A Study of the Deformation Law of the Surrounding Rock of a Laminated Roadway Based on FLAC3D Secondary Development
Abstract
1. Introduction
2. Ontological Modeling of Damage in Coal–Rock Combination
2.1. Writing and Loading of FLAC3D Numerical Simulations of Custom Constitutive Models
2.2. Numerical Simulation of Coal–Rock Combination with Different Surrounding Pressures
3. Influence of Lateral Pressure Coefficient on the Stress and Deformation Pattern of Laminated Roadways
3.1. Analog Parameter Selection
3.2. Roadway Surrounding Rock Stress Distribution Law
- (1)
- Under the Mohr–Coulomb constitutive model, when the lateral pressure coefficient is less than 1, the horizontal stress is concentrated at the coal–rock interface, and the peak point at the interface is 2.5~3 m away from the top corner of the roadway.
- (2)
- As the horizontal stress rises, i.e., the lateral pressure coefficient of the surrounding rock rises, the stress concentration area gradually shifts to the floor.
- (3)
- The custom model has a stress concentration area farther from the roadway and a larger pressure relief zone around the roadway than the Mohr–Coulomb constitutive model.
- (1)
- Under the two constitutive models, when the lateral pressure coefficient is less than 1, the horizontal stress is concentrated at the coal–rock interface, and as the initial horizontal stress increases, i.e., the lateral pressure coefficient of the surrounding rock increases, the stress concentration area gradually shifts to the floor;
- (2)
- The distance between the stress concentration area and the roadway of the custom constitutive model is greater than that of the Mohr–Coulomb constitutive model, and the stress value is slightly greater than that of the Mohr–Coulomb constitutive model.
- (1)
- Under the Mohr–Coulomb principal model, when the lateral pressure coefficient is small, the vertical stress concentration area is distributed near the roadway interface, and when the lateral pressure coefficient is 0.15, the peak vertical stress is 12.4 MPa, which is 2.5~3 m away from the top corner of the roadway;
- (2)
- When the lateral pressure coefficient is 3, the peak vertical stress is 13.7 MPa, and the peak concentration area is shifted to the floor of the roadway. At 2.8 m, the stress value above the top plate also increases gradually;
- (3)
- With the increase in the lateral pressure coefficient, the peak vertical stress does not increase much, while the vertical stress around the roadway gradually decreases and the stress reduction area gradually increases;
- (4)
- Under the custom constitutive model, the vertical stress distribution trend is the same as that of the Mohr–Coulomb constitutive model;
- (5)
- As the lateral pressure coefficient increases, the stress concentration area is gradually shifted from the roadway sidewall to the floor and top of the roadway, the vertical stress concentration area and peak value of the floor are slightly larger than that of the top plate and are gradually moved away from the roadway, and the stress relief area around the roadway is gradually increased.
- (1)
- Under the two constitutive models, the vertical stress is concentrated at the coal–rock interface when the lateral pressure coefficient is less than 1. As the initial vertical stress decreases, i.e., the lateral pressure coefficient of the surrounding rock increases, the stress concentration area shifts to the floor when the initial vertical stress is less than the horizontal stress;
- (2)
- The distance between the vertical stress concentration area and the roadway is greater in the custom model than in the Mohr–Coulomb model, and the stress value is slightly greater than in the Mohr–Coulomb model. For example, when the lateral pressure coefficients are 0.333 and 6.7, the maximum stress values of the customized constitutive model reach 43.4 MPa and 4.9 MPa, while the Mohr–Coulomb constitutive model is 39.6 MPa and 3.6 MPa.
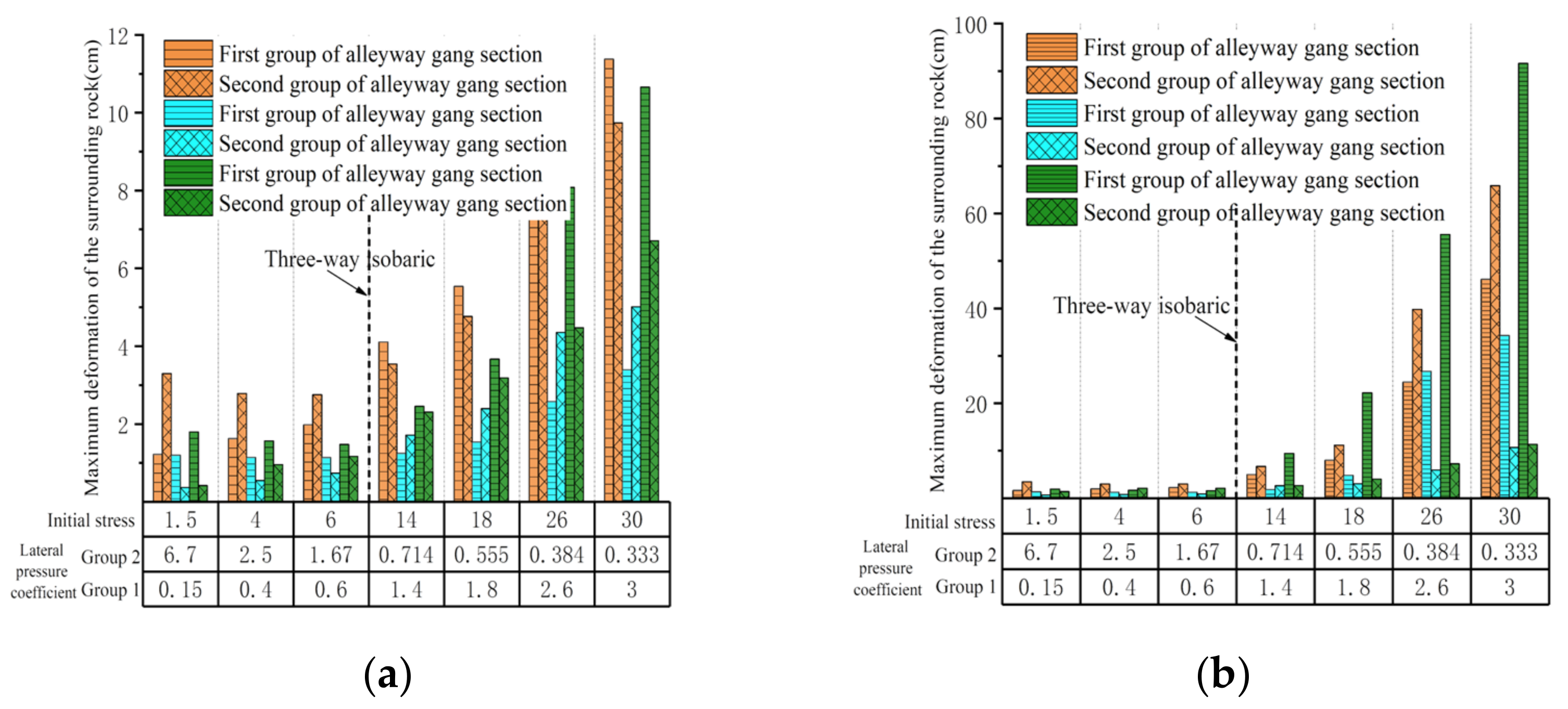
3.3. Deformation Law of Roadway Surrounding Rock
- (1)
- The maximum displacement of the tunnel surrounding rock increases exponentially with the increase in the lateral pressure coefficient;
- (2)
- The deformation of the surrounding rock in the roadway is small, when the lateral pressure coefficient is less than 1. As the lateral pressure coefficient increases, the increase in deformation and the difference of deformation between the two constitutive models is small;
- (3)
- When the lateral pressure coefficient is greater than 1, the growth rate of surrounding rock deformation accelerates, and the difference between the two constitutive models gradually increases;
- (4)
- When the lateral pressure coefficient is 3, the maximum displacements of the custom constitutive model sidewall, roof and floor are 46 cm, 34.17 cm and 91.56 cm, respectively, and the corresponding maximum displacements of the Mohr–Coulomb constitutive model are 11.37 cm, 3.38 cm and 10.65 cm, respectively, with the calculation results of the two constitutive models differing greatly;
- (5)
- When the lateral pressure coefficient is 3, the maximum displacements of the custom constitutive model sidewall, roof and floor are 22.1 times, 30.8 times and 63.1 times of the lateral pressure coefficient of 0.6, respectively, and the corresponding Mohr–Coulomb constitutive models are 5.8 times, 3.0 times and 7.3 times, respectively.
- (1)
- As the lateral pressure coefficient increases, the maximum displacement values of the surrounding rocks of the sidewall, roof and floor of the tunnel under the two ontogenetic models decrease exponentially. The deformation of the Mohr–Coulomb model is significantly smaller than that of the custom model, with 9.73 cm, 5.0 cm and 6.7 cm, respectively;
- (2)
- The trend of the maximum displacement of the surrounding rock with the lateral pressure coefficient conforms to the exponential form, fitted with the exponential function, R2 ranging between 0.957 and 0.998, which is a good fit. The specific fitting function statistics are shown in Table 6.
3.4. The Distribution Pattern of the Plastic Zone in the Roadway Surrounding Rock
- (1)
- The plastic zone of the surrounding rock tends to decrease and then increase as the lateral pressure coefficient increases. When the lateral pressure coefficient is less than 1, the plastic zone gradually decreases; when the lateral pressure coefficient is greater than 1, the plastic zone gradually increases and the expansion rate increases faster;
- (2)
- Under the Mohr–Coulomb model, when the lateral pressure coefficient is less than 0.4 or more than 2.2, the plastic zone of the roadway will show “butterfly” damage, and the plastic zone of the two top and two floor corners will be more developed, while the plastic zone of the floor corner is larger than that of the top corner;
- (3)
- Under the custom constitutive model, when the lateral pressure coefficient is less than 0.4, the roadway shows “butterfly” damage; when the lateral pressure coefficient is greater than 1.0, with the increase in the lateral pressure coefficient, the expansion of the plastic zone of the roadway surrounding rock is accelerated, and the plastic zone of the roadway appears similar to “butterfly” damage, with the plastic zone of the two top corners and the two floor corners developing more than the sidewall and middle-top of the roadway;
- (4)
- Under the same lateral pressure coefficient, the plastic zone of the surrounding rock in the Mohr–Coulomb model is smaller than that in the custom constitutive model, and the difference is more obvious when the lateral pressure coefficient is greater than 1. The maximum extension of the plastic zone of the Mohr–Coulomb model is 12 m, 4.2 m and 4.25 m for the sidewall, roof and floor, respectively, and the maximum extension of the plastic zone of the corresponding custom constitutive model is 16 m, 10 m and 11 m, respectively, which is much larger than that of the Mohr–Coulomb model.
- (1)
- When the lateral pressure coefficient is small, the roadway is a “butterfly– shaped” development, the top plate plastic zone is smaller than the floor and the roadway two “shoulder angle” plastic zone depth is greater than the depth of the two floor angles;
- (2)
- Under the same lateral pressure coefficient, the depth of the plastic zone of the custom constitutive model is greater than that of the Mohr–Coulomb model, and the morphology of the plastic zone is similar between the two.
3.5. Law of Progressive Instability of Interface-Bearing Surrounding Rocks in High-Stress Roadways
- (1)
- For the interface-containing roadway with a burial depth of H, when affected by the overpressure, the roadway may be under stress conditions with a peak pressure higher than the original rock stress. K is the stress concentration coefficient and is the capacitance. At this time, the lateral pressure coefficient of the roadway is less than 1, and the higher the degree of stress concentration, the smaller the lateral pressure coefficient;
- (2)
- When the horizontal stress of the surrounding rock is λ (λ >1) times the vertical stress, i.e., the lateral pressure coefficient of the roadway, for some, the burial depth is larger, but the horizontal stress of the surrounding rock is greater than the vertical stress of the roadway.
- (1)
- For stress, the initial stress values of the two groups are the same, the directions are different and the stress concentrations in the two groups are also different. When the lateral pressure coefficient is 3, the roadway generates stress concentrations at the top and floor of the roadway, with a peak value of 42.5 MPa in the Mohr–Coulomb presentational model and 41 MPa in the custom presentational model; when the lateral pressure coefficient is 0.333, the stress concentration is generated in both sides of the roadway, with a peak value of 39.6 MPa in the Mohr–Coulomb model and 43.4 MPa in the custom model.
- (2)
- For deformation, the analysis is based on the premise that the initial stress values of the two groups of models are equal, but the loading directions are different, i.e., the initial vertical stress of the second group is equal to the initial horizontal stress of the first group of models.
4. Conclusions
- (1)
- The three-dimensional difference form of the damage body constitutive model was derived, and the constitutive equation was developed twice in FLAC3D software. The simulation results of the custom constitutive model fit well with the experimental data and are better than those of the Mohr–Coulomb constitutive model.
- (2)
- With the change in the lateral pressure coefficient of the surrounding rock, the trend of deformation calculated by the Mohr–Coulomb model and custom constitutive model is basically the same, but the difference in the deformation amount is significant. The deformation of the Mohr–Coulomb constitutive model is significantly smaller than that of the custom constitutive model. The maximum displacement of surrounding rock follows an exponential trend with the variation in a lateral pressure coefficient.
- (3)
- When the difference between vertical pressure and horizontal pressure increases, the plastic zone of the tunnel develops in a “butterfly” shape, and the plastic zone range of the custom constitutive model is larger than that of the Mohr Coulomb model.
- (4)
- For roadways with high horizontal stress, the deformation of the roadway floor is generally greater than that of the sidewall and roof. Attention should be paid to the support of the floor. For roadways with high vertical pressure, support should be strengthened to prevent excessive deformation of the sidewall, reduce the sliding and dislocation between the sidewall and the rock layer, and prevent the roadway from being in a high-stress concentration environment. Reducing the K value can improve the deformation development trend of the tunnel.
Author Contributions
Funding
Institutional Review Board Statement
Informed Consent Statement
Data Availability Statement
Conflicts of Interest
References
- Xie, H.P.; Gao, F.; Ju, Y.; Gao, M.Z.; Zhang, R.; Gao, Y.A.; Liu, J.F.; Xie, L.Z. Quantitative definition and investigation of deep mining. J. China Coal Soc. 2014, 40, 1–10. [Google Scholar] [CrossRef]
- Xie, H.P.; Gao, F.; Ju, Y. Research and development of rock mechanics in deep ground engineering. Chin. J. Rock Mech. Eng. 2015, 34, 2161–2178. [Google Scholar] [CrossRef]
- Hou, C.J.; Wang, X.Y.; Bo, J.B.; Meng, N.K.; Wu, W.D. Basic theory and technology study of stability control for surrounding rock in deep roadway. J. China Univ. Min. Technol. 2021, 50, 1–12. [Google Scholar] [CrossRef]
- Kang, H.P. Seventy years development and prospects of strata control technologies for coal mine roadway in China. Chin. J. Rock Mech. Eng. 2021, 40, 1–30. [Google Scholar] [CrossRef]
- Kang, H.P.; Wang, G.F.; Jiang, P.F.; Wang, J.C.; Zhang, N.; Jing, H.W.; Huang, B.X.; Yang, G.; Guan, X.M.; Wang, Z.G. Conception for strata control and intelligent mining technology in deep coal mines with depth more than 1000 m. J. China Coal Soc. 2018, 43, 1789–1800. [Google Scholar] [CrossRef]
- Zhan, G.W.; Xia, Y.C.; Du, R.J. Application of Hoek-Brown Strength Criterion in Numerical Simulation of FLAC3D. J. Min. Saf. Eng. 2007, 24, 366–369. [Google Scholar]
- Ren, Y.L.; Yang, W.H.; Han, T. Study of the ultimate bearing capacity of a shaft lining based on different failure criteria. J. China Univ. Min. Technol. 2011, 40, 540–543. [Google Scholar]
- Hu, S.R.; Yu, M.H. Three-shear strength criterion and its application to the elastic-plastic analysis of roadway envelopes. J. China Coal Soc. 2003, 4, 389–393. [Google Scholar]
- Ding, X.; Xiao, X.C.; Pan, Y.S.; Lv, X.F.; Wu, D. Coal Constitutive Relation and Mechanical Analysis of Its Impact Tendency Index. Chin. J. Undergr. Space Eng. 2020, 16, 1371–1382. [Google Scholar]
- Peng, R.; Meng, X.R.; Zhao, G.M.; Li, Y.M.; Zuo, C. Surrounding rock unified solution near deep-buried roadway excavation work face considering incremental constitutive relationship. J. China Univ. Min. Technol. 2015, 44, 444–452. [Google Scholar] [CrossRef]
- Li, Q.W.; Gao, F.L.; Hu, L.L.; Yu, M.M.; Liu, Y.W.; Zeng, X.G.; Zhu, Q.Y.; Cao, X.; Huang, X. Constitutive relation of energy dissipation damage of heterogeneous coal samples under different loading rates. J. China Coal Soc. 2022, 47 (Suppl. 1), 90–102. [Google Scholar] [CrossRef]
- Wang, T. Research and Application of Deformation Mechanism of Surrounding Rock with Bedding Surface in High Stress Roadway. Ph.D. Thesis, China University of Mining and Technology, Beijing, China, 2021. [Google Scholar] [CrossRef]
- Hu, X.L.; Qu, S.J.; Li, K.Q. Study of rock elastoplastic constitutive damage model based on the unified strength theory. J. China Univ. Min. Technol. 2019, 48, 305–312. [Google Scholar] [CrossRef]
- Zhang, C.Q.; Zhou, H.; Feng, X.T. Numerical format of elastoplastic constitutive model based on the unified strength theory in FLAC3D. Rock Soil Mech. 2008, 29, 596–602. [Google Scholar] [CrossRef]
- Hu, X.L.; Li, K.Q.; Qu, S.J. Rock elastic-plastic constitutive model based on unified strength theory and its numerical implementation. Explos. Shock Waves 2019, 39, 130–138. [Google Scholar]
- Liu, Q.S.; Liu, K.D.; Zhu, J.B.; Lu, X. Study of mechanical properties of raw coal under high stress with triaxial compression. Chin. J. Rock Mech. Eng. 2014, 33, 24–34. [Google Scholar] [CrossRef]
- Zhang, X.P.; Wong, L.N.Y. Cracking Processes in Rock-Like Material Containing a Single Flaw under Uniaxial Compression: A Numerical Study Based on Parallel Bonded-Particle Model Approach. Rock Mech. Rock Eng. 2012, 45, 711–737. [Google Scholar] [CrossRef]
- Chen, Z.H.; Lin, Z.M.; Xie, H.H.; Wang, H.W. Damage study on brittle rock failure under complicated stress. J. China Coal Soc. 2004, 29, 31–35. [Google Scholar]
- Chen, Z.H.; Tan, G.H.; Yang, W.Z. Numerical simulation of damage and failure of rocks under different confining pressures. Chin. J. Rock Mech. Eng. 2001, 3, 576–580. [Google Scholar] [CrossRef]
- Song, W.D.; Ming, S.X.; Wang, X.; Du, J.H. Experimental study of rock compression-damage-failure process. Chin. J. Rock Mech. Eegieneering 2010, 29 (Suppl. 2), 4180–4187. [Google Scholar]
- Liu, Y.K.; Long, Z.X.; Deng, Q.; Jiang, M.J.; Qiu, X.J.; Wang, F.C.; Wang, H.T.; Niu, Y. Energy evolution law and failure characteristics during coal loading and damaging process. J. XI’AN Univ. Sci. Technol. 2023, 43, 65–72. [Google Scholar] [CrossRef]
- Zhou, B.; Xu, J.; Peng, S.J.; Zhao, P.X.; Qin, L.; Bai, Y.; Cheng, L. Evolution of mechanical state and failure tendency of loaded outburst coal. J. China Coal Soc. 2022, 47, 1260–1274. [Google Scholar] [CrossRef]
- Wen, J.; Tang, Z.; Dyson, A.P. The mechanical behavior of pre-existing transverse cracks in lignite under uniaxial compression. Geomech. Geophys. Geo-Energy Geo-Resour. 2021, 7, 6. [Google Scholar] [CrossRef]
- Zuo, J.P.; Chen, Y.; Zhang, J.W.; Wang, J.T.; Sun, Y.J.; Jiang, G.T. Failure behavior and strength characteristics of coal-rock combined body under different confining pressures. J. China Coal Soc. 2016, 41, 2706–2713. [Google Scholar] [CrossRef]
- Zuo, J.P.; Song, H.Q.; Chen, Y.; Li, Y.H. Post-peak progressive failure characteristics and nonlinear model of coal-rock combined body. J. China Coal Soc. 2018, 43, 3265–3272. [Google Scholar] [CrossRef]
- Zuo, J.P.; Xie, H.P.; Wu, A.M.; Liu, J.F. Investigation on failure mechanisms and mechanical behaviors of deep coal-rock single body and combined body. Chin. J. Rock Mech. Eng. 2011, 30, 84–92. [Google Scholar]
- Yang, K.; Liu, W.J.; Dou, L.T.; Chi, X.L.; Wei, Z.; Fu, Q. Experimental investigation into interface effect and progressive instability of coal-rock combined specimen. J. China Coal Soc. 2020, 45, 1691–1700. [Google Scholar] [CrossRef]
- Guo, X.F.; Guo, L.F.; Ma, N.J.; Zhao, Z.Q.; Li, C. Applicability analysis of the roadway butterfly failure theory. J. China Univ. Min. Technol. 2020, 49, 646–653+660. [Google Scholar] [CrossRef]
- Wang, W.J.; Guo, G.Y.; Zhu, Y.J.; Yu, W.J. Malignant development process of plastic zone and control technology of high stress and soft rock roadway. J. China Coal Soc. 2015, 40, 2747–2754. [Google Scholar] [CrossRef]
- Wang, W.J.; Yuan, C.; Yu, W.J.; Wu, H.; Peng, W.Q.; Peng, G.; Liu, X.S.; Dong, E.Y. Stability control method of surrounding rock in deep roadway with large deformation. J. China Coal Soc. 2016, 41, 2921–2931. [Google Scholar] [CrossRef]
- Yuan, Y.; Wang, W.J.; Yuan, C.; Yu, W.J.; Wu, H.; Peng, W.Q. Large deformation failure mechanism of surrounding rock for gate roadway under dynamic pressure in deep coal mine. J. China Coal Soc. 2016, 41, 2940–2950. [Google Scholar] [CrossRef]
- Li, G.C.; Yang, S.; Sun, Y.T.; Xu, J.H.; Li, J.H. Research progress of roadway surrounding strata rock control technologies under complex conditions. Coal Sci. Technol. 2022, 50, 29–45. [Google Scholar] [CrossRef]
- Pei, M.S.; Lu, Y.; Guo, W.B.; Wang, F.L.; Zhao, Z.Q. The research on stability and supporting technology of rock in gob-side entry in thick seam with parting. J. Min. Saf. Eng. 2014, 31, 950–956. [Google Scholar] [CrossRef]
- Dai, B.B.; Li, H.B.; Zhang, S.J.; Zhao, X.D. Numerical Simulation on Stability of Surrounding Rock in Deep Hard Rook Tunnel Induced by Mining. Met. Min. 2021, 2020, 70–75. [Google Scholar] [CrossRef]
- Tian, C.L.; Sun, H.T.; Dai, L.C.; Li, R.F.; Wang, B.; Cao, J.; Wang, J.; Hu, Q.T. Experimental Study on Mechanical Properties and Energy Evolution Law of Coal-Rock Composite Structure under Different Interface Connection Modes. Geofluids 2022, 2022, 1288463. [Google Scholar] [CrossRef]
- Wang, H.; Liu, L.; Zhao, X.; Huang, M.; Wu, Z.; Zhang, Q. Pre-perception and accurate recognition of coal–rock interface based on active excitation infrared characterization. J. Comput. Des. Eng. 2022, 9, 2040–2054. [Google Scholar] [CrossRef]
- Chen, Y.; Zuo, J.; Liu, D.; Li, Y.; Wang, Z. Experimental and numerical study of coal-rock bimaterial composite bodies under triaxial compression. Int. J. Coal Sci. Technol. 2021, 8, 17. [Google Scholar] [CrossRef]
- Wang, T.; Ma, Z. Research on strain softening constitutive model of coal-rock combined body with damage threshold. Int. J. Damage Mech. 2022, 1, 22–42. [Google Scholar] [CrossRef]
- Dubinya, N.V.; Galybin, A.N. On Stress Distribution in Layered Rock Masses. Izv. -Phys. Solid Earth 2018, 54, 904–913. [Google Scholar] [CrossRef]
- Liu, H.T.; Guo, L.F.; Zhao, X.D. Expansionary Evolution Characteristics of Plastic Zone in Rock and Coal Mass Ahead of Excavation Face and the Mechanism of Coal and Gas Outburst. Energies 2020, 13, 984. [Google Scholar] [CrossRef]


















| Surrounding Rock Pressure σ | δ | Micro-Element Intensity Weibull Distribution Parameters F0 | Micro-Element Intensity Weibull Distribution Parameters m | Goodness of Fit R2 |
|---|---|---|---|---|
| 5 MPa | 0.33 | 14.7538 | 3.2466 | 0.944 |
| 0.5 | 13.5508 | 5.9780 | 0.906 | |
| 0.67 | 14.7134 | 3.9261 | 0.946 | |
| 0.75 | 12.7565 | 4.9362 | 0.961 | |
| 10 MPa | 0.33 | 21.9997 | 5.8555 | 0.901 |
| 0.5 | 25.6579 | 3.8349 | 0.893 | |
| 0.67 | 27.1918 | 4.5514 | 0.875 | |
| 0.75 | 20.4382 | 3.8718 | 0.853 |
| Combined Rock Mass | E/GPa | v | /° | c/MPa |
|---|---|---|---|---|
| Coal | 1.22 | 0.33 | 8 | 1.43 |
| Rock (sandstone) | 6.88 | 0.28 | 35 | 2.52 |
| Lateral pressure coefficient | 0.1 | 0.15 | 0.2 | 0.4 | 0.6 | 1 | 1.4 | 1.8 | 2.2 | 2.6 | 2.8 |
| Horizontal force change/MPa | 1 | 1.5 | 2 | 4 | 6 | 10 | 14 | 18 | 22 | 26 | 28 |
| Constant vertical force/MPa | 10 | ||||||||||
| Lateral pressure coefficient | 0.333 | 0.384 | 0.555 | 0.714 | 1 | 1.67 | 2.5 | 6.7 |
| Constant horizontal stress/MPa | 10 | |||||||
| Vertical stress change/MPa | 30 | 26 | 18 | 14 | 10 | 6 | 4 | 1.5 |
| Principal Structure Model | Location of Roadway Enclosure | Fitting Function | R2 |
|---|---|---|---|
| Mohr–Coulomb | sidewall | y = −2.483 + 3.42 × ex/2.137 | 0.999 |
| Roof | y = 1.05 + 0.049 × ex/0.771 | 0.991 | |
| Floor | y = 0.983 + 0.396 × ex/0.927 | 0.989 | |
| Customization | sidewall | y = 0.957 + 0.441 × ex/0.65 | 0.999 |
| Roof | y = −1.2 + 1.11 × ex/0.85 | 0.973 | |
| Floor | y = −2.295 + 2.387 × ex/0.816 | 0.997 |
| Principal Structure Model | Location of Roadway Enclosure | Fitting Function | R2 |
|---|---|---|---|
| Mohr–Coulomb | Sidewall | y = 2.94 + 53.27 × e–x/0.16 | 0.994 |
| Roof | y = 0.52 + 15.48 × e–x/0.27 | 0.957 | |
| Floor | y = 0.856 + 19.75 × e–x/0.254 | 0.96 | |
| Customization | Sidewall | y = 3.61 + 1711 × e–x/0.1 | 0.998 |
| Roof | y = 1.03 + 155.97 × e–x/0.117 | 0.995 | |
| Floor | y = 1.86 + 133.29 × e–x/0.123 | 0.983 |
Disclaimer/Publisher’s Note: The statements, opinions and data contained in all publications are solely those of the individual author(s) and contributor(s) and not of MDPI and/or the editor(s). MDPI and/or the editor(s) disclaim responsibility for any injury to people or property resulting from any ideas, methods, instructions or products referred to in the content. |
© 2023 by the authors. Licensee MDPI, Basel, Switzerland. This article is an open access article distributed under the terms and conditions of the Creative Commons Attribution (CC BY) license (https://creativecommons.org/licenses/by/4.0/).
Share and Cite
Wang, T.; Chang, J.; Wang, H. A Study of the Deformation Law of the Surrounding Rock of a Laminated Roadway Based on FLAC3D Secondary Development. Appl. Sci. 2023, 13, 6077. https://doi.org/10.3390/app13106077
Wang T, Chang J, Wang H. A Study of the Deformation Law of the Surrounding Rock of a Laminated Roadway Based on FLAC3D Secondary Development. Applied Sciences. 2023; 13(10):6077. https://doi.org/10.3390/app13106077
Chicago/Turabian StyleWang, Tuo, Jucai Chang, and Hongda Wang. 2023. "A Study of the Deformation Law of the Surrounding Rock of a Laminated Roadway Based on FLAC3D Secondary Development" Applied Sciences 13, no. 10: 6077. https://doi.org/10.3390/app13106077
APA StyleWang, T., Chang, J., & Wang, H. (2023). A Study of the Deformation Law of the Surrounding Rock of a Laminated Roadway Based on FLAC3D Secondary Development. Applied Sciences, 13(10), 6077. https://doi.org/10.3390/app13106077

