Finite-Time Height Control of Quadrotor UAVs
Abstract
1. Introduction
- I.
- A dual closed-loop control frame is proposed with a finite-time super-twisting controller in the inner loop and an integral sliding mode controller in the outer loop for a quadrotor UAV.
- II.
- An upper bound of convergence time is introduced for a finite-time ESO, which is applied in the inner loop to assist the finite-time super-twisting controller in estimating disturbances.
- III.
- With excellent robustness, an integral sliding mode controller is designed to both generate a desired height velocity signal for the inner loop and reject disturbances of the outer loop.
2. Height Dynamic Model of Quadrotor UAV
- If the scalar function satisfies , where and , then the system is stable in the finite time and the converge time is calculated by .
- If the scalar function satisfies , where , and , then the system is stable in the finite time and the converge time is calculated by .
3. Inner-Loop Control Scheme Design
3.1. Finite-Time ESO Design
3.2. Design of Super-Twisting Controller
4. Outer-Loop Control Scheme Design
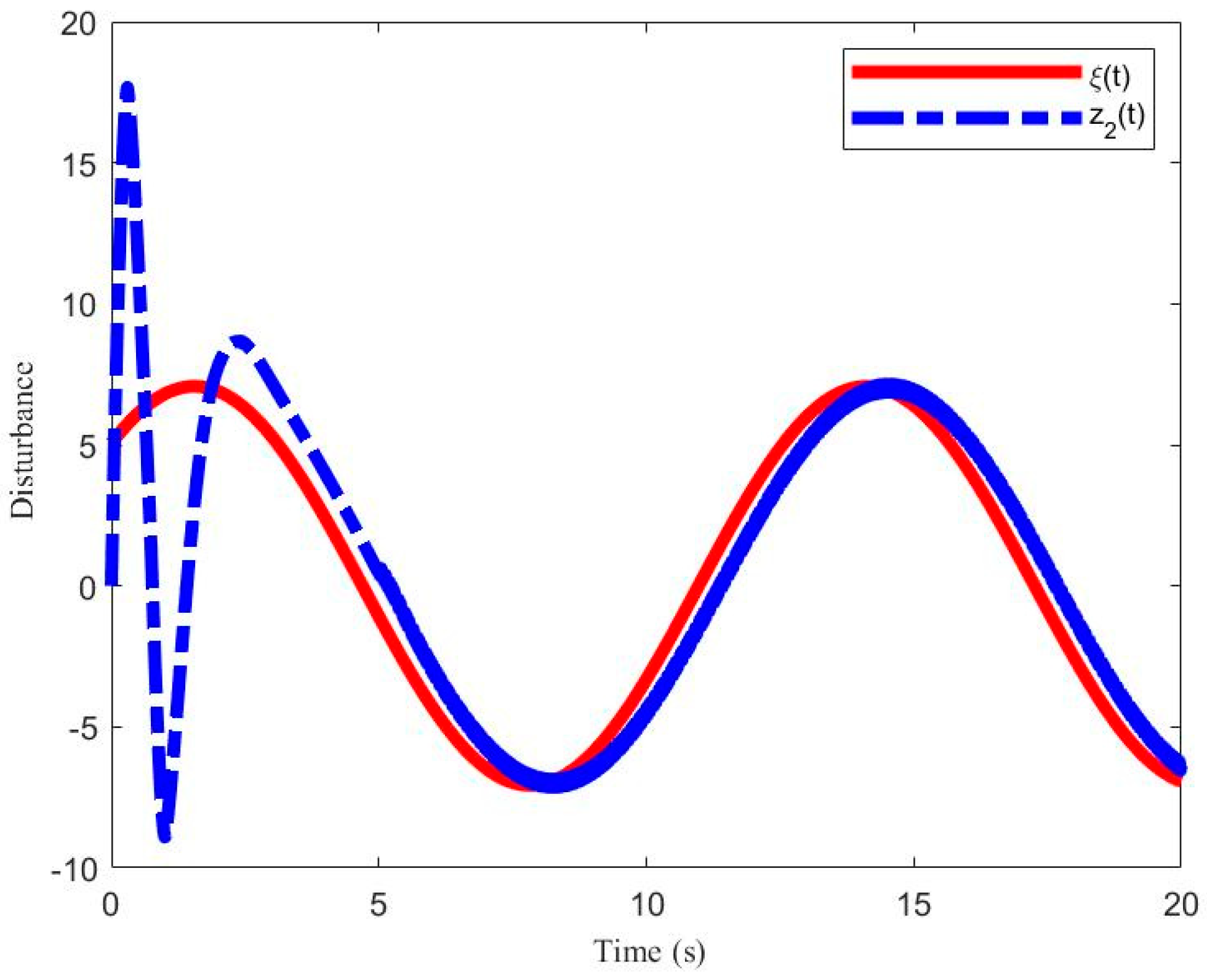
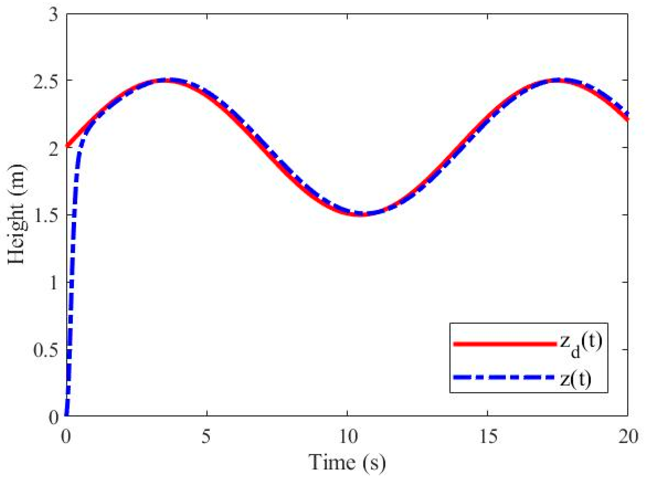
5. Simulation and Experiment Results
6. Conclusions
Author Contributions
Funding
Institutional Review Board Statement
Informed Consent Statement
Data Availability Statement
Conflicts of Interest
References
- Ma, W.; Li, H.; Wei, S. Research on hovering performance of quadrotor against combined wind field interference based on ADRC. Foreign Electron. Meas. Technol. 2020, 39, 71–76. [Google Scholar]
- Xie, S.; Chen, Q.; He, X. Predefined-time approximation-free attitude constraint control of rigid spacecraft. IEEE Trans. Aerosp. Electron. Syst. 2023, 59, 347–358. [Google Scholar] [CrossRef]
- Tao, M.; Chen, Q.; He, X. Fixed-time filtered adaptive parameter estimation and attitude control for quadrotor UAVs. IEEE Trans. Aerosp. Electron. Syst. 2022, 58, 4135–4146. [Google Scholar] [CrossRef]
- Rinaldi, M.; Primatesta, S.; Guglieri, G. A comparative study for control of quadrotor UAVs. Appl. Sci. 2023, 13, 3464. [Google Scholar] [CrossRef]
- Zhao, L.; Dai, L.; Xia, Y. Attitude control for quadrotors subjected to wind disturbances via active disturbance rejection control and integral sliding mode control. Mech. Syst. Signal Process. 2019, 129, 531–545. [Google Scholar] [CrossRef]
- Chen, K.; Ye, C.; Wu, C.; Wang, H.; Jin, L.; Zhu, F.; Hong, H. A novel open-closed-loop control strategy for quadrotor trajectory tracking on real-time control and acquisition platform. Appl. Sci. 2023, 13, 3251. [Google Scholar] [CrossRef]
- Zhang, X.; Xian, B.; Zhao, B.; Zhang, Y. Autonomous flight control of a nano quadrotor helicopter in a GPS-denied environment using on-board vision. IEEE Trans. Ind. Electron. 2015, 62, 6392–6403. [Google Scholar] [CrossRef]
- Zhou, Z.; Wang, H.; Wang, Y.; Xue, X.; Zhang, M. Distributed formation control for multiple quadrotor UAVs under Markovian switching topologies with partially unknown transition rates. J. Frankl. Inst. 2019, 356, 5706–5728. [Google Scholar] [CrossRef]
- Mystkowski, A. Implementation and investigation of a robust control algorithm for an unmanned micro-aerial vehicle. Robot. Auton. Syst. 2014, 62, 1187–1196. [Google Scholar] [CrossRef]
- Xiong, J.; Zheng, E. Position and attitude tracking control for a quadrotor UAV. ISA Trans. 2014, 53, 725–731. [Google Scholar] [CrossRef]
- Tan, L.; Liang, S.; Su, H.; Qin, Z.; Li, L.; Huo, J. Research on amphibious multi-rotor UAV out-of-water control based on ADRC. Appl. Sci. 2023, 13, 4900. [Google Scholar] [CrossRef]
- Han, J. From PID to active disturbance rejection control. IEEE Trans. Ind. Electron. 2009, 56, 900–906. [Google Scholar] [CrossRef]
- Li, P.; Yang, H.; Li, H.; Liang, S. Nonlinear ESO-based tracking control for warehouse mobile robots with detachable loads. Robot. Auton. Syst. 2022, 149, 103965. [Google Scholar] [CrossRef]
- Ho, C.; Ahn, K. Extended state observer-based adaptive neural networks backstepping control for pneumatic active suspension with prescribed performance constraint. Appl. Sci. 2023, 13, 1705. [Google Scholar] [CrossRef]
- Yang, H.; Sun, J.; Xia, Y.; Zhao, L. Position control for magnetic rod-less cylinders with strong static friction. IEEE Trans. Ind. Electron. 2018, 65, 5806–5815. [Google Scholar] [CrossRef]
- Liu, Y.; Li, H.; Lu, R.; Zuo, Z.; Li, X. An overview of finite/fixed-time control and its application in engineering systems. IEEE/CAA J. Autom. Sin. 2022, 9, 2106–2120. [Google Scholar] [CrossRef]
- Yang, W.; Shi, Z.; Zhong, Y. Robust backstepping non-smooth practical tracking for nonlinear systems with mismatched uncertainties. Int. J. Robust Nonlinear Control 2022, 32, 3674–3695. [Google Scholar] [CrossRef]
- Alonge, F.; D’Ippolito, F.; Fagiolini, A.; Garraffa, G.; Sferlazza, A. Trajectory robust control of autonomous quadcopters based on model decoupling and disturbance estimation. Int. J. Adv. Robot. Syst. 2021, 18, 1–12. [Google Scholar] [CrossRef]
- Yu, X.; Yang, J.; Li, S. Finite-time path following control for small-scale fixed-wing UAVs under wind disturbances. J. Frankl. Inst. 2020, 357, 7879–7903. [Google Scholar] [CrossRef]
- Du, H.; Zhu, W.; Wen, G. Distributed formation control of multiple quadrotor aircraft based on non-smooth consensus algorithms. IEEE Trans. Cybern. 2019, 49, 342–353. [Google Scholar] [CrossRef]
- Wang, Y.; Hu, J. Robust control for a quadrotor aircraft with small overshoot and high-precision position tracking performance. J. Frankl. Inst. 2020, 357, 13386–13409. [Google Scholar] [CrossRef]
- Bhat, S.; Dennis, S. Finite-time stability of continuous autonomous systems. SIAM J. Control Optim. 2000, 38, 751–766. [Google Scholar] [CrossRef]
- Hou, Z.; Isabelle, F. Interactive leader-follower consensus of multiple quadrotors based on composite nonlinear feedback control. IEEE Trans. Control Syst. Technol. 2018, 26, 1732–1743. [Google Scholar] [CrossRef]
- Abdul Ghaffar, A.F.; Richardson, T.; Greatwood, C. A combined model reference adaptive control law for multirotor UAVs. IET Control Theory Appl. 2021, 15, 1474–1487. [Google Scholar] [CrossRef]
- Zhao, J.; Ding, X.; Jiang, B.; Jiang, G.; Xie, F. A novel control strategy for quadrotors with variable mass and external disturbance. Int. J. Robust Nonlinear Control 2021, 31, 8605–8631. [Google Scholar] [CrossRef]
- Vahdanipour, M.; Khodabandeh, M. Adaptive fractional order sliding mode control for a quadrotor with a varying load. Aerosp. Sci. Technol. 2019, 86, 737–747. [Google Scholar] [CrossRef]
- Zheng, L.; Zhang, Z. Convergence and robustness analysis of novel adaptive multilayer neural dynamics-based controllers of multirotor UAVs. IEEE Trans. Cybern. 2021, 51, 3710–3723. [Google Scholar] [CrossRef] [PubMed]
- Outeiro, P.; Cardeira, C.; Oliveira, P. Multiple-model adaptive control architecture for a quadrotor with constant unknown mass and inertia. Aerosp. Sci. Technol. 2021, 117, 106899. [Google Scholar] [CrossRef]
- Avram, R.C.; Zhang, X.; Muse, J. Nonlinear adaptive fault-tolerant quadrotor altitude and attitude tracking with multiple actuator faults. IEEE Trans. Control Syst. Technol. 2017, 26, 701–707. [Google Scholar] [CrossRef]
- Cui, L.; Zhang, R.; Yang, H.; Zuo, Z. Adaptive super-twisting trajectory tracking control for an unmanned aerial vehicle under gust winds. Aerosp. Sci. Technol. 2021, 115, 106833. [Google Scholar] [CrossRef]
- Yang, H.; Cheng, L.; Xia, Y.; Yuan, Y. Active disturbance rejection attitude control for a dual closed-loop quadrotor under gust wind. IEEE Trans. Control Syst. Technol. 2018, 26, 1400–1405. [Google Scholar] [CrossRef]











Disclaimer/Publisher’s Note: The statements, opinions and data contained in all publications are solely those of the individual author(s) and contributor(s) and not of MDPI and/or the editor(s). MDPI and/or the editor(s) disclaim responsibility for any injury to people or property resulting from any ideas, methods, instructions or products referred to in the content. |
© 2023 by the authors. Licensee MDPI, Basel, Switzerland. This article is an open access article distributed under the terms and conditions of the Creative Commons Attribution (CC BY) license (https://creativecommons.org/licenses/by/4.0/).
Share and Cite
Zhao, S.; Xia, Y.; Ma, L.; Yang, H. Finite-Time Height Control of Quadrotor UAVs. Appl. Sci. 2023, 13, 7914. https://doi.org/10.3390/app13137914
Zhao S, Xia Y, Ma L, Yang H. Finite-Time Height Control of Quadrotor UAVs. Applied Sciences. 2023; 13(13):7914. https://doi.org/10.3390/app13137914
Chicago/Turabian StyleZhao, Shuaihe, Yuanqing Xia, Liqun Ma, and Hongjiu Yang. 2023. "Finite-Time Height Control of Quadrotor UAVs" Applied Sciences 13, no. 13: 7914. https://doi.org/10.3390/app13137914
APA StyleZhao, S., Xia, Y., Ma, L., & Yang, H. (2023). Finite-Time Height Control of Quadrotor UAVs. Applied Sciences, 13(13), 7914. https://doi.org/10.3390/app13137914

