Field Measurement Study on Dynamic Characteristics of the Shanghai World Financial Center
Abstract
1. Introduction
2. Structure and Monitoring System
2.1. Structural Overview
2.2. Sensor and Measuring Point Arrangement
2.3. Dynamic Response Monitoring
2.4. Modal Identification Method
2.4.1. PP Method
2.4.2. HPBW
2.4.3. FDD Method
2.4.4. E-RDT
3. Dynamic Response of the SWFC
3.1. Earthquake-Induced Response
3.2. Acceleration Power Spectrum
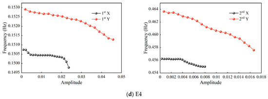
3.3. Natural Frequency Amplitude Dependency
3.4. Damping Ratio Amplitude Dependency
3.5. Mode Shape
4. Conclusions
- (1)
- During the four earthquakes, there was a high level of consistency in the vibration responses of the SWFC in the X and Y directions, and the maximum acceleration response amplitudes all occurred in the X direction, which were 1.984, 0.656, 6.573, and 1.027 cm/s2, respectively.
- (2)
- In super tall buildings, the superstructure is highly sensitive to vibration excitation, and the dispersion of vibration response amplitudes and acceleration signals increases with the increase in floor height.
- (3)
- The improved E-RDT method was verified and used to identify the dynamic characteristics of the SWFC. The natural frequencies identified in the X-direction of the SWFC were the same as those in the Y-direction, and the first-order natural frequencies were about 0.151 Hz in the X-direction and 0.153 Hz in the Y-direction under four earthquakes; the second-order natural frequencies in the X and Y directions were about 0.46, except for the parts affected by the installation of sensor. Except for the influence of the dampers installed in the SWFC, the first- and second-order damping ratios in the X and Y directions of the SWFC were smaller than 1%, indicating that the stiffnesses of the two directions were similar.
- (4)
- As the amplitude increased, the first two natural frequencies of the SWFC decreased in the X and Y directions, and the damping ratios also increased to varying degrees. In contrast to damping ratios, natural frequencies were less sensitive to changes in amplitude.
- (5)
- The mode shape of the SWFC under different seismic excitations was essentially the same. The first-order mode shape in X and Y directions increased with the increase of floors and exhibited a non-linear trend, while the non-linear trend of the second-order and third-order modes was more significant but did not always increase.
Author Contributions
Funding
Institutional Review Board Statement
Informed Consent Statement
Data Availability Statement
Conflicts of Interest
References
- Al-Kodmany, K. Tall Building Construction Boom: A Global Snapshot. In Tall Buildings and the City; Springer: Singapore, 2020. [Google Scholar]
- Shi, W.; Shan, J.; Lu, X. Modal identification of Shanghai World Financial Center both from free and ambient vibration response. Eng. Struct. 2012, 36, 14–26. [Google Scholar] [CrossRef]
- Górski, P. Dynamic characteristic of tall industrial chimney estimated from GPS measurement and frequency domain decomposition. Eng. Struct. 2017, 148, 277–292. [Google Scholar] [CrossRef]
- Li, S.; Chen, S. Structural health monitoring of maglev guideway PC girders with distributed long-gauge FBG sensors. Struct. Control Health Monit. 2018, 25, 20–46. [Google Scholar] [CrossRef]
- Chen, Z.; Zhou, X.; Wang, X.; Dong, L.; Qian, Y. Deployment of a smart structural health monitoring system for long-span arch bridges: A review and a case study. Sensors 2017, 17, 2151. [Google Scholar] [CrossRef]
- Jeary, A.P. Damping in tall buildings a mechanism and a predictor. Earthq. Eng. Struct. Dyn. 1986, 14, 733–750. [Google Scholar] [CrossRef]
- Li, Q.S.; Fang, J.Q.; Jeary, A.P.; Wong, C.K. Full scale measurements of wind effects on tall buildings. J. Wind Eng. Ind. Aerodyn. 1998, 74, 741–750. [Google Scholar] [CrossRef]
- Pan, T.C.; Brownjohn, J.M.W.; You, X.T. Correlating measured and simulated dynamic responses of a tall building to long-distance earthquakes. Earthq. Eng. Struct. Dyn. 2004, 33, 611–632. [Google Scholar] [CrossRef]
- Li, Q.S.; He, J.Y.; Zhou, K.; Li, X.; Chan, P.W.; Li, L. City-Scale Typhoon Hazard Analysis and Field Monitoring of Wind Effects on Skyscrapers during Super Typhoon Mangkhut. J. Struct. Eng. 2022, 148, 04022008. [Google Scholar] [CrossRef]
- Kijewski-Correa, T.; Kilpatrick, J.; Kareem, A.; Kwon, D.K.; Bashor, R.; Kochly, M.; Young, B.S.; Abdelrazaq, A.; Galsworthy, J.; Isyumov, N.; et al. Validating wind-induced response of tall buildings: Synopsis of the Chicago full-scale monitoring program. J. Struct. Eng. 2006, 132, 1509–1523. [Google Scholar] [CrossRef]
- Kijewski-Correa, T.; Kochly, M. Monitoring the wind-induced response of tall buildings: GPS performance and the issue of multipath effects. J. Wind Eng. Ind. Aerodyn. 2007, 95, 1176–1198. [Google Scholar] [CrossRef]
- Kijewski-Correa, T.; Kwon, D.K.; Kareem, A.; Bentz, A.; Guo, Y.; Bobby, S.; Abdelrazaq, A. SmartSync: An integrated real-time structural health monitoring and structural identification system for tall buildings. J. Struct. Eng. 2013, 139, 1675–1687. [Google Scholar] [CrossRef]
- Brownjohn JM, W.; Pan, T.C.; Deng, X.Y. Correlating dynamic characteristics from field measurements and numerical analysis of a high-rise building. Earthq. Eng. Struct. Dyn. 2000, 29, 523–543. [Google Scholar] [CrossRef]
- Jeary, A.P. The description and measurement of nonlinear damping in structures. J. Wind Eng. Ind. Aerodyn. 1996, 59, 103–114. [Google Scholar] [CrossRef]
- Li, Q.S.; Zhi, L.H.; Tuan, A.Y.; Kao, C.S.; Su, S.C.; Wu, C.F. Dynamic behavior of Taipei 101 Tower: Field measurement and numerical analysis. J. Struct. Eng. 2011, 137, 143–155. [Google Scholar] [CrossRef]
- Bendat, J.S.; Piersol, A.G. Engineering Applications of Correlation and Spectral Analysis; Wiley: New York, NY, USA, 1980. [Google Scholar]
- Andersen, P.; Brincker, R.; Peeters, B.; De Roeck, G.; Hermans, L.; Krämer, C. Comparison of system identification methods using ambient bridge test data. In Proceedings of the 17th International Modal Analysis Conference (IMAC), Kissimmee, FL, USA, 8–11 February 1999; Society for Experimental Mechanics: Fairfield County, CT, USA, 1999; pp. 1035–1041. [Google Scholar]
- Brincker, R.; Zhang, L.; Andersen, P. Modal identification of output-only systems using frequency domain decomposition. Smart Mater. Struct. 2001, 10, 441. [Google Scholar] [CrossRef]
- Jeary, A.P. Establishing non-linear damping characteristics of structures from non-stationary response time-histories. Struct. Eng. 1992, 70, 4–18. [Google Scholar]
- Beck, J.L. System identification methods applied to measured seismic response. In Proceedings of the 11th World Conference on Earthquake Engineering, Acapulco, Mexico, 23–28 June 1996. Elsevier Paper No. 2004. [Google Scholar]
- Yi, J.; Li, Q.S. Wind tunnel and full-scale study of wind effects on a super-tall building. J. Fluids Struct. 2015, 58, 236–253. [Google Scholar] [CrossRef]
- Chen, W.H.; Lu, Z.R.; Lin, W.; Chen, S.H.; Ni, Y.Q.; Xia, Y.; Liao, W.Y. Theoretical and experimental modal analysis of the Guangzhou New TV Tower. Eng. Struct. 2011, 33, 3628–3646. [Google Scholar] [CrossRef]
- Zhang, F.L.; Xiong, H.B.; Shi, W.X.; Ou, X. Structural health monitoring of Shanghai Tower during different stages using a Bayesian approach. Struct. Control Health Monit. 2016, 23, 1366–1384. [Google Scholar] [CrossRef]
- Zhou, W.; Bi, K.; Hao, H.; Pham, T.M.; Chen, W. Development of locally resonant meta-basement for seismic induced vibration control of high-rise buildings. Eng. Struct. 2023, 275, 115229. [Google Scholar] [CrossRef]
- Quan, Y.; Wang, S.; Gu, M.; Kuang, J. Field measurement of wind speeds and wind-induced responses atop the shanghai world financial center under normal climate conditions. Math. Probl. Eng. 2013, 2013, 902643. [Google Scholar] [CrossRef]
- Ivanovic, S.S.; Trifunac, M.D.; Todorovska, M.I. Ambient vibration tests of structures—A review. ISET J. Earthq. Technol. 2000, 37, 165–197. [Google Scholar]
- Brownjohn, J.M.W. Ambient vibration studies for system identification of tall buildings. Earthq. Eng. Struct. Dyn. 2003, 32, 71–95. [Google Scholar] [CrossRef]
- Kim, B.H.; Stubbs, N.; Park, T. A new method to extract modal parameters using output-only responses. J. Sound Vib. 2005, 282, 215–230. [Google Scholar] [CrossRef]
- Nasser, F.; Li, Z.; Martin, N.; Gueguen, P. An automatic approach towards modal parameter estimation for high-rise buildings of multicomponent signals under ambient excitations via filter-free Random Decrement Technique. Mech. Syst. Signal Process. 2016, 70, 821–831. [Google Scholar] [CrossRef]
- Wang, J.; Lü, D.; Jin, F.; Zhang, C. Accuracy of the half-power bandwidth method with a third-order correction for estimating damping in multi-DOF systems. Earthq. Eng. Eng. Vib. 2013, 12, 33–38. [Google Scholar] [CrossRef]
- Huang, Z.; Gu, M. Envelope random decrement technique for identification of nonlinear damping of tall buildings. J. Struct. Eng. 2016, 142, 40–61. [Google Scholar] [CrossRef]
- Bendat, J.S.; Piersol, A.G. Random Data: Analysis and Measurement Procedures; John Wiley & Son: Hoboken, NJ, USA, 2011. [Google Scholar]
- Waseem, M.; Khan, M.A.; Khan, S. Seismic sources for southern Pakistan and seismic hazard assessment of Karachi. Nat. Hazards 2019, 99, 511–536. [Google Scholar] [CrossRef]
- Pu, X.; Wang, L.; Wang, P.; Tian, X.; Xu, S.; Chai, S.; Guo, H. The response law of far-field seismic ground motion of the Wenchuan earthquake and its damaging mechanism in the Loess Plateau. Earthq. Res. Adv. 2022, 2, 100–114. [Google Scholar] [CrossRef]
- Kanai, K. Semi-empirical formula for the seismic characteristics of the ground motion. Bull. Earthq. Res. Inst. 1957, 35, 309–325. [Google Scholar] [CrossRef]
- Hu, J.; Li, Z.; Zhao, Z. Full-Scale Measurements of Translational and Torsional Dynamics Characteristics of a High-Rise Building during Typhoon Sarika. Materials 2022, 15, 493. [Google Scholar] [CrossRef] [PubMed]
- Zhou, K.; Li, Q.S.; Li, X. Dynamic behavior of supertall building with active control system during Super Typhoon Mangkhut. J. Struct. Eng. 2020, 146, 42–77. [Google Scholar] [CrossRef]
- Davenport, A.G.; Hill-Carroll, P. Damping in tall buildings: Its variability and treatment in design. In Building Motion in Wind; ASCE: Reston, VA, USA, 1986; pp. 42–57. [Google Scholar]

















| Device Name | Product ID | Dynamic Range | Noise Level | Sensitivity | Working Temperature |
|---|---|---|---|---|---|
| Seismic data acquisition and transmission | TDE-324QI | ≥139 dB@50 sps/chn, ≥135 dB@100 sps/chn, ≥131 dB@200 sps/chn | <1 LSB | - | −40 °C~+65 °C |
| Short-period seismograph | TDV-33S | >130 dB | <1% | 2000 V × s/m | −20 °C~+65 °C |
| Acceleration transducer | SLJ100 | >135 dB | <10–6.75 g | ±1.25 V/g | −25 °C~+65 °C |
| Acceleration transducer | TDA-33M | >145 dB | <1% | Double ended 2.5 V/g, single ended 1.25 V/g | −40 °C~+65 °C |
| Earthquake | Distance (km) | Site | Mangnitude (M) | Measuring Time | Duration (s) | ax-max (cm/s2) | ay-max (cm/s2) |
|---|---|---|---|---|---|---|---|
| E1 (Yilan, Taiwan) | 738.96 | 121.96° E, 24.52° N | 6.4 | 8 August 2019 05:28 | 660 | 1.784 | 1.984 |
| E2 (Kyushu, Japan) | 909 | 130.84° E, 32.07° N | 6.0 | 14 April 2016 23:03 | 660 | 0.656 | 0.474 |
| E3 (East China Sea) | 704.9 | 128.7° E, 31° N | 7.2 | 14 November 2015 04:51 | 420 | 6.573 | 5.149 |
| E4 (Sheyang, Jiangsu) | 299.76 | 120.3° E, 33.7° N | 4.4 | 20 October 2016 04:51 | 300 | 1.027 | 0.626 |
| Earthquake | Direction | Mode | Frequency (Hz) | ||
|---|---|---|---|---|---|
| PP | E-RDT | Difference (%) | |||
| E1 | X−direction | Mode 1 | 0.1494 | 0.1540 | 3.0 |
| Mode 2 | 0.5497 | 0.4879 | 11.2 | ||
| Y−direction | Mode 1 | 0.1531 | 0.1532 | 0.07 | |
| Mode 2 | 0.5186 | 0.4883 | 5.88 | ||
| E2 | X−direction | Mode 1 | 0.1517 | 0.1530 | 0.85 |
| Mode 2 | 0.5508 | 0.4559 | 17.20 | ||
| Y−direction | Mode 1 | 0.1533 | 0.1535 | 0.13 | |
| Mode 2 | 0.5217 | 0.4604 | 11.75 | ||
| E3 | X−direction | Mode 1 | 0.1524 | 0.1514 | 0.66 |
| Mode 2 | 0.5500 | 0.4513 | 17.90 | ||
| Y−direction | Mode 1 | 0.1524 | 0.1526 | 0.13 | |
| Mode 2 | 0.5190 | 0.4646 | 10.48 | ||
| E4 | X−direction | Mode 1 | 0.1500 | 0.1504 | 0.27 |
| Mode 2 | 0.5500 | 0.4556 | 17.16 | ||
| Y−direction | Mode 1 | 0.1519 | 0.1524 | 0.33 | |
| Mode 2 | 0.5222 | 0.4644 | 11.07 | ||
| Earthquake | Direction | Mode | Ratio (%) | ||
|---|---|---|---|---|---|
| HPBW | E-RDT | Difference (%) | |||
| E1 | X-direction | Mode 1 | 0.6514 | 0.6041 | 7.30 |
| Mode 2 | 0.6091 | 0.6366 | 4.51 | ||
| Y-direction | Mode 1 | 0.6942 | 0.7041 | 1.42 | |
| Mode 2 | 0.5679 | 0.5512 | 2.94 | ||
| E2 | X-direction | Mode 1 | 0.6995 | 0.7075 | 1.14 |
| Mode 2 | 0.6103 | 0.5630 | 7.75 | ||
| Y-direction | Mode 1 | 0.7165 | 0.6522 | 8.97 | |
| Mode 2 | 0.6384 | 0.6442 | 0.90 | ||
| E3 | X-direction | Mode 1 | 0.6293 | 0.6762 | 6.93 |
| Mode 2 | 0.5775 | 0.5473 | 5.23 | ||
| Y-direction | Mode 1 | 0.6867 | 0.6674 | 2.81 | |
| Mode 2 | 0.5474 | 0.5684 | 3.84 | ||
| E4 | X-direction | Mode 1 | 0.6339 | 0.6029 | 4.89 |
| Mode 2 | 0. 5217 | 0.5778 | 9.70 | ||
| Y-direction | Mode 1 | 0.6565 | 0.6200 | 5.56 | |
| Mode 2 | 0.5370 | 0.5018 | 6.55 | ||
Disclaimer/Publisher’s Note: The statements, opinions and data contained in all publications are solely those of the individual author(s) and contributor(s) and not of MDPI and/or the editor(s). MDPI and/or the editor(s) disclaim responsibility for any injury to people or property resulting from any ideas, methods, instructions or products referred to in the content. |
© 2023 by the authors. Licensee MDPI, Basel, Switzerland. This article is an open access article distributed under the terms and conditions of the Creative Commons Attribution (CC BY) license (https://creativecommons.org/licenses/by/4.0/).
Share and Cite
Wang, X.; Kong, H.; Zhang, G.; Zhao, P. Field Measurement Study on Dynamic Characteristics of the Shanghai World Financial Center. Appl. Sci. 2023, 13, 7973. https://doi.org/10.3390/app13137973
Wang X, Kong H, Zhang G, Zhao P. Field Measurement Study on Dynamic Characteristics of the Shanghai World Financial Center. Applied Sciences. 2023; 13(13):7973. https://doi.org/10.3390/app13137973
Chicago/Turabian StyleWang, Xu, Hu Kong, Guoliang Zhang, and Peng Zhao. 2023. "Field Measurement Study on Dynamic Characteristics of the Shanghai World Financial Center" Applied Sciences 13, no. 13: 7973. https://doi.org/10.3390/app13137973
APA StyleWang, X., Kong, H., Zhang, G., & Zhao, P. (2023). Field Measurement Study on Dynamic Characteristics of the Shanghai World Financial Center. Applied Sciences, 13(13), 7973. https://doi.org/10.3390/app13137973
