Abstract
Vanadium dioxide (VO2) is a well-known phase-changing material that goes from a semiconducting state to a metallic one at a critical temperature of 68 °C, which is the closest to room temperature (25 °C). The electrical transition is also accompanied by structural and optical changes. The optical transition upon heating-also known as thermochromism-makes VO2 a possible coating for “intelligent” windows. In this work, the relationship between the thermochromic performance of VO2 films and the surface morphology was investigated using Temperature-dependent Atomic Force Microscopy (T-AFM) in conjunction with the X-ray Diffraction technique and Scanning Electron Microscopy. In particular, VO2 films were deposited using the rf sputtering technique on Silicon and glass substrates at a substrate temperature of 300 °C, which is one of the lowest for this technique to grow the thermochromic monoclinic phase of VO2. It was found that upon heating (25–100 °C), there was a decrease in RMS roughness for all films independent from the substrate; the value of RMS roughness, however, varied depending on the substrate. Finally, the thermochromic parameters of the VO2 films were correlated with the surface morphology and appeared to be dependent on the kind of substrate used.
1. Introduction
Vanadium dioxide (VO2) is a wide-investigated thermochromic material [1] that can be applied to numerous applications such as “intelligent” glazing systems [2,3,4,5,6], thermal switching [7,8], gas sensing [9,10] and optical memory switching [11,12]. More specifically, VO2 undertakes a semiconductor-to-metal transition (SMT) at a critical transition temperature of TC = 68 °C for pristine material. This critical temperature is the closest to room temperature (RT = 25 °C) in comparison to that of other thermochromic materials [13]. Thus, at temperatures lower than TC, it is a semiconductor with an orthorhombic monoclinic (M) structure and highly transparent in Infrared radiation (IR), while for temperatures higher than TC, it has a metallic behavior, a tetragonal rutile (R) structure and it becomes highly reflective to IR radiation. In addition, this transition is reversible while the visible transmittance remains constant, independent of the temperature. As a result, VO2 can potentially be an excellent candidate as a thermochromic coating on “intelligent” windows, regulating the internal temperature of a building [14]. Apart from this, it is still under investigation if the mechanism that explains the SMT is a Mott transition, as a result of electron-electron correlation or a Peierls one, originating from the interaction between electron and lattice [15,16,17].
Furthermore, it is well known that the thermochromic parameters of VO2 films, such as the critical transition temperature, the width of the transmittance hysteresis loop as well as the IR variation upon heating, are strongly affected by mechanical stress or strain effects that can be caused in the film structure as a result of doping [18,19,20], oxygen vacancies [21,22] or the lattice mismatch between the film and the substrate due to different structures [23,24]. In specific, by doping the VO2 films with tungsten (W) atoms, a great decrease in the critical transition temperature is succeeded; however, their thermochromicity is decreased [25,26]. In contrast, structural defects caused by oxygen deficiency, according to the V-O system [27], low deposition temperature (<400 °C) [28] or the buffer layer [29,30,31,32], leading to a reduced critical transition temperature, without affecting the IR variations (IR-switching). Thus, the growth parameters, as well as the substrate, play critical roles in the thermochromic behavior of VO2 films. Various growth techniques such as rf or dc sputtering [33,34], Pulsed Laser Deposition (PLD) [22], Atmospheric Pressure Chemical Vapor Deposition (APCVD) [35], sol-gel [36] and hydrothermal synthesis [37] have been used to synthesize thermochromic VO2 films with low critical transition temperature as well as hysteresis width and with enhanced IR-switching. In addition, ZnO [38], SnO2 [39], TiO2 [40], Si3N4 [28] and BN [41] are some of the materials that have been used as buffer layers in order to boost the thermochromic performance of VO2 films that were deposited on them.
In the present work, the effect of surface changes upon heating on the thermochromic performance of rf-sputtered VO2 films was investigated using Temperature-dependent Atomic Force Microscopy (T-AFM). It should be noticed here that only a few works have been referred to in the literature concerning the application of the latter technique on VO2 thermochromic films [42]. As a result, it was found a slight decrease in the RMS roughness of the films’ surface upon heating, regardless of the substrate used, which can be ascribed to the phase transition between the monoclinic (for T < TC) phase and the rutile (for T > TC) one. Furthermore, all films appeared to have a reduced critical transition temperature compared to the pristine one, and IR-switching that was varied with the substrate and mean luminous transmittance was less than 40%.
2. Materials and Methods
The thermochromic VO2 films were grown using the rf sputtering technique (Nordico RFG2500) using a high purity (99.95%) metal Vanadium target. The deposition was taken place at a low substrate temperature of 300 °C on 4 different substrates those are Silicon (Si), K-Glass (Pilkington, 4 mm thick, Low-e, SnO2 pre-coated), fused silica glass (1 mm thick) and flexible glass (Corning, 0.2 mm thick). The Oxygen content percentage (%) in Oxygen-Argon plasma (% O2 = [f(O2)/(f(O2) + f(Ar))] × 100%, where f is the flow of each gas) was 1% for the films deposited on fused silica and flexible glass substrates and 3% for those deposited on Si and K-Glass substrates, since those were the values leading to the optimum thermochromic performance of VO2 films, depending on the substrate used according to our previous works [7,43,44,45]. The substrates were cleaned using acetone, propanol and deionized water, and they were dried with Nitrogen gas before they were placed in the sputtering chamber. The latter was initially evacuated at a pressure lower than 10−6 mbar, while the total pressure during deposition was 6.7 × 10−3 mbar. The sputtering power was constant at 400 W. A profilometer (Veeco Dektak 150, Veeco, Plainview, NY, USA) was employed to determine the film thickness. The deposition parameters of the films are presented in Table 1.
Table 1.
Deposition parameters of the rf sputtered VO2 films.
The structural properties of the films were studied by the X-Ray Diffraction (XRD) technique (Rigaku RINT-2000, Rigaku, Tokyo, Japan) using Cu Kα X-Rays at λ = 0.154 nm. All films were examined using the Grazing Incident XRD (GIXRD) method at θ = 1° and 2θ = 10°–60 °, with a step of 0.02 °/s. From the XRD pattern, the crystallite size of the films was calculated using Scherrer’s formula, which is described below in Equation (1):
where (FWHM) is the Full Width Half Max of the diffraction peak at an angle of 2θ and θo = 2θ/2, the corresponding angle. The surface morphology was investigated by Scanning Electron Microscopy (SEM; JEOL/JSM-IT700HR, JEOL, Tokyo, Japan) as well as by Temperature-dependent Atomic Force Microscopy (T-AFM, Keysight 5500 Microscope, Keysight, Santa Rosa, CA, USA). The latter was combined with Multi75-G silicon cantilevers (Budget Sensors, Sofia, Bulgaria) having 3 nm−1 spring constant and 75 kHz resonance frequency, while the characterization was performed in the tapping mode. The temperature was increased at a rate of 1 °C/min, followed by 1 h relaxation time on every terminal value before AFM measurements. Moreover, T-AFM allows the monitoring of the surface changes of the VO2 films during heating; thus, the RMS roughness of the films can be measured upon the phase change of the material.
D (nm) = 0.9*0.154/(FWHM)*cosθo
The optical energy band gap (Eg) was calculated by optical measurements using a spectrophotometer (Perkin Elmer Lambda 950 UV/Vis/NIR, Perkin Elmer, Waltham, MA, USA) working at λ = 250–2500 nm. By employing the standard Tauc plot [46] resulting from the transmittance measurements and the thickness of the films, the Eg was extracted using the equation:
where α is the absorption coefficient, hf is the photon energy, h is Planck’s constant, A is a constant and n is 1/2 or 2 for allowed indirect or direct transitions, respectively.
(αhf)n = A(hf − Eg)
The thermochromic performance of the VO2 films was determined by optical measurements as a function of temperature by employing the above-mentioned spectrophotometer. The transmittance spectra of the films at temperatures below (25 °C) and above (90 °C) the critical transition temperature were recorded using a homemade heating stage. A temperature controller was used to control the heating rate at a step of 1.5 °C/min, while a thermocouple, on contact with the film surface, was monitoring the temperature during heating and cooling procedures. The variation of IR transmittance at λ = 2000 nm, known as IR-switching, is defined as (Equation (3))
where Tr(25 °C) and Tr(90 °C) are the transmittance (λ = 2000 nm) at 25 °C and 90 °C, respectively.
ΔTrIR = Tr(25 °C) − Tr(90 °C)
The integrated solar transmittance (Trsol) and luminous transmittance (Trlum) are defined by the following equation (Equation (4)):
where Tr(λ,Τ) denotes the measured transmittance spectrum at a specific temperature, i denotes solar (sol) or luminous (lum), φsol is the solar irradiance spectrum for an air mass of 1.5 (corresponding to the sun standing 37° above the horizon) [47] and φlum is the standard luminous efficiency function for photopic vision [48]. Thus, the solar modulation is defined as (Equation (5))
ΔTrsol (%) = Trsol(25 °C) (%) − Trsol(90 °C) (%)
Finally, the critical transition temperature (TC), as well as the width of the transmittance hysteresis loop (ΔTC), are defined by the following Equations (6) and (7), respectively
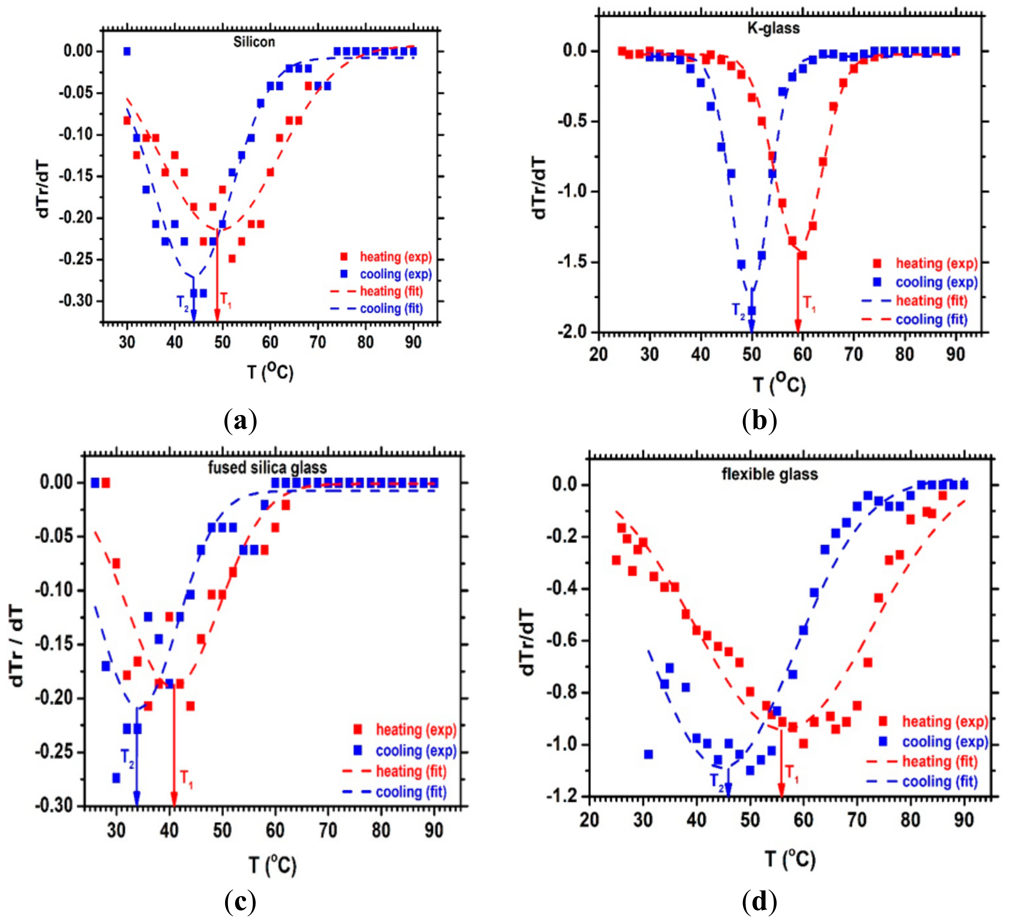
where T1 and T2 are the transition temperatures during heating and cooling, respectively; the latter was calculated by recording the transmittance of the films during the heating and cooling procedure at a constant IR wavelength of λ = 2000 nm and subsequently plotting the derivative of transmittance (dΤr/dT) as a function of temperature for each procedure and fitting a Gaussian curve. The temperature that corresponds to the minimum of the Gaussian curve, at which dΤr/dT = 0, is defined as the critical transition temperature T1, T2 for each procedure [49]. In addition, the Full Width at Half Maximum, as calculated by the Gaussian curve, indicates the sharpness of the transition during the heating (FWHM)h and cooling (FWHM)c procedures. The lower the value of FWHM, the higher the sharpness of the transition.
TC = (T1 = T2)/2
ΔTC = T1 − T2
3. Results
The XRD patterns of the rf sputtered VO2 films deposited on different substrates are presented in Figure 1. It can be seen that apart from K-Glass and Si substrates, the characteristic peak of (011) plane at 2θ = 27.8 ° (JCPDS Card No. 44-0252) appeared in all films, confirming the monoclinic low-temperature phase of VO2. For the K-Glass substrate, the peak could not be detected because it is close to the (110) plane of the SnO2 buffer layer located at 26.6° (JCPDS Card No. 41-1445). However, for both K-Glass and Si substrates, a characteristic peak at 2θ = 33.4° corresponding to the plane of monoclinic VO2 (JCPDS Card No. 44-0252). The crystallite size of the films was calculated using Equation (1) for the above-mentioned characteristic peaks of VO2 and found to be between 4.4 nm for the Si substrate and 11.3 nm for the K-Glass substrate, as these are shown in Table 1. These values are in agreement with those of Li et al. [50], which prepare VO2 films by PLD at an oxygen pressure of 0.1 Pa at a substrate temperature of 500 °C on glass substrates; however, they are lower compared to those of Madiba et al. [51], which deposited VO2 films using the sputtering technique on glass substrates at temperatures higher than 350 °C.
Figure 1.
XRD diagrams of VO2 films deposited on different substrates.
The morphology of the films was examined by scanning electron microscopy, and the images are presented in Figure 2. It becomes clear that the films on Si, fused silica and flexible glass substrates (Figure 2a,c,d, respectively) were of high homogeneity, having small grains. However, the films have different morphology, depending on the substrate. In particular, the surface of the film deposited on the Si substrate (Figure 2a) shows some cracks, the one that was deposited on the fused silica substrate (Figure 2c) is porous and the film’s surface on the flexible glass substrate (Figure 2d) is very smooth. These variations can be attributed to the different characteristics of each substrate, such as thickness or surface morphology. This is also confirmed by the corresponding RMS roughness values that were extracted by AFM measurements, and they are listed below in Table 1. Contrastingly, the VO2 films that were grown on the K-Glass substrate (Figure 2b) appeared to have larger grains and aggregated particles, in accordance with the greater RMS roughness value (Table 1), possibly due to the SnO2 buffer layer of the K-Glass substrate as well as to the higher thickness of K-glass substrate (4 mm). It is known that SnO2 has a tetragonal structure with lattice parameters similar to those of the high-temperature tetragonal rutile phase of VO2 [31]. Thus, it promotes the formation of VO2 with greater grains compared to the bare substrates.
Figure 2.
SEM images of VO2 films deposited on (a) Silicon; (b) K-Glass; (c) fused silica; and (d) flexible glass substrates.
The surface changes upon heating from room temperature (~25 °C) that is well below TC to 100 °C, which is far above the TC, where investigated by Temperature-dependent AFM. The AFM images of VO2 films at four different temperatures, 25, 60, 80 and 100 °C, for each substrate are shown in Table 2. It can be seen that the surface morphology is different for each substrate at RT; however, the RMS roughness (Table 1) is much higher in the K-Glass substrate, probably due to the SnO2 buffer layer, the RMS roughness of which was equal to 11.1 nm. Moreover, upon heating, there is no morphological change of the films’ surfaces compared to that at RT, except from the film that was grown on Si substrate, which seems to have a different surface morphology at 80 °C as well as at 100 °C. These changes may be attributed to the smaller thickness (40 nm) of the films that were deposited on the Si substrate compared to those that were deposited on other substrates (100 nm). It should be noticed that a thickness of 40 nm was the optimum concerning the thermochromic performance of the Si substrate. Furthermore, the values of RMS roughness of VO2 films that were deposited on different substrates upon heating from RT to 100 °C are presented in Figure 3. It can be noticed a slight decrease of RMS roughness after the temperature of 60 °C, which is higher than the TC one, for films grown on Si, fused silica and flexible glass. This observation confirms the structural transition, which is accompanied by the MIT as well as the optical transition [52]. This decrease in RMS roughness can be attributed to the transition of the VO2 crystal structure from monoclinic (T < TC) to tetragonal (T > TC) upon heating. According to this transition, the V4+–V4+ pair in the form of a zig-zag along the a-axis, with alternate distances of 0.265 nm and 0.312 nm, tilting in the c-axis, of the low-temperature monoclinic structure turns to simple rutile tetragonal structure with lower size at higher temperature [1]. This structural transition upon heating is accompanied by strain effects [53] as well as variations in grain boundaries of the film [42], leading to surface changes. Thus this explanation might be the reason for the decrease in RMS roughness with heating. In contrast to other substrates, the RMS roughness of VO2 film on K-Glass was increased upon heating between RT and 60 °C, and then it was decreased with further heating to 80 and 100 °C. The reason for this might be the fact that the critical transition temperature VO2/K-Glass film, as this was calculated by optical measurements, is equal to 54 °C (Table 3), that is, close to 60 °C, which means that the surface changes do not immediately follow the optical ones. This is in accordance with the works of Kim [54] and Kang [15], in which they supported the existence of an intermediate phase between the monoclinic and the rutile one, also known as monoclinic (M2). As a result, the MIT, as well as the IR optical changes, happened at 68 °C, while the structural phase change happened at a slightly increased temperature. In addition, the results are similar to those of Kim et al. [42], which investigated the thermochromic properties of VO2 films deposited using the PLD technique on the Si substrate using Temperature-dependent AFM. They observed the existence of the M2 monoclinic phase as an intermediate phase between the low-T monoclinic phase (M1) and the high-T tetragonal rutile (R) phase, resulting in a structural transition at a critical temperature slightly higher than this of electric or optical transition. It should be noticed that when the films were cooled down to room temperature their topography returns to the initial one, confirming the reversibility of the transition.
Table 2.
AFM images of VO2 films deposited upon heating at (a) RT (b) 60 °C, (c) 80 °C and (d) 100 °C.
Figure 3.
RMS roughness of VO2 films upon heating from RT to 100 °C.
Table 3.
Thermochromic performance of VO2 films.
Figure 4 shows the Tauc plot resulting from the transmittance measurements (Figure 5, 25 °C) and using Equation (2) for VO2 thermochromic films deposited on K-glass, fused silica and flexible glass substrates, assuming allowed indirect transitions (n = 1/2). Extrapolating the linear region, the Eg is defined as the interception with the energy axis. The values of Eg are shown in Table 1, from which it becomes clear that the substrate affected the optical band gap. In specific, the Eg of VO2 films deposited on K-Glass (1.69 eV) and flexible glass (1.74 eV) are close to those that have been reported by Hu et al. (1.67 eV) [55] and Li et al. (1.71 eV) [56], while the Eg of the film grown on fused silica substrate (1.48 eV) was lower enough, indicating the possible existence of structural defects. However, it is higher enough compared to the works of Zhang et al. (0.52 eV) [57] and Bleu et al. (0.49–0.51 eV) [58].
Figure 4.
Tauc plot-(ahf)1/2 vs. hf- of VO2 films deposited on different substrates. The arrows point the value of optical energy band gap where (ahf)1/2 = 0.
Figure 5.
Transmittance spectra at 25 °C (blue line) and 90 °C (red line) of VO2 films grown on different substrates.
The thermochromic characteristics of VO2 films were investigated by optical measurements. Figure 5 presents the transmittance of VO2 films at temperatures below (RT) and above (90 °C) the TC. In addition, all the films had a thermochromic behavior independent from the substrate, however, with different features. From the transmittance spectra and by using Equations (3)–(5), the IR-switching, the luminous transmittance and the solar transmittance modulation were calculated, and they are listed in Table 3. Moreover, the transmittance hysteresis loop at λ = 2000 of VO2 films is shown in Figure 6. Using these and following the procedure described in the experimental section, the critical transition temperatures, T1 and T2, were determined (Figure 7). Applying these values in Equations (6) and (7), the critical transition temperature, as well as the width of the transmittance hysteresis loop, were calculated and listed in Table 3. In the same table, the (FWHM) during the heating and cooling procedures is presented, indicating the sharpness of each transition.
Figure 6.
Transmittance hysteresis loop, at λ = 2000 nm, during heating (red square dots) and cooling (blue square dots) procedures, of VO2 films grown on (a) silicon; (b) K-glass; (c) fused silica glass; and (d) flexible glass substrates.
Figure 7.
Derivative of transmittance (λ = 2000 nm) as a function of temperature, during heating (red square dots) and cooling (blue square dots) procedures, of VO2 films grown on (a) Silicon; (b) K-glass; (c) fused silica glass; and (d) flexible glass substrates. A Gaussian curve (dash line) was fitted on each procedure (red for heating, blue for cooling).
From this, it becomes clear that the critical transition temperature is strongly dependent on the substrate, ranging from 37.5 °C (fused silica) to 54.5 °C (K-Glass), while the width of the transmittance hysteresis loop varied from 5 °C (Si) to 11 °C (flexible glass). The reduced values of critical transition temperature compared to this of pristine material one (68 °C) can be attributed to the low crystallinity of the films as a result of the low deposition temperature. For the same reason, the transition is of low sharpness for the films grown on Si, fused silica and flexible glass substrates, while it is of high sharpness for those grown on K-Glass (Table 3), probably due to the presence of SnO2 buffer layer. It is known that all the above-mentioned thermochromic characteristics are affected by the structural strains that can be caused either by the lattice misfits between the VO2 films and the substrate or by the size of the grains and the resulting number of grain boundaries [23,52,59,60]. In the same way, the IR-switching seems to be dependent on the substrate; however, the solar transmittance modulation slightly differs for films deposited on glass substrates (K-Glass, fused silica and flexible), while it is much lower for those deposited on Si substrates. Finally, the luminous transmittance of the films varied between 34% and 38%, remaining almost the same independent from the substrate. The values listed in Table 3 are in the range with those that have been reported in the literature for VO2 films prepared by the sputtering technique [61,62] and/or for the same substrates of K-Glass [30,31] and Si [63].
The thermochromic characteristics of the rf-sputtered VO2 films grown on different substrates were related to the structural and morphological changes upon heating as they were confirmed by the Temperature-dependent AFM analysis, which was applied for the first time for VO2 films deposited by this technique.
4. Conclusions
In the present work, T-dependent AFM analysis was employed to investigate the relationship between the thermochromic properties of rf-sputtered VO2 films grown on different substrates and the structural/morphological changes upon heating. It was found that upon heating (25–100 °C) there was a decrease in RMS roughness for all films independent from the substrate; however, the value of RMS roughness varied depending on the substrate. Morphological changes happened at a slightly higher critical transition temperature, confirming the existence of the M2 monoclinic phase during the transition from (M1) to (R) phase upon heating. Finally, it was found that the thermochromic performance and the surface morphology of VO2 films are strongly affected by the substrate. In specific, TC was varied between 37.5 °C (fused silica glass) and 54.5 °C (K-glass), while the ΔTrsol ranged between 1.5% (Si) to 6% (K-glass).
Author Contributions
Conceptualization, E.G.; methodology, E.G., Y.O., G.M., E.A., E.V. and E.M.; validation, Y.O., G.M., E.A., E.V. and E.M.; investigation, E.G.; writing—original draft preparation, E.G.; writing—review and editing, E.G., E.A, E.V. and V.B.; supervision, G.K.; project administration, G.K. All authors have read and agreed to the published version of the manuscript.
Funding
This research received no external funding.
Institutional Review Board Statement
Not applicable.
Informed Consent Statement
Not applicable.
Data Availability Statement
The data presented in this study are available on request from the corresponding author. The data are not publicly available due to privacy.
Conflicts of Interest
The authors declare no conflict of interest.
References
- Kiria, P.; Hyett, G.; Binionsa, R. Solid State Thermochromic Materials. Adv. Mater. Lett. 2010, 1, 86–105. [Google Scholar] [CrossRef]
- Kanu, S.S.; Binions, R. Thin Films for Solar Control Applications. Proc. R. Soc. A Math. Phys. Eng. Sci. 2010, 466, 19–44. [Google Scholar] [CrossRef]
- Saeli, M.; Piccirillo, C.; Warwick, M.E.A.; Binions, R. Thermochromic Thin Films: Synthesis, Properties and Energy Consumption Modelling; 2013; pp. 736–746. Available online: https://www.semanticscholar.org/paper/Thermochromic-Thin-Films%3A-Synthesis%2C-Properties-and-Saeli-Piccirillo/6a5b7c7692ed824d1219b4e008c5032b2eba5aa2#extracted (accessed on 23 June 2023).
- Gao, Y.; Kang, L.; Chen, Z.; Luo, H. Solution Processing of Nanoceramic VO2 Thin Films for Application to Smart Windows. In Nanofabrication. 2011. Available online: https://cdn.intechopen.com/pdfs/25302/InTech-Solution_processing_of_nanoceramic_vo2_thin_films_for_application_to_smart_windows.pdf (accessed on 23 June 2023).
- Kamalisarvestani, M.; Saidur, R.; Mekhilef, S.; Javadi, F.S. Performance, Materials and Coating Technologies of Thermochromic Thin Fi Lms on Smart Windows. Renew. Sustain. Energy Rev. 2013, 26, 353–364. [Google Scholar] [CrossRef]
- Li, M.; Magdassi, S.; Gao, Y.; Long, Y. Hydrothermal Synthesis of VO2 Polymorphs: Advantages, Challenges and Prospects for the Application of Energy Efficient Smart Windows. Small 2017, 13, 1701147. [Google Scholar] [CrossRef]
- Gagaoudakis, E.; Aperathitis, E.; Binas, V.; Koudoumas, E.; Siderakis, K.; Kiriakidis, G. Study of Thermochromic VO2 Material as Thermal Switch for Power Lines. In Proceedings of the 2016 51st International Universities Power Engineering Conference, UPEC 2016, Coimbra, Portugal, 6–9 September 2016; Volume 2017, pp. 1–4. [Google Scholar]
- Dahal, K.; Zhang, Q.; Wang, Y.; Mishra, I.K.; Ren, Z. V-VO2 Core-Shell Structure for Potential Thermal Switching. RSC Adv. 2017, 7, 33775–33781. [Google Scholar] [CrossRef]
- Liang, J.; Li, W.; Liu, J.; Hu, M. Room Temperature CH4 Sensing Properties of Au Decorated VO2 Nanosheets. Mater. Lett. 2016, 184, 92–95. [Google Scholar] [CrossRef]
- Evans, G.P.; Powell, M.J.; Johnson, I.D.; Howard, D.P.; Bauer, D.; Darr, J.A.; Parkin, I.P. Room Temperature Vanadium Dioxide–Carbon Nanotube Gas Sensors Made via Continuous Hydrothermal Flow Synthesis. Sens. Actuators B Chem. 2018, 255, 1119–1129. [Google Scholar] [CrossRef]
- Coy, H.; Cabrera, R.; Sepúlveda, N.; Fernández, F.E. Optoelectronic and All-Optical Multiple Memory States in Vanadium Dioxide. J. Appl. Phys. 2010, 108, 113115. [Google Scholar] [CrossRef]
- Zouini, M.; Chaib, A.B.; Mdaa, A.; el Khattabi, E.M. Information Restitution in the Optical Memories Using a Thin Layer of the Vanadium Dioxide. J. Eng. Sci. Technol. Rev. 2018, 11, 26–34. [Google Scholar] [CrossRef]
- Morin, F.J. Oxides Which Show a Metal-to-Insulator Transition at the Neel Temperature. Phys. Rev. Lett. 1959, 3, 34–36. [Google Scholar] [CrossRef]
- Granqvist, C.G. Recent Progress in Thermochromics and Electrochromics: A Brief Survey. Thin Solid Film. 2016, 614, 90–96. [Google Scholar] [CrossRef]
- Kang, M.; Kim, S.W.; Ryu, J.W.; Noh, T. Optical Properties for the Mott Transition in VO2. AIP Adv. 2012, 2, 012168. [Google Scholar] [CrossRef]
- Zylbersztejn, A.; Mott, N.F. Metal-Insulator Transition in Vanadium Dioxide. Phys. Rev. B 1975, 11, 4383–4395. [Google Scholar] [CrossRef]
- Wentzcovitch, R.M.; Schulz, W.W.; Allen, P.B. VO2: Peierls or Mott-Hubbard? A View from Band Theory. Phys. Rev. Lett. 1994, 72, 3389–3392. [Google Scholar] [CrossRef]
- Mlyuka, N.R.; Niklasson, G.A.; Granqvist, C.G. Mg Doping of Thermochromic VO2 Films Enhances the Optical Transmittance and Decreases the Metal-Insulator Transition Temperature. Appl. Phys. Lett. 2009, 95, 171909. [Google Scholar] [CrossRef]
- Liang, Z.; Zhao, L.; Meng, W.; Zhong, C.; Wei, S.; Dong, B.; Xu, Z.; Wan, L.; Wang, S. Tungsten-Doped Vanadium Dioxide Thin Films as Smart Windows with Self-Cleaning and Energy-Saving Functions. J. Alloys Compd. 2017, 694, 124–131. [Google Scholar] [CrossRef]
- Li, D.; Li, M.; Pan, J.; Luo, Y.; Wu, H.; Zhang, Y.; Li, G. Hydrothermal Synthesis of Mo-Doped VO2/TiO2 Composite Nanocrystals with Enhanced Thermochromic Performance. ACS Appl. Mater. Interfaces 2014, 6, 6555–6561. [Google Scholar] [CrossRef]
- Chiu, T.; Tonooka, K.; Kikuchi, N. In Fl Uence of Oxygen Pressure on the Structural, Electrical and Optical Properties of VO2 Thin Fi Lms Deposited on ZnO/Glass Substrates by Pulsed Laser Deposition. Thin Solid Film. 2010, 518, 7441–7444. [Google Scholar] [CrossRef]
- Guo, Y.X.; Liu, Y.F.; Zou, C.W.; Qi, Z.M.; Wang, Y.Y.; Xu, Y.Q.; Wang, X.L.; Zhang, F.; Zhou, R. Oxygen Pressure Induced Structure, Morphology and Phase-Transition for VO2/c-Sapphire Films by PLD. Appl. Phys. A Mater. Sci. Process. 2014, 115, 1245–1250. [Google Scholar] [CrossRef]
- Koo, H.; Yoon, S.; Kwon, O.J.; Ko, K.E.; Shin, D.; Bae, S.H.; Chang, S.H.; Park, C. Effect of Lattice Misfit on the Transition Temperature of VO2 Thin Film. J. Mater. Sci. 2012, 47, 6397–6401. [Google Scholar] [CrossRef]
- Cui, Y.; Ramanathan, S. Substrate Effects on Metal-Insulator Transition Characteristics of Rf-Sputtered Epitaxial VO2 Thin Films. J. Vac. Sci. Technol. A Vac. Surf. Film. 2011, 29, 041502. [Google Scholar] [CrossRef]
- Outón, J.; Casas-Acuña, A.; Domínguez, M.; Blanco, E.; Delgado, J.J.; Ramírez-del-Solar, M. Novel Laser Texturing of W-Doped VO2 Thin Film for the Improvement of Luminous Transmittance in Smart Windows Application. Appl. Surf. Sci. 2023, 608, 155180. [Google Scholar] [CrossRef]
- Zhang, L.; Xia, F.; Yao, J.; Zhu, T.; Xia, H.; Yang, G.; Liu, B.; Gao, Y. Facile Synthesis, Formation Mechanism and Thermochromic Properties of W-Doped VO2(M) Nanoparticles for Smart Window Applications. J. Mater. Chem. C 2020, 8, 13396–13404. [Google Scholar] [CrossRef]
- Wrledt, H.A. The O-V (Oxygen-Vanadium) System. Bull. Alloy Phase Diagr. 1989, 10, 271–277. [Google Scholar] [CrossRef]
- Dai, J.; Wang, X.; He, S.; Huang, Y.; Yi, X. Low Temperature Fabrication of VOx Thin Films for Uncooled IR Detectors by Direct Current Reactive Magnetron Sputtering Method. Infrared Phys. Technol. 2008, 51, 287–291. [Google Scholar] [CrossRef]
- Miyazaki, H.; Yasui, I. Effect of Buffer Layer on VO x Film Fabrication by Reactive RF Sputtering. Appl. Surf. Sci. 2006, 252, 8367–8370. [Google Scholar] [CrossRef]
- Zhu, B.; Tao, H.; Zhao, X. Effect of Buffer Layer on Thermochromic Performances of VO2 Films Fabricated by Magnetron Sputtering. Infrared Phys. Technol. 2016, 75, 22–25. [Google Scholar] [CrossRef]
- Koo, H.; Xu, L.; Ko, K.; Ahn, S.; Chang, S.; Park, C. Effect of Oxide Buffer Layer on the Thermochromic Properties of VO2 Thin Films. J. Mater. Eng. Perform. 2013, 22, 3967–3973. [Google Scholar] [CrossRef]
- Panagopoulou, M.; Gagaoudakis, E.; Aperathitis, E.; Michail, I.; Kiriakidis, G.; Tsoukalas, D.; Raptis, Y.S. The Effect of Buffer Layer on the Thermochromic Properties of Undoped Radio Frequency Sputtered VO2 Thin Films. Thin Solid Film. 2015, 594, 310–315. [Google Scholar] [CrossRef]
- Li, S.Y.; Namura, K.; Suzuki, M.; Niklasson, G.A.; Granqvist, C.G. Thermochromic VO2 Nanorods Made by Sputter Deposition: Growth Conditions and Optical Modeling. J. Appl. Phys. 2013, 114, 033516. [Google Scholar] [CrossRef]
- Jin, P.; Yoshimura, K.; Tanemura, S.; Jin, P.; Yoshimura, K.; Tanemura, S. Dependence of Microstructure and Thermochromism on Substrate Temperature for Sputter-Deposited VO2 Epitaxial Films Dependence of Microstructure and Thermochromism on Substrate Temperature for Sputter-Deposited VO2 Epitaxial Films. J. Vac. Sci. Technol. A 1997, 15, 1113–1117. [Google Scholar] [CrossRef]
- Vernardou, D.; Louloudakis, D.; Spanakis, E.; Katsarakis, N.; Koudoumas, E. Thermochromic Amorphous VO2 Coatings Grown by APCVD Using a Single-Precursor. Sol. Energy Mater. Sol. Cells 2014, 128, 36–40. [Google Scholar] [CrossRef]
- Wu, J.; Huang, W.; Shi, Q.; Cai, J.; Zhao, D.; Zhang, Y.; Yan, J. Effect of Annealing Temperature on Thermochromic Properties of Vanadium Dioxide Thin Films Deposited by Organic Sol-Gel Method. Appl. Surf. Sci. 2013, 268, 556–560. [Google Scholar] [CrossRef]
- Alie, D.; Gedvilas, L.; Wang, Z.; Tenent, R.; Engtrakul, C.; Yan, Y.; Shaheen, S.E.; Dillon, A.C.; Ban, C. Direct Synthesis of Thermochromic VO2 through Hydrothermal Reaction. J. Solid State Chem. 2014, 212, 237–241. [Google Scholar] [CrossRef]
- Chiu, T.W.; Hong, R.T.; Tonooka, K.; Kikuchi, N. Microstructure of Orientation Controlled VO2 Thin Films via ZnO Buffer. Thin Solid Film. 2013, 529, 119–122. [Google Scholar] [CrossRef]
- Panagopoulou, M.; Gagaoudakis, E.; Boukos, N.; Aperathitis, E.; Kiriakidis, G.; Tsoukalas, D.; Raptis, Y.S. Thermochromic Performance of Mg-Doped VO2 Thin Films on Functional Substrates for Glazing Applications. Sol. Energy Mater. Sol. Cells 2016, 157, 1004–1010. [Google Scholar] [CrossRef]
- Zhang, D.; Yang, K.; Li, Y.; Liu, Y.; Zhu, M.; Zhong, A.; Cai, X.; Fan, P.; Lv, W. Employing TiO2 Buffer Layer to Improve VO2 Film Phase Transition Performance and Infrared Solar Energy Modulation Ability. J. Alloys Compd. 2016, 684, 719–725. [Google Scholar] [CrossRef]
- Bleu, Y.; Bourquard, F.; Poulet, A.; Misdanitis, K.; Jamon, D.; Loir, A.S.; Garrelie, F.; Donnet, C. Thermochromic Properties of BN/VO2/BN Trilayer Films with Low Phase Transition Temperature and High Hysteresis Width. Ceram. Int. 2022, 49, 13542–13547. [Google Scholar] [CrossRef]
- Kim, H.; Slusar, T.V.; Wulferding, D.; Yang, I.; Cho, J.-C.; Lee, M.; Choi, H.C.; Jeong, Y.H.; Kim, H.-T.; Kim, J. Direct Observation of the M2 Phase with Its Mott Transition in a VO2 Film. Appl. Phys. Lett. 2016, 109, 233104. [Google Scholar] [CrossRef]
- Gagaoudakis, E.; Aperathitis, E.; Michail, G.; Panagopoulou, M.; Katerinopoulou, D.; Binas, V.; Raptis, Y.S.; Kiriakidis, G. Low-Temperature Rf Sputtered VO2 Thin Films as Thermochromic Coatings for Smart Glazing Systems. Sol. Energy 2018, 165, 115–121. [Google Scholar] [CrossRef]
- Gagaoudakis, E.; Aperathitis, E.; Michail, G.; Kiriakidis, G.; Binas, V. Sputtered VO2 Coatings on Commercial Glass Substrates for Smart Glazing Applications. Sol. Energy Mater. Sol. Cells 2021, 220, 110845. [Google Scholar] [CrossRef]
- Gagaoudakis, E.; Michail, G.; Aperathitis, E.; Kortidis, I.; Binas, V.; Panagopoulou, M.; Raptis, Y.S.; Tsoukalas, D.; Kiriakidis, G. Low Temperature Rf-Sputtered Thermochromic VO2 Films on Flexible Glass Substrates. Adv. Mater. Lett. 2017, 8, 757–761. [Google Scholar] [CrossRef]
- Pankove, J. Optical Processes in Semiconductors; Dover Publications: New York, NY, USA, 1971. [Google Scholar]
- ASTM G173-03; Standard Tables of Reference Solar Spectral Irradiances: Direct Normal and Hemispherical on a 37° Tilted Surface. In Annual Book of ASTM Standards; American Society for Testing and Materials: Philadelphia, PA, USA, 2003.
- Wyszecki, G.; Stiles, W.S. Color Science: Concepts and Methods, Quantitative Data and Formulae, 2nd ed.; Wiley: New York, NY, USA, 2000; ISBN 978-0471399186. [Google Scholar]
- Gagaoudakis, E.; Kortidis, I.; Michail, G.; Tsagaraki, K.; Binas, V.; Kiriakidis, G.; Aperathitis, E. Study of Low Temperature Rf-Sputtered Mg-Doped Vanadium Dioxide Thermochromic Films Deposited on Low-Emissivity Substrates. Thin Solid Film. 2016, 601, 99–105. [Google Scholar] [CrossRef]
- Li, M.; Wu, J.; Kang, C.; Zong, H.; Hu, Q.; Liu, H.; Cao, G. Moderating Oxygen Deficiency Induced Better Thermochromic Properties of Monoclinic Vanadium Dioxide Thin Films. Appl. Phys. A Mater. Sci. Process. 2020, 126, 1–9. [Google Scholar] [CrossRef]
- Madiba, I.G.; Kotsedi, L.; Ngom, B.D.; Khanyile, B.S.; Maaza, M. Effect of Substrate Temperature on Thermochromic Vanadium Dioxide Thin Films Sputtered from Vanadium Target. AIP Conf. Proc. 2018, 1962, 040002. [Google Scholar] [CrossRef]
- De Natale, J.F.; Hood, P.J.; Harker, A.B. Formation and Characterization of Grain-Oriented VO2 Thin Films. J. Appl. Phys. 1989, 66, 5844–5850. [Google Scholar] [CrossRef]
- Atkin, J.M.; Berweger, S.; Chavez, E.K.; Raschke, M.B.; Cao, J.; Fan, W.; Wu, J. Strain and Temperature Dependence of the Insulating Phases of VO2 near the Metal-Insulator Transition. Phys. Rev. B 2012, 85, 020101. [Google Scholar] [CrossRef]
- Kim, B.J.; Lee, Y.W.; Choi, S.; Lim, J.W.; Yun, S.J.; Kim, H.T.; Shin, T.J.; Yun, H.S. Micrometer X-ray Diffraction Study of VO2 Films: Separation between Metal-Insulator Transition and Structural Phase Transition. Phys. Rev. BvCondens. Matter Mater. Phys. 2008, 77, 235401. [Google Scholar] [CrossRef]
- Hu, S.; Li, S.Y.; Ahuja, R.; Granqvist, C.G.; Hermansson, K.; Niklasson, G.A.; Scheicher, R.H. Optical Properties of Mg-Doped VO2: Absorption Measurements and Hybrid Functional Calculations. Appl. Phys. Lett. 2012, 101, 201902. [Google Scholar] [CrossRef]
- Li, S.Y.; Mlyuka, N.R.; Primetzhofer, D.; Hallén, A.; Possnert, G.; Niklasson, G.A.; Granqvist, C.G. Bandgap Widening in Thermochromic Mg-Doped VO2 Thin Films: Quantitative Data Based on Optical Absorption. Appl. Phys. Lett. 2013, 103, 161907. [Google Scholar] [CrossRef]
- Zhang, C.; Koughia, C.; Güneş, O.; Luo, J.; Hossain, N.; Li, Y.; Cui, X.; Wen, S.J.; Wong, R.; Yang, Q.; et al. Synthesis, Structure and Optical Properties of High-Quality VO2 Thin Films Grown on Silicon, Quartz and Sapphire Substrates by High Temperature Magnetron Sputtering: Properties through the Transition Temperature. J. Alloys Compd. 2020, 848, 156323. [Google Scholar] [CrossRef]
- Bleu, Y.; Bourquard, F.; Jamon, D.; Loir, A.S.; Garrelie, F.; Donnet, C. Tailoring Thermochromic and Optical Properties of VO2 Thin Films by Pulsed Laser Deposition Using Different Starting Routes. Opt. Mater. 2022, 133, 113004. [Google Scholar] [CrossRef]
- Brassard, D.; Fourmaux, S.; Kieffer, J.C.; El Khakani, M.A.; Brassard, D.; Fourmaux, S.; Kieffer, J.C.; Khakani, M.A. El Grain Size Effect on the Semiconductor-Metal Phase Transition Characteristics of Magnetron-Sputtered VO2 Thin Films. Appl. Phys. Lett. 2005, 87, 051910. [Google Scholar] [CrossRef]
- Zhang, H.; Wu, Z.; Wu, X.; Yang, W.; Jiang, Y. Transversal Grain Size Effect on the Phase-Transition Hysteresis Width of Vanadium Dioxide Films Comprising Spheroidal Nanoparticles. Vacuum 2014, 104, 47–50. [Google Scholar] [CrossRef]
- Jin, W.; Park, K.; Cho, J.Y.; Bae, S.H.; Siyar, M.; Jang, H.; Park, C. Thermochromic Properties of ZnO/VO2/ZnO Films on Soda Lime Silicate Glass Deposited by RF Magnetron Sputtering. Ceram. Int. 2022, 49, 10437–10444. [Google Scholar] [CrossRef]
- Chen, S.; Zhang, H. High Visible Transmittance of VO2 Film Prepared by DC Magnetron Sputtering with Situ Annealing. J. Opt. 2021, 50, 508–511. [Google Scholar] [CrossRef]
- Kovács, G.J.; Bürger, D.; Skorupa, I.; Reuther, H.; Heller, R.; Schmidt, H. Effect of the Substrate on the Insulator-Metal Transition of Vanadium Dioxide Films. J. Appl. Phys. 2011, 109, 063708. [Google Scholar] [CrossRef]
Disclaimer/Publisher’s Note: The statements, opinions and data contained in all publications are solely those of the individual author(s) and contributor(s) and not of MDPI and/or the editor(s). MDPI and/or the editor(s) disclaim responsibility for any injury to people or property resulting from any ideas, methods, instructions or products referred to in the content. |
© 2023 by the authors. Licensee MDPI, Basel, Switzerland. This article is an open access article distributed under the terms and conditions of the Creative Commons Attribution (CC BY) license (https://creativecommons.org/licenses/by/4.0/).






















