Influence of Pre-Radiation and Photo-Bleaching on the Yb-Doped Fiber Laser Radiated with Gamma-ray
Abstract
1. Introduction
2. Experiments
2.1. Laser Setup
2.2. Radiation and Photo-Bleaching Experiment
3. Results and Discussions of Pre-Radiation
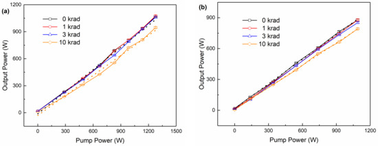
3.1. Output Power
3.2. Spectral Properties
4. Results and Discussions of Photo-Bleaching
4.1. Output Power
4.2. Spectral Properties
5. Conclusions
Author Contributions
Funding
Institutional Review Board Statement
Informed Consent Statement
Data Availability Statement
Conflicts of Interest
References
- Jauregui, C.; Limpert, J.; Tünnermann, A. High-power fibre lasers. Nat. Photonics 2013, 7, 861–867. [Google Scholar] [CrossRef]
- Zhou, P.; Wang, X.; Xiao, H.; Ma, Y.; Chen, J. Review on recent progress on Yb-doped fiber laser in a variety of oscillation spectral ranges. Laser Phys. 2012, 22, 823–831. [Google Scholar] [CrossRef]
- Hideur, A.; Chartier, T.; Özkul, C.; Sanchez, F. Dynamics and stabilization of a high power side-pumped Yb-doped double-clad fiber laser. Opt. Commun. 2000, 186, 311–317. [Google Scholar] [CrossRef]
- Hecht, J. A short history of laser development. Appl. Opt. 2010, 49, F99–F122. [Google Scholar] [CrossRef] [PubMed]
- Zheng, Y.; Zhu, Z.; Liu, X.; Yu, M.; Li, S.; Zhang, L.; Ni, Q.; Wang, J.; Wang, X. High-power, high-beam-quality spectral beam combination of six narrow-linewidth fiber amplifiers with two transmission diffraction gratings. Appl. Opt. 2019, 58, 8339–8343. [Google Scholar] [CrossRef] [PubMed]
- Zheng, Y.; He, M.; Liu, X.; Ma, Z.; Chen, J.; Yu, M.; Li, S.; Cao, Y.; Wang, J.; Wang, X. Experimental Study on High-Power Laser Beam Combining Using Dichroic Mirrors. Laser Optoelectron. Prog. 2023, 60, 1514002. [Google Scholar]
- Deschamps, T.; Ollier, N.; Vezin, H. Gonnet, Clusters dissolution of Yb3+ in codoped SiO2-Al2O3-P2O5 glass fiber and its relevance to photodarkening. J. Chem. Phys. 2012, 136, 014503. [Google Scholar] [CrossRef] [PubMed]
- Peng, K.; Wang, Y.; Ni, L.; Wang, Z.; Gao, C.; Zhan, H.; Wang, J.; Jing, F.; Lin, A. Yb-doped large-mode-area laser fiber fabricated by hal-ide-gas-phase-doping technique. Laser Phys. 2015, 25, 065801. [Google Scholar] [CrossRef]
- Richardson, D.J.; Nilsson, J.; Clarkson, W.A. High power fiber lasers: Current status and future perspectives. J. Opt. Soc. Am. B 2010, 27, B63–B92. [Google Scholar] [CrossRef]
- Zervas, M.N.; Codemard, C.A. High Power Fiber Lasers: A Review. IEEE J. Sel. Top. Quantum 2014, 20, 219–241. [Google Scholar] [CrossRef]
- Jeong, Y.; Sahu, J.K.; Payne, D.N.; Nilsson, J. Ytterbium-doped large-core fiber laser with 1.36 kW continuous-wave output power. Opt. Express 2004, 12, 6088–6092. [Google Scholar] [CrossRef] [PubMed]
- Fang, Q.; Shi, W.; Qin, Y.; Meng, X.; Zhang, Q. 2.5 kW monolithic continuous wave (CW) near diffraction-limited fiber laser at 1080 nm. Laser Phys. Lett. 2014, 11, 105102. [Google Scholar] [CrossRef]
- Shcherbakov, E.A.; Fomin, V.V.; Abramov, A.A.; Ferin, A.A.; Mochalov, D.V.; Gapontsev, V.P. Industrial grade 100 kW power CW fiber laser. In Advanced Solid-State Lasers; Optical Society of America: Washington, DC, USA, 2013; p. ATh4A.2. [Google Scholar]
- Zheng, Y.; Ni, Q.; Zhang, L.; Liu, X.; Wang, J.; Wang, X. Influence of Stimulated Raman Scattering on Propagation Properties of High-Power Laser. Chin. J. Lasers 2021, 48, 0701005. [Google Scholar] [CrossRef]
- Zheng, Y.; Liu, X.; He, M.; Zhang, L.; Yu, M.; Li, S.; Ma, Z.; Wang, J.; Wang, X. Investigation on the thermal blooming effect in a high power spectral beam combining fiber laser system. Appl. Opt. 2022, 61, 954–959. [Google Scholar] [CrossRef] [PubMed]
- Wan, Y.; Wen, J.; Jiang, C.; Tang, F.; Wen, J.; Huang, S.; Pang, F.; Wang, T. Over 255 mW single-frequency fiber laser with high slope efficiency and power stability based on an ultrashort Yb-doped crystal-derived silica fiber. Photonics Res. 2021, 9, 649–656. [Google Scholar] [CrossRef]
- Zhao, Z.; Jin, L.; Set, S.Y.; Yamashita, S. Broadband similariton generation in a mode-locked Yb-doped fiber laser. Opt. Lett. 2022, 47, 2238–2241. [Google Scholar] [CrossRef]
- Ye, Y.; Lin, X.; Yang, B.; Xi, X.; Shi, C.; Zhang, H.; Wang, X.; Li, J.; Xu, X. Tapered Yb-doped fiber enabled a 4 kW near-single-mode monolithic fiber amplifier. Opt. Lett. 2022, 47, 2162–2165. [Google Scholar] [CrossRef]
- Beetar, J.E.; Nrisimhamurty, M.; Truong, T.-C.; Liu, Y.; Chini, M. Thermal effects in molecular gas-filled hollow-core fibers. Opt. Lett. 2021, 46, 2437–2440. [Google Scholar] [CrossRef]
- Wang, W.; Wu, H.; Liu, C.; Sun, B.; Liang, H. Multigigawatt 50 fs Yb: CALGO regenerative amplifier system with 11 W average power and mid-infrared genera-tion. Photonics Res. 2021, 9, 1439–1445. [Google Scholar] [CrossRef]
- Girard, S.; Ouerdane, Y.; Tortech, B.; Marcandella, C.; Robin, T.; Cadier, B.; Baggio, J.; Paillet, P.; Ferlet-Cavrois, V.; Boukenter, A.; et al. Radiation Effects on Ytterbium- and Ytterbium/Erbium-Doped Double-Clad Optical Fibers. IEEE Trans. Nucl. Sci. 2009, 56, 3293–3299. [Google Scholar] [CrossRef]
- Shao, C.; Ren, J.; Wang, F.; Ollier, N.; Xie, F.; Zhang, X.; Zhang, L.; Yu, C.; Hu, L. Origin of radiation-induced darkening in Yb3+/Al3+/P5+-doped silica glasses: Effect of the P/Al ratio. J. Phys. Chem. 2018, B122, 2809–2820. [Google Scholar] [CrossRef] [PubMed]
- Duchez, J.-B.; Mady, F.; Mebrouk, Y.; Ollier, N.; Benabdesselam, M. Interplay between photo- and radiation-induced darkening in ytterbium-doped fibers. Opt. Lett. 2014, 39, 5969–5972. [Google Scholar] [CrossRef] [PubMed]
- Deschamps, T.; Vezin, H.; Gonnet, C.; Ollier, N. Evidence of AlOHC responsible for the radiation-induced darkening in Yb doped fiber. Opt. Express 2013, 21, 8382–8392. [Google Scholar] [CrossRef] [PubMed]
- Jetschke, S.; Unger, S.; Schwuchow, A.; Leich, M.; Jäger, M. Role of Ce in Yb/Al laser fibers: Prevention of photodarkening and thermal effects. Opt. Express 2016, 24, 13009–13022. [Google Scholar] [CrossRef]
- Berghmans, F.; Brichard, B.; Fernandez, A.F.; Gusarov, A.; Van Uffelen, M.; Girard, S. An Introduction to Radiation Effects on Optical Components and Fiber Optic Sensors. In Optical Waveguide Sensing and Imaging; Springer: Berlin/Heidelberg, Germany, 2008; pp. 127–165. [Google Scholar]
- Fox, B.P.; Schneider, Z.V.; Simmons-Potter, K.; Thomes, W.J.; Meister, D.C.; Bambha, R.P.; Kliner, D.A.V. Spectrally Resolved Transmission Loss in Gamma Irradiated Yb-Doped Optical Fibers. IEEE J. Quantum Electron. 2008, 44, 581–586. [Google Scholar] [CrossRef]
- Taylor, E.W.; Liu, J. Ytterbium-doped fiber laser behavior in a gamma-ray environment. In Photonics for Space Environments; SPIE: Bellingham WA, USA, 2005; p. 58970E. [Google Scholar] [CrossRef]
- Sheng, Y.; Yang, L.; Luan, H.; Liu, Z.; Yu, Y.; Li, J.; Dai, N. Improvement of radiation resistance by introducing CeO2 in Yb-doped silicate glasses. J. Nucl. Mater. 2012, 427, 58–61. [Google Scholar] [CrossRef]
- Griscom, D. Radiation hardening of pure-silica-core optical fibers by ultra-high-dose γ-ray pre-irradiation. J. Appl. Phys. 1995, 77, 5008–5013. [Google Scholar] [CrossRef]
- Yeniay, A.; Gao, R. Radiation induced loss properties and hardness enhancement technique for ErYb doped fibers for avionic applications. Opt. Fiber Technol. 2013, 19, 88–92. [Google Scholar] [CrossRef]
- Friebele, E.J.; Gingerich, M.E. Photobleaching effects in optical fiber waveguides. Appl. Opt. 1981, 20, 3448–3452. [Google Scholar] [CrossRef]
- Manek-Hönninger, I.; Boullet, J.; Cardinal, T.; Guillen, F.; Ermeneux, S.; Podgorski, M.; Doua, R.B.; Salin, F. Photodarkening and photobleaching of an ytterbium-doped silica double-clad LMA fiber. Opt. Express 2007, 15, 1606–1611. [Google Scholar] [CrossRef]
- Guzman Chavez, A.D.; Kir’Yanov, A.V.; Barmenkov, Y.O.; Il’Ichev, N.N. Reversible photo-darkening and resonant photobleaching of Ytterbium-doped silica fiber at in-core 977-nm and 543-nm irradiation. Laser Phys. Lett. 2007, 4, 734–739. [Google Scholar] [CrossRef]
- Smith, A.V.; Jesse, J.S. Mode instability in high power fiber amplifiers. Opt. Express 2011, 19, 10180–10192. [Google Scholar] [CrossRef] [PubMed]
- Tao, R.; Zhou, P.; Xiao, H. Progress of study on mode instability in high power fiber amplifiers. Laser Optoelectron. Prog. 2014, 51, 020001. [Google Scholar]
- Shi, C.; Tao, R.; Wang, X. New progress and phenomena of modal instability in fiber lasers. Chin. J. Lasers 2017, 44, 0201004. [Google Scholar]
- Cao, R.; Lin, X.; Chen, Y.; Cheng, Y.; Wang, Y.; Xing, Y.; Li, H.; Yang, L.; Chen, G.; Li, J. 532 nm pump induced photo-darkening inhibition and photo-bleaching in high power Yb-doped fiber amplifiers. Opt. Express 2019, 27, 26523–26531. [Google Scholar] [CrossRef]
- Brichard, B.; Fernandez, A.F.; Berghmans, F.; Decreton, M. Origin of the radiation-induced OH vibration band in polymer-coated optical fibers irradiated in a nuclear fission reactor. IEEE Trans. Nucl. Sci. 2002, 49, 2852–2856. [Google Scholar] [CrossRef]
- Liu, S.L.S.; Zheng, S.Z.S.; Yang, K.Y.K.; Chen, D.C.D. Radiation-induced change of OH content in Yb-doped silica glass. Chin. Opt. Lett. 2015, 13, 060602. [Google Scholar] [CrossRef]
- Sun, S.; Zhang, L.; Dai, J.; Gao, C.; Li, Y.; Liu, N.; He, H.; Shen, C.; Jiang, L.; Li, F.; et al. Comparative study of γ-radiation resistance between Yb/Ce/F and Yb/P doped aluminosilicate fibers. Optik 2021, 250, 168347. [Google Scholar] [CrossRef]
- Arai, T.; Ichii, K.; Tanigawa, S.; Fujimaki, M. Gamma-radiation-induced photodarkening in ytterbium-doped silica glasses. In Fiber Lasers VIII: Technology, Systems, and Applications; SPIE: Bellingham WA, USA, 2011; p. 79140K. [Google Scholar] [CrossRef]
- Liu, S.; Zhan, H.; Peng, K.; Li, Y.; Sun, S.; Jiang, J.; Ni, L.; Wang, X.; Yu, J.; Jiang, L.; et al. Multi-kW Yb-doped alumino-phosphosilicate fiber. Opt. Mater. Express 2018, 8, 2114–2124. [Google Scholar] [CrossRef]
- Li, Y.; Peng, K.; Zhan, H.; Liu, S.; Ni, L.; Wang, Y.; Yu, J.; Wang, X.; Wang, J.; Jing, F.; et al. Yb-doped aluminophosphosilicate ternary fiber with high efficiency and excellent laser stability. Opt. Fiber Technol. 2018, 41, 7–11. [Google Scholar] [CrossRef]










Disclaimer/Publisher’s Note: The statements, opinions and data contained in all publications are solely those of the individual author(s) and contributor(s) and not of MDPI and/or the editor(s). MDPI and/or the editor(s) disclaim responsibility for any injury to people or property resulting from any ideas, methods, instructions or products referred to in the content. |
© 2023 by the authors. Licensee MDPI, Basel, Switzerland. This article is an open access article distributed under the terms and conditions of the Creative Commons Attribution (CC BY) license (https://creativecommons.org/licenses/by/4.0/).
Share and Cite
Wang, X.; Sun, S.; Zheng, Y.; Yu, M.; Li, S.; Cao, Y.; Wang, J. Influence of Pre-Radiation and Photo-Bleaching on the Yb-Doped Fiber Laser Radiated with Gamma-ray. Appl. Sci. 2023, 13, 6146. https://doi.org/10.3390/app13106146
Wang X, Sun S, Zheng Y, Yu M, Li S, Cao Y, Wang J. Influence of Pre-Radiation and Photo-Bleaching on the Yb-Doped Fiber Laser Radiated with Gamma-ray. Applied Sciences. 2023; 13(10):6146. https://doi.org/10.3390/app13106146
Chicago/Turabian StyleWang, Xuefeng, Shihao Sun, Ye Zheng, Miao Yu, Siyuan Li, Yi Cao, and Junlong Wang. 2023. "Influence of Pre-Radiation and Photo-Bleaching on the Yb-Doped Fiber Laser Radiated with Gamma-ray" Applied Sciences 13, no. 10: 6146. https://doi.org/10.3390/app13106146
APA StyleWang, X., Sun, S., Zheng, Y., Yu, M., Li, S., Cao, Y., & Wang, J. (2023). Influence of Pre-Radiation and Photo-Bleaching on the Yb-Doped Fiber Laser Radiated with Gamma-ray. Applied Sciences, 13(10), 6146. https://doi.org/10.3390/app13106146
