark, J.; Lagerkvist, A.; Nilsson, E.; Carlsson, M.; Thorin, E.; Dahlquist, E.; Lindmark, J.; Nilsson, E.; Thorin, E.; Dahlquist, E.; et al. Evaluating the Effects of Electroporation Pre-Treatment on the Biogas Yield from Ley Crop Silage. Appl. Biochem. Biotechnol. 2014, 174, 2616–2625. [Google Scholar] [CrossRef] [PubMed]
- Kovačić, Đ.; Kralik, D.; Rupčić, S.; Jovičić, D.; Spajić, R.; Tišma, M. Electroporation of Harvest Residues for Enhanced Biogas Production in Anaerobic Co-Digestion with Dairy Cow Manure. Bioresour. Technol. 2019, 274, 215–224. [Google Scholar] [CrossRef] [PubMed]









| Parameters | Value |
|---|---|
| Hydration [%] | 71.1 ± 1.09 |
| Dry weight [%] | 28.91 ± 1.09 |
| Dry organic weight [% TS] | 73.03 ± 1.04 |
| Total carbon (TC) [mg C/g TS] | 380.75 ± 11.22 |
| Total organic carbon (TOC) [mg C/g TS] | 326.9 ± 18.78 |
| Total nitrogen (TN) [mg N/g TS] | 44.28 ± 4.56 |
| C/N | 8.60 |
| Cellulose | 23.68 ± 2.23 |
| Hemicellulose | 17.81 ± 1.55 |
| Lignin | 4.27 ± 0.42 |
| Series | UP | PEF | ||
|---|---|---|---|---|
| k | r | k | r | |
| 0 | 0.13 | 28.57 | 0.20 | 41.26 |
| 1 | 0.18 | 38.20 | 0.24 | 49.64 |
| 2 | 0.21 | 47.35 | 0.24 | 51.62 |
| 3 | 0.20 | 47.32 | 0.23 | 53.99 |
| 4 | 0.15 | 36.15 | 0.24 | 57.58 |
| 5 | 0.14 | 34.10 | 0.21 | 51.65 |
| 6 | 0.11 | 28.46 | 0.29 | 69.24 |
| 7 | 0.23 | 55.85 | 0.29 | 69.85 |
| 8 | 0.14 | 35.84 | 0.43 | 103.34 |
Disclaimer/Publisher’s Note: The statements, opinions and data contained in all publications are solely those of the individual author(s) and contributor(s) and not of MDPI and/or the editor(s). MDPI and/or the editor(s) disclaim responsibility for any injury to people or property resulting from any ideas, methods, instructions or products referred to in the content. |
© 2023 by the authors. Licensee MDPI, Basel, Switzerland. This article is an open access article distributed under the terms and conditions of the Creative Commons Attribution (CC BY) license (https://creativecommons.org/licenses/by/4.0/).
Share and Cite
Szwarc, D.; Nowicka, A.; Zieliński, M. Comparison of the Effects of Pulsed Electric Field Disintegration and Ultrasound Treatment on the Efficiency of Biogas Production from Chicken Manure. Appl. Sci. 2023, 13, 8154. https://doi.org/10.3390/app13148154
Szwarc D, Nowicka A, Zieliński M. Comparison of the Effects of Pulsed Electric Field Disintegration and Ultrasound Treatment on the Efficiency of Biogas Production from Chicken Manure. Applied Sciences. 2023; 13(14):8154. https://doi.org/10.3390/app13148154
Chicago/Turabian StyleSzwarc, Dawid, Anna Nowicka, and Marcin Zieliński. 2023. "Comparison of the Effects of Pulsed Electric Field Disintegration and Ultrasound Treatment on the Efficiency of Biogas Production from Chicken Manure" Applied Sciences 13, no. 14: 8154. https://doi.org/10.3390/app13148154
APA StyleSzwarc, D., Nowicka, A., & Zieliński, M. (2023). Comparison of the Effects of Pulsed Electric Field Disintegration and Ultrasound Treatment on the Efficiency of Biogas Production from Chicken Manure. Applied Sciences, 13(14), 8154. https://doi.org/10.3390/app13148154

