Full-Scale Testing and Analytical Modeling of Rebar Cages Reinforced with Mechanical U-Bolt Connectors
Abstract
:1. Introduction
2. State-of-Practice for the Design and Fabrication of Tie-Wired Rebar Cages
- At least four longitudinal rebars forming a square at the rebar cage’s cross-section shall be tied at every intersection with transverse rebars. These rebars are responsible for carrying the weight of the cage during the pickup process; hence, they are referred to as pick-up bars.
- At a maximum of 2.4 m spacing, lateral hoops shall be tied at every intersection to the longitudinal rebars. These hoops are referred to as template hoops.
- For large rebar cages, it may be necessary to provide diagonal brace bars [1,6], also referred to as internal stiffening elements or internal braces. Caltrans Standard Specifications Section 52 specifies that, at a maximum of 3 m increments, internal braces with minimum of #8 (equivalent to ⌀25 in metric) reinforcing bars and interlocking hoops at the ends shall be provided and connected to the longitudinal bars by wrap-and-saddle or stronger tie-wire connections.
3. Description of the Test Specimens and Test Setup
3.1. Test Specimens
3.2. Material Properties
3.3. Assembly and Construction
3.4. Test Set-Up and Loading Scenarios
3.5. Instrumentation Details
3.6. Target-Tracking DIC Measurement
4. Experimental Results and Observations
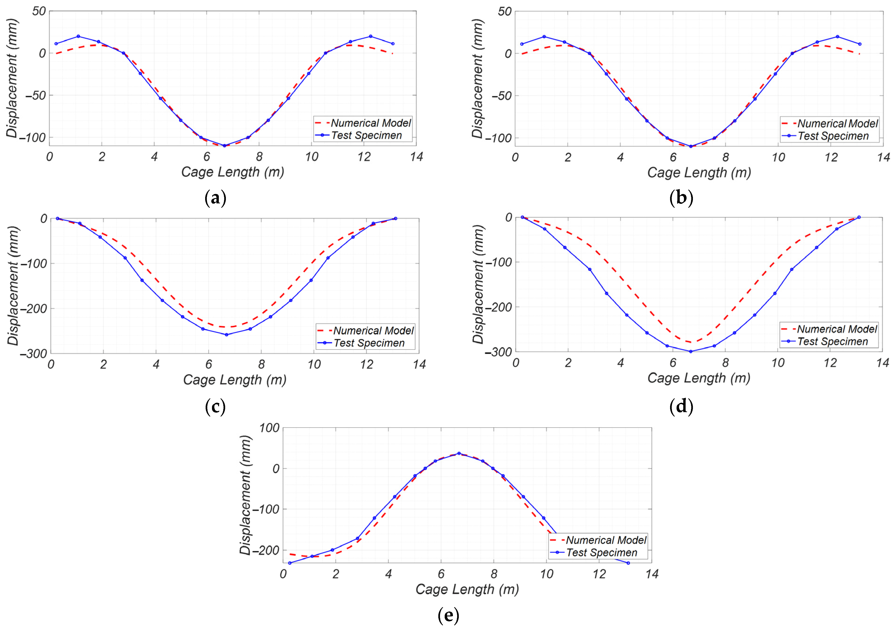
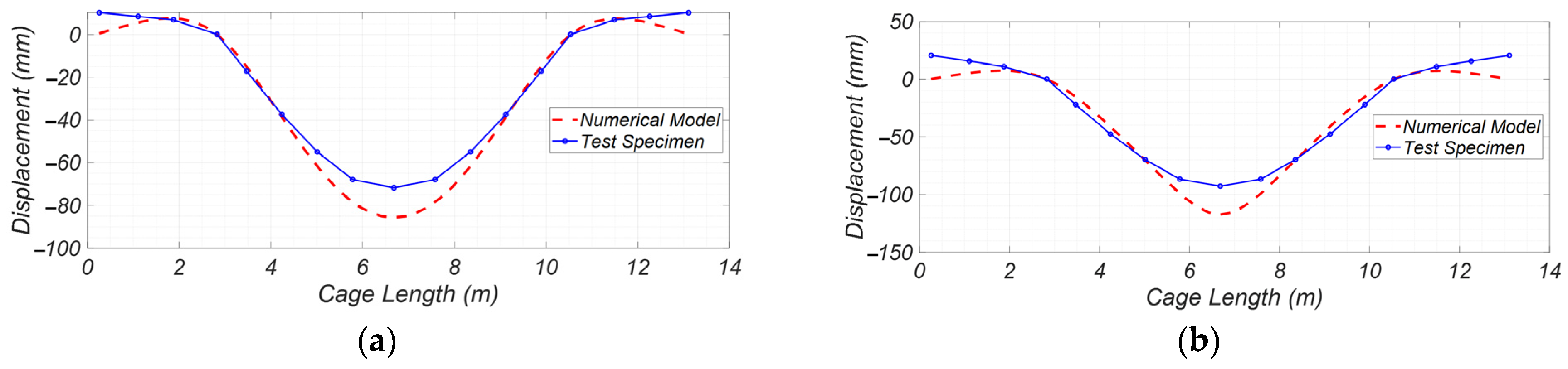
5. Finite Element Modeling
5.1. Model Calibration
5.2. Comparison of Local-Level Deformations
5.3. Rebar Cage without U-Bolt Connectors and Internal Stiffening Elements
6. Conclusions
Author Contributions
Funding
Data Availability Statement
Acknowledgments
Conflicts of Interest
References
- Builes-Mejia, J.C.; Itani, A.; Sedarat, H. Stability of Bridge Column Rebar Cages during Construction; University of Nevada: Reno, Nevada, 2010. [Google Scholar]
- Builes-Mejia, J.C.; Itani, A.M. Improving the stability of bridge column rebar cages during construction. Bridge Struct. 2012, 8, 49–59. [Google Scholar] [CrossRef]
- Vahedi, M.; Ebrahimian, H.; Itani, A.M. CCEER-22-02: Response And Behavior of Mechanical Connectors for Application in Rebar Cages: An Experimental Study; University of Nevada: Reno, Nevada, 2022. [Google Scholar]
- Vahedi, M.; Ebrahimian, H.; Itani, A.M. Experimental Study of Mechanical Connectors for Application in Rebar Cages. In Proceedings of the Construction Research Congress 2022, Arlington, Virginia, 9–12 March 2022; pp. 171–177. [Google Scholar] [CrossRef]
- Caltrans. Standard Specifications; California Department of Transportation: Sacramento, CA, USA, 2018.
- Concrete Reinforcing Steel Institute. CRSI Handbook, Placing Reinforcing Bars, 8th ed.; Concrete Reinforcing Steel Institute: Schaumburg, IL, USA, 2005. [Google Scholar]
- Vahedi, M.; Ebrahimian, H.; Itani, A.M. Experimental Investigation of U-Bolt Connectors for Application in Rebar Cages. J. Struct. Eng. 2023, 149, 4022216. [Google Scholar] [CrossRef]
- SEI/ASCE 37-14; Design Loads on Structures during Construction. American Society of Civil Engineers: Reston, VA, USA, 2015.
- Ngeljaratan, L.; Moustafa, M.A. Structural health monitoring and seismic response assessment of bridge structures using target-tracking digital image correlation. Eng. Struct. 2020, 213, 110551. [Google Scholar] [CrossRef]
- Ngeljaratan, L.N. Structural Health Monitoring and Seismic Response Assessment of Civil Infrastructure Using Target-Tracking Digital Image Correlation; University of Nevada: Reno, Nevada, 2019. [Google Scholar]
- GOM Precise Industrial 3D Metrology. TRITOP Professional. Optical 3D Coordinate Measuring Machine, 2017. Available online: https://www.capture3d.com/3d-metrology-solutions/photogrammetry/tritop (accessed on 12 June 2023).
- GOM Precise Industrial 3D Metrology. GOM Correlate Professional. GOM Correlate-Evaluation Software for 3D Testing, 2016. Available online: https://www.gom.com/en/products/zeiss-quality-suite/gom-correlate-pro (accessed on 12 June 2023).
- FASTEC. FasMotion; Fastec Imaging Inc.: San Diego, CA, USA, 2021. [Google Scholar]
- Hartley, R.; Zisserman, A. Multiple View Geometry in Computer Vision; Cambridge University Press: San Diego, CA, USA, 2003. [Google Scholar]
- American Concrete Institute. Guide for Tolerance Compatibility in Concrete Construction (ACI 117.1 R-14); American Concrete Institute: Farmington Hills, MI, USA, 2014. [Google Scholar]
- LSTC LS-DYNA. Keyword User’s Manual; Livermore Software Technology Corporation (LSTC): Livermore, CA, USA, 2017. [Google Scholar]
- Polyak, B.T. Introduction to Optimization; Optimization Software, Inc., Publications Division: New York, NY, USA, 1987; Volume 1. [Google Scholar]






















| Specimen | Height (m) | Diameter (m) | Internal Stiffening Elements | Number of U-Bolt Connectors | Transverse Reinforcement | Weight (kN) |
|---|---|---|---|---|---|---|
| Cage #1 | 13.10 | 1.68 | Yes | 0 | #6 spiral @ 14 cm | 44.03 |
| Cage #2 | 13.10 | 1.68 | Yes | 98 | #8 hoops @ 25.4 cm | 43.64 |
| Cage #3 | 13.10 | 1.68 | No | 98 | #8 hoops @ 25.4 cm | 42.02 |
| Cage #4 | 13.10 | 1.68 | No | 98 | #6 spiral @ 14 cm | 43.84 |
| Cage #5 | 13.10 | 1.68 | No | 56 | #6 spiral @ 14 cm | 43.59 |
| Specimen | Wrap-and-Saddle | Double-Snap | Single-Snap | No Connection | U-Bolt Connector | Total | |||||
|---|---|---|---|---|---|---|---|---|---|---|---|
| No. | % | No. | % | No. | % | No. | % | No. | % | ||
| Cage #1 | 168 | 6.0% | 0 | 0.0% | 1258 | 44.9% | 1374 | 49.1% | 0 | 0.0% | 2800 |
| Cage #2 | 228 | 14.3% | 274 | 17.2% | 391 | 24.5% | 605 | 37.9% | 98 | 6.1% | 1596 |
| Cage #3 | 228 | 14.3% | 274 | 17.2% | 391 | 24.5% | 605 | 37.9% | 98 | 6.1% | 1596 |
| Cage #4 | 168 | 5.8% | 68 | 2.3% | 1245 | 42.8% | 1333 | 45.8% | 98 | 3.4% | 2912 |
| Cage #5 | 168 | 5.8% | 68 | 2.3% | 1245 | 42.8% | 1375 | 47.2% | 56 | 1.9% | 2912 |
| Scenario # | 1 | 2 | 3 | 4 | 5 | 6 | 7 | |
|---|---|---|---|---|---|---|---|---|
| Specimen | ||||||||
| Cage #1 | C1-S1 | - | C1-S3 | - | - | C1-S6 | - | |
| Cage #2 | C2-S1 | C2-S2 | C2-S3 | C2-S4 | C2-S5 | - | C2-S7 | |
| Cage #3 | C3-S1 | C3-S2 | C3-S3 | C3-S4 | - | C3-S6 | C3-S7 | |
| Cage #4 | C4-S1 | C4-S2 | C4-S3 | C4-S4 | - | C4-S6 | C4-S7 | |
| Cage #5 | C5-S1 | C5-S2 | C5-S3 | C5-S4 | - | - | C5-S7 | |
| Specimen | Test Scenario | External Vertical Load (N) | Maximum Measured Deflection | ||
|---|---|---|---|---|---|
| Value (mm) | % of Cage Length | Location | |||
| Cage #1 | 1 | - | 123 | 0.94% | Midspan |
| 3 | - | 244 | 1.86% | Midspan | |
| 6 | - | 345 | 2.63% | Overhang ends | |
| Cage #2 | 1 | - | 110 | 0.84% | Midspan |
| 2 | 2157 | 135 | 1.03% | Midspan | |
| 3 | - | 258 | 1.97% | Midspan | |
| 4 | 1988 | 299 | 2.28% | Midspan | |
| 5 | - | 232 | 1.77% | Overhang ends | |
| Cage #3 | 1 | - | 71 | 0.54% | Midspan |
| 2 | 1660 | 87 | 0.66% | Midspan | |
| 3 | - | 1091 | 8.32% | Midspan | |
| 4 | 1570 | 1192 | 9.10% | Midspan | |
| 6 | - | 713 | 5.44% | Overhang ends | |
| Cage #4 | 1 | - | 164 | 1.25% | Midspan |
| 2 | 1877 | 190 | 1.45% | Midspan | |
| 3 | - | 1545 | 11.79% | Midspan | |
| 4 | 2406 | 1561 | 11.91% | Midspan | |
| 6 | - | 783 | 5.97% | Overhang ends | |
| Cage #5 | 1 | - | 170 | 1.30% | Midspan |
| 2 | 2193 | 218 | 1.66% | Midspan | |
| 3 | - | 1715 | 13.09% | Midspan | |
| 4 | 4421 | 1723 | 13.15% | Midspan | |
| Specimen | String Pot Number | Initial Length of String Pot (cm) | Length of String Pot after Loading (cm) | Shear Angle (Radian) | ||
|---|---|---|---|---|---|---|
| Measurement | Model Prediction | Measurement, | Model Prediction, | |||
| Cage #1 | SG01 | 142 | 142.15 | 142.16 | 0.064 | 0.065 |
| SG02 | 142 | 142.5 | 142.48 | |||
| SG03 | 157.5 | 157.48 | 157.5 | |||
| SG04 | 157.5 | 157.54 | 157.5 | |||
| SG05 | 212.06 | 218.84 | 219.01 | |||
| SG06 | 212.06 | 205.41 | 205.35 | |||
| Cage #2 | SG01 | 142 | 142.33 | 142.41 | 0.056 | 0.054 |
| SG02 | 142 | 142.18 | 141.96 | |||
| SG03 | 174 | 174 | 173.98 | |||
| SG04 | 174 | 173.89 | 174 | |||
| SG05 | 224.59 | 230.8 | 230.34 | |||
| SG06 | 224.59 | 218.45 | 218.36 | |||
| Cage #3 | SG01 | 142 | 140.85 | 141.99 | 0.263 | 0.264 |
| SG02 | 142 | 143.03 | 142.13 | |||
| SG03 | 160 | 160.17 | 160.07 | |||
| SG04 | 160 | 159.66 | 159.98 | |||
| SG05 | 213.93 | 239.85 | 240.14 | |||
| SG06 | 213.93 | 184.09 | 184.27 | |||
| Cage #4 | SG01 | 142 | 143.58 | 141.28 | 0.310 | 0.293 |
| SG02 | 142 | 146.74 | 142.6 | |||
| SG03 | 157.5 | 157.98 | 157.47 | |||
| SG04 | 157.5 | 156.98 | 157.48 | |||
| SG05 | 212.06 | 244.24 | 240.26 | |||
| SG06 | 212.06 | 178.06 | 179.76 | |||
| Cage #5 | SG01 | 142 | 144.51 | 141.25 | - | 0.344 |
| SG02 | 142 | 147.39 | 142.77 | |||
| SG03 | 157.5 | 158.04 | 157.46 | |||
| SG04 | 157.5 | 156.97 | 157.46 | |||
| SG05 | 212.06 | - | 245.26 | |||
| SG06 | 212.06 | - | 173.16 | |||
Disclaimer/Publisher’s Note: The statements, opinions and data contained in all publications are solely those of the individual author(s) and contributor(s) and not of MDPI and/or the editor(s). MDPI and/or the editor(s) disclaim responsibility for any injury to people or property resulting from any ideas, methods, instructions or products referred to in the content. |
© 2023 by the authors. Licensee MDPI, Basel, Switzerland. This article is an open access article distributed under the terms and conditions of the Creative Commons Attribution (CC BY) license (https://creativecommons.org/licenses/by/4.0/).
Share and Cite
Vahedi, M.; Ebrahimian, H.; Itani, A.M. Full-Scale Testing and Analytical Modeling of Rebar Cages Reinforced with Mechanical U-Bolt Connectors. Appl. Sci. 2023, 13, 8113. https://doi.org/10.3390/app13148113
Vahedi M, Ebrahimian H, Itani AM. Full-Scale Testing and Analytical Modeling of Rebar Cages Reinforced with Mechanical U-Bolt Connectors. Applied Sciences. 2023; 13(14):8113. https://doi.org/10.3390/app13148113
Chicago/Turabian StyleVahedi, Masood, Hamed Ebrahimian, and Ahmad M. Itani. 2023. "Full-Scale Testing and Analytical Modeling of Rebar Cages Reinforced with Mechanical U-Bolt Connectors" Applied Sciences 13, no. 14: 8113. https://doi.org/10.3390/app13148113
APA StyleVahedi, M., Ebrahimian, H., & Itani, A. M. (2023). Full-Scale Testing and Analytical Modeling of Rebar Cages Reinforced with Mechanical U-Bolt Connectors. Applied Sciences, 13(14), 8113. https://doi.org/10.3390/app13148113

