Non-Linear Regression Model for Estimating the Efficiency of Heavy Metals Removal by Soil Washing with Chitosan Solution
Abstract
1. Introduction
2. Materials and Methods
2.1. Soil Washing Experiments Using Chitosan
2.2. Data Set and Non-Linear Mathematical Model
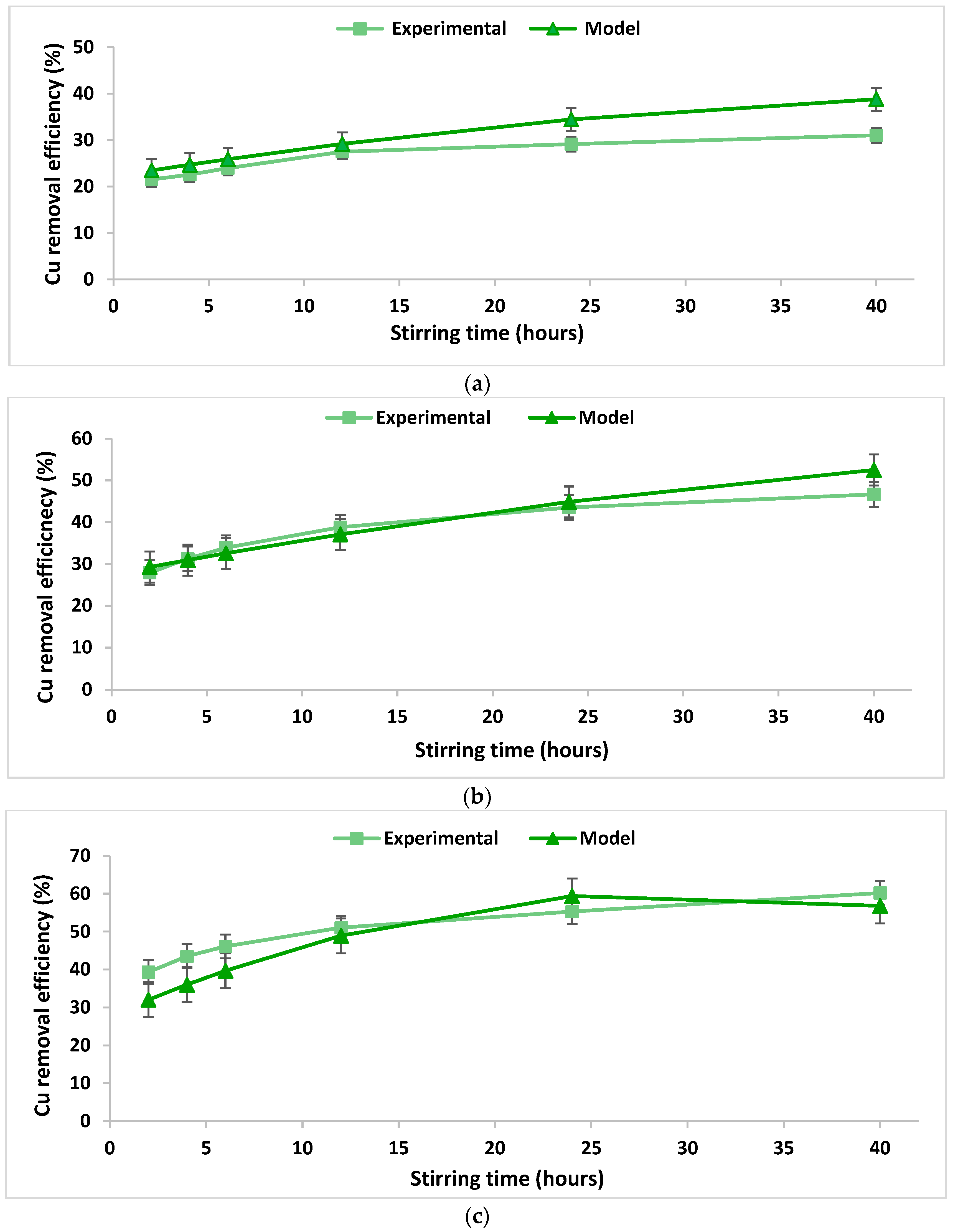
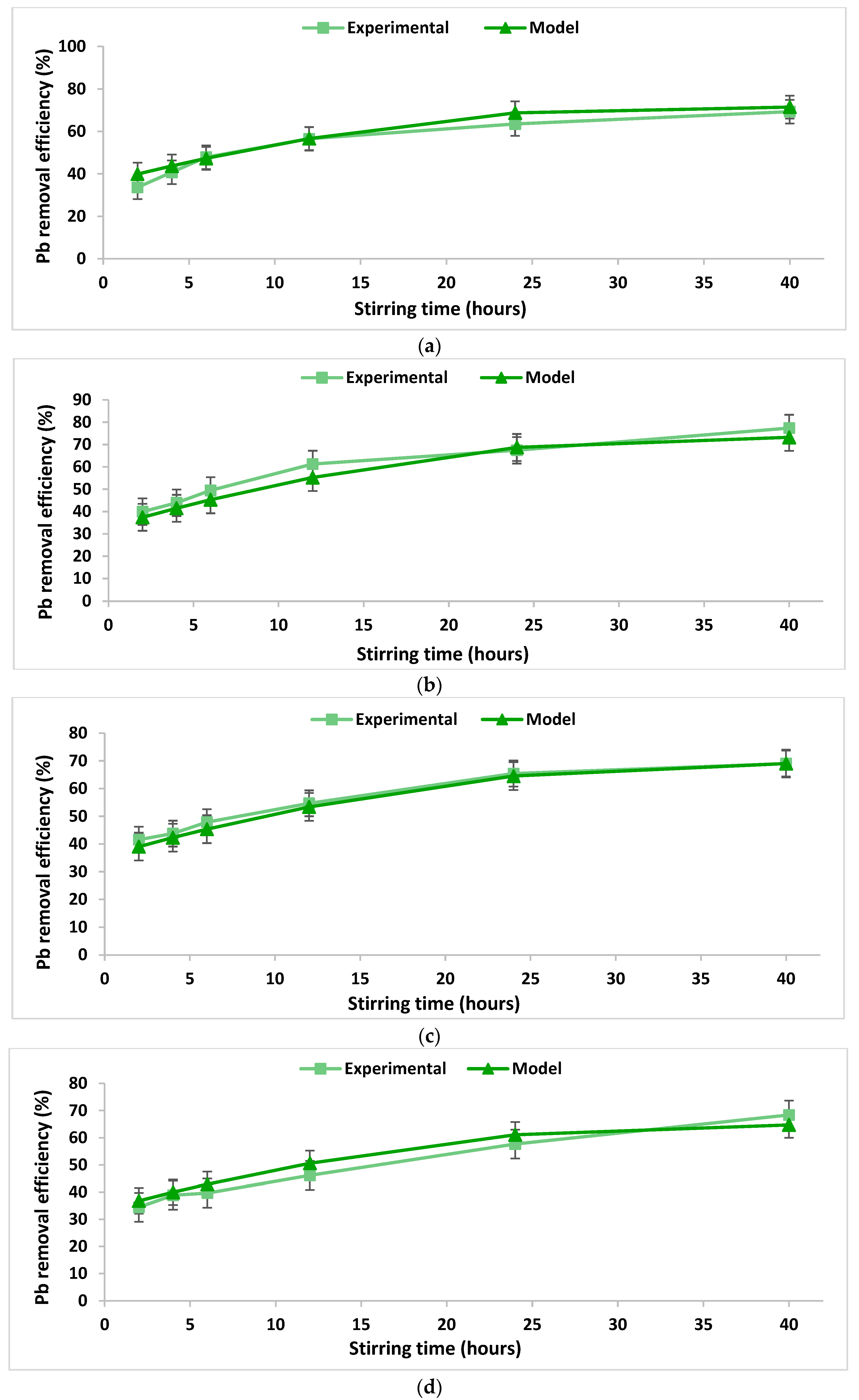
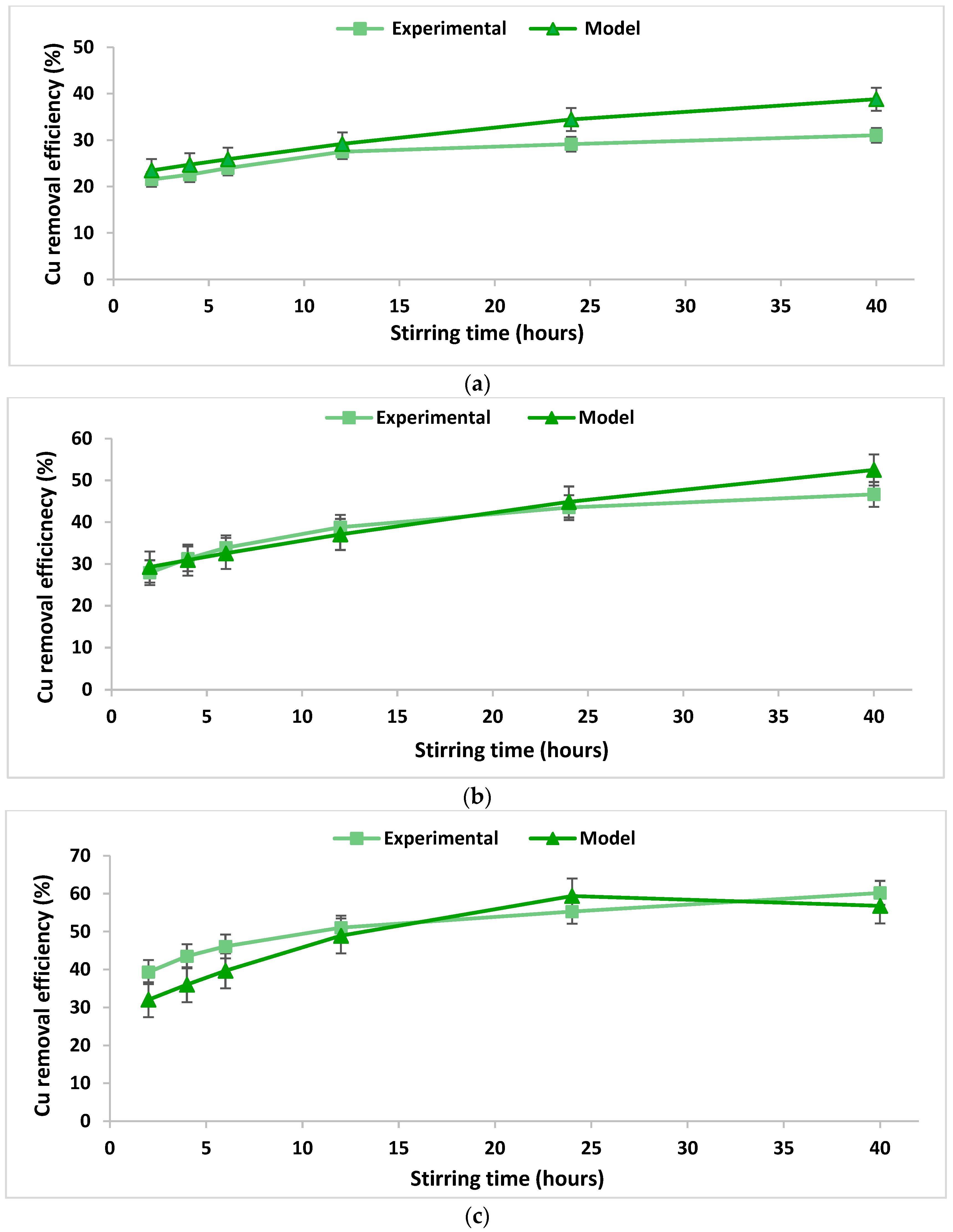
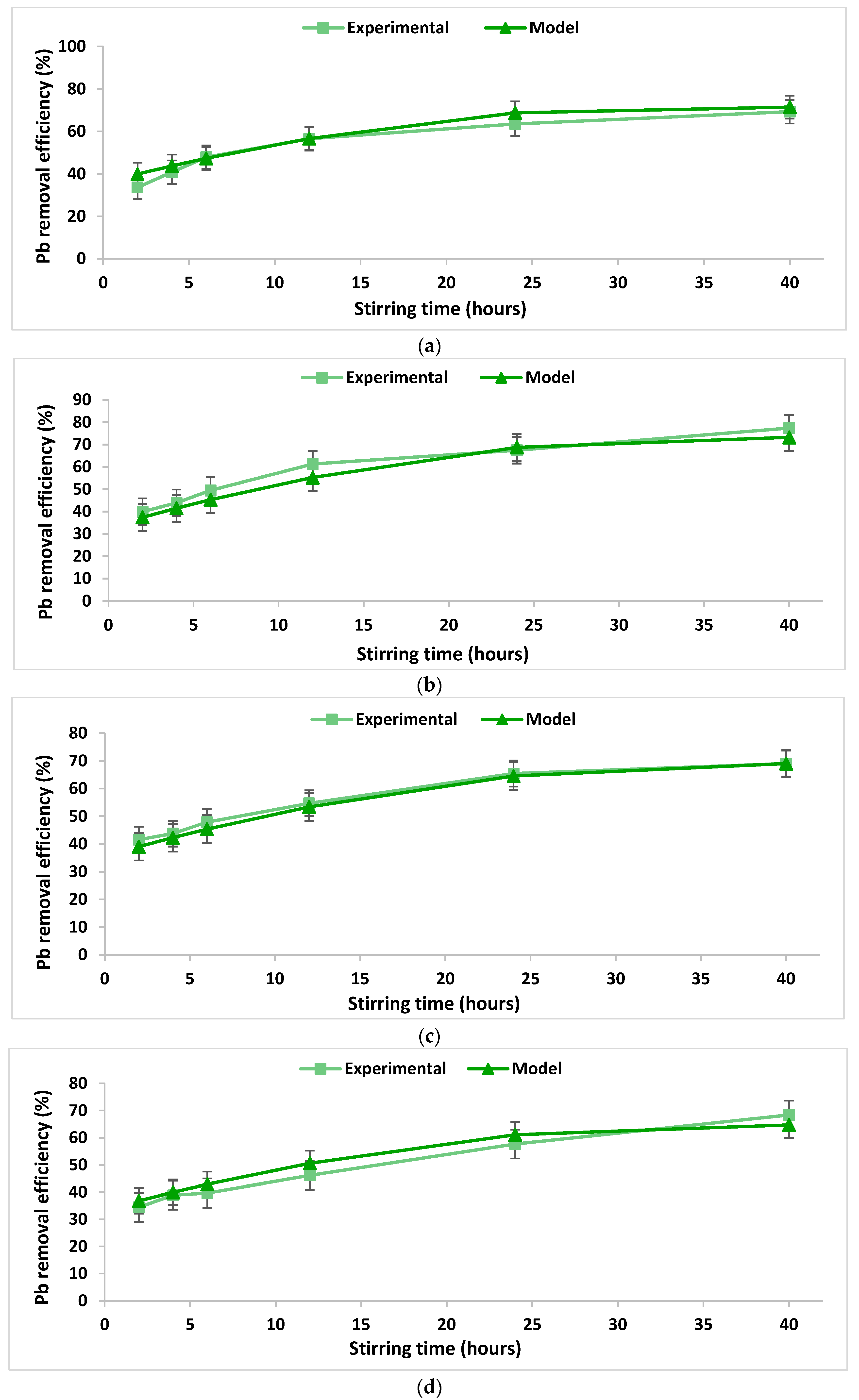
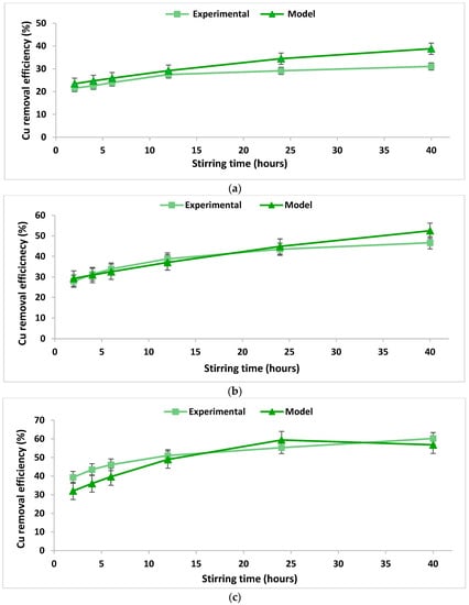
3. Results and Discussions
4. Conclusions
Author Contributions
Funding
Institutional Review Board Statement
Informed Consent Statement
Data Availability Statement
Conflicts of Interest
References
- Strawn, D.G. Sorption Mechanisms of Chemicals in Soils. Soil Syst. 2021, 5, 13. [Google Scholar] [CrossRef]
- Mohanty, B.; Mahindrakar, A.B. Removal of heavy metal by screening followed by soil washing from contaminated soil. Int. J. Technol. Eng. Syst. 2011, 2, 290–293. [Google Scholar]
- Bahemmat, M.; Farahbakhsh, M.; Kianirad, M. Humic substances-enhanced electroremediation of heavy metals contaminated soil. J. Hazard. Mater. 2016, 312, 307–318. [Google Scholar] [CrossRef] [PubMed]
- Moutsatsou, A.; Gregou, M.; Matsas, D.; Protonotarios, V. Washing as a remediation technology applicable in soils heavily polluted by mining metallurgical activities. Chemosphere 2006, 63, 1632–1640. [Google Scholar] [CrossRef] [PubMed]
- Nartowska, E.; Kozłowski, T.; Gawdzik, J. Assessment of the influence of copper and zinc on the microstructural parameters and hydraulic conductivity of bentonites on the basis of SEM tests. Heliyon 2019, 5, e02142. [Google Scholar] [CrossRef] [PubMed]
- Wu, S.; Li, R.; Peng, S.; Liu, Q.; Zhu, X. Effect of humic acid on transformation of soil heavy metals. In IOP Conference Series: Materials Science and Engineering; IOP Publishing: Bristol, UK, 2017. [Google Scholar] [CrossRef]
- Ashraf, R.; Ali, T.A. Effect of heavy metals on soil microbial community and mung beans seed germination. Pak. J. Bot. 2007, 39, 629–636. [Google Scholar]
- Bhattacharyya, P.; Chakrabarti, K.; Chakraborty, A.; Tripathy, S.; Powell, M.A. Fractionation and bioavailability of Pb in municipal solid waste compost and Pb uptake by rice straw and grain under submerged condition in amended soil. Geosci. J. 2008, 12, 41–45. [Google Scholar] [CrossRef]
- Angelaki, A.; Dionysidis, A.; Sihag, P.; Golia, E.E. Assessment of Contamination Management Caused by Copper and Zinc Cations Leaching and Their Impact on the Hydraulic Properties of a Sandy and a Loamy Clay Soil. Land 2022, 11, 290. [Google Scholar] [CrossRef]
- Plugaru, S.R.C.; Rusu, T.; Molnar, K.; Fodorpataki, L. Chromium removal from Polluted Water and its influence on biochemical and physiological parameters in algal cells used for phytoremediation. Stud. UBB Chem. 2017, 3, 225–238. [Google Scholar] [CrossRef]
- Boechat, C.L.; Pistoia, V.C.; Ludtke, A.C.; Gianello, C.; Camargo, F.A.O. Solubility of Heavy Metals/Metalloid on Multi-Metal Contaminated Soil Samples from a Gold Ore Processing Area: Effects of Humic Substances. Rev. Bras. Cienc. Solo 2016, 40, 15. [Google Scholar] [CrossRef]
- Karachaliou, T.; Protonotarios, V.; Kaliampakos, D.; Ariamenegaki, M. Using Risk Assessment and Management Approaches to Develop Cost-Effective and Sustainable Mine Waste Management Strategies. Recycling 2016, 1, 328–342. [Google Scholar] [CrossRef]
- Shi, J.; Pang, J.; Liu, Q.; Luo, Y.; Ye, J.; Xu, Q.; Long, B.; Ye, B.; Yuan, X. Simultaneous removal of multiple heavy metals from soil by washing with citric acid and ferric chloride. RSC Adv. 2020, 10, 7432–7442. [Google Scholar] [CrossRef] [PubMed]
- Zheng, X.-J.; Li, Q.; Peng, H.; Zhang, J.-X.; Chen, W.-J.; Zhou, B.-C.; Chen, M. Remediation of Heavy Metal-Contaminated Soils with SoilWashing: A Review. Sustainability 2022, 14, 13058. [Google Scholar] [CrossRef]
- Navarro, M.C.; Pérez-Sirvent, C.; Martínez-Sánchez, M.J.; Vidal, J.; Tovar, P.J.; Bech, J. Abandoned mine sites as a source of contamination by heavy metals: A case study in a semi-arid zone. J. Geochem. Explor. 2008, 96, 183–193. [Google Scholar] [CrossRef]
- Scanferla, P.; Marcomini, A.; Pellay, R.; Girotto, P.; Zavan, D.; Fabris, M.; Collina, A. Remediation of a Heavy Metals Contaminated Site with a Botanical Garden: Monitoring Results of the Application of an Advanced S/S Technique. Chem. Eng. Trans. 2012, 28, 235–240. [Google Scholar]
- Sun, L.; Wu, Q.; Liao, K.; Yu, P.; Cui, Q.; Rui, Q.; Wang, D. Contribution of heavy metals to toxicity of coal combustion related fine particulate matter (PM2.5) in Caenorhabditis elegans with wild-type or susceptible genetic background. Chemosphere 2016, 144, 2392–2400. [Google Scholar] [CrossRef] [PubMed]
- Sinha, S.; Mishra, R.K.; Sinam, G.; Mallick, S.; Gupta, A.K. Comparative Evaluation of Metal Phytoremediation Potential of Trees, Grasses, and Flowering Plants from Tannery-Wastewater-Contaminated Soil in Relation with Physicochemical Properties. Soil Sediment Contam. Int. J. 2013, 22, 958–983. [Google Scholar] [CrossRef]
- Golia, E.E.; Angelaki, A.; Giannoulis, K.D.; Skoufogianni, E.; Bartzialis, D.; Cavalaris, C.; Vleiora, S. Evaluation of soil properties, irrigation and solid waste application levels on Cu and Zn uptake by industrial hemp. Agron. Res. 2021, 19, 92–99. [Google Scholar] [CrossRef]
- Soleimani, M.; Hajabbasi, M.A.; Afyuni, M.; Akbar, S. Comparison of Natural Humic Substances and Synthetic Ethylenediaminetetraacetic Acid and Nitrilotriacetic Acid as Washing Agents of a Heavy Metal–Polluted Soil. J. Environ. Qual. 2010, 39, 855–862. [Google Scholar] [CrossRef]
- Lestan, D.; Luo, C.; Li, X. The use of chelating agents in the remediation of metal-contaminated soils: A review. Environ. Pollut. 2008, 153, 3–13. [Google Scholar] [CrossRef]
- Gusiatin, Z.M. Novel and Eco-Friendly Washing Agents to Remove Heavy Metals from Soil by Soil Washing. Environ. Anal. Ecol. Stud. 2018, 2, 1–4. [Google Scholar] [CrossRef]
- Kim, M.-S.; Koo, N.; Kim, J.-G.; Lee, S.-H. Effects of Washing Solution, Washing Time, and Solid-Solution Rate on the Maximum Heavy Metals Removal Efficiency. Appl. Sci. 2021, 11, 6398. [Google Scholar] [CrossRef]
- Meng, F.; Yuan, G.; Wei, J.; Bi, D.; Ok, Y.S.; Wang, H. Humic substances as a washing agent for Cd-contaminated soils. Chemosphere 2017, 181, 461–467. [Google Scholar] [CrossRef] [PubMed]
- Yang, T.; Hodson, M.E. Investigating the use of synthetic humic-like acid as a soil washing treatment for metal contaminated soil. Sci. Total Environ. 2019, 647, 290–300. [Google Scholar] [CrossRef] [PubMed]
- Gusiatin, Z.M.; Kulikowsk, D.; Klik, B. New-GenerationWashing Agents in Remediation of Metal-Polluted Soils and Methods for Washing efuent Treatment: A Review. Int. J. Environ. Res. Public Health 2020, 17, 6220. [Google Scholar] [CrossRef]
- Khalid, A.A.; Berhan, A.; Graham, B. Soil Washing Technology for Removing Heavy Metals from a Contaminated Soil: A Case Study. Pol. J. Environ. Stud. 2020, 29, 1029–1036. [Google Scholar] [CrossRef]
- Sumalatha, J.; Naveen, B.P.; Malik, R.K. Efficiency of Washing Techniques for Removal of Heavy Metals from Industrial Sludge. Pollution 2019, 5, 189–198. [Google Scholar] [CrossRef]
- Arafat, A.; Sabrin, A.S.; Shah, M.M.; Mohammad, M. Preparation and Characterization of Chitosan from Shrimp shell waste. Int. J. Sci. Eng. Res. 2015, 6, 538–541. [Google Scholar]
- Kamari, A.; Pulford, I.D.; Hargreaves, J.S.J. Chitosan-assisted Phytoextraction of Heavy Metal from Lead/Zinc Tailings Using Lolium Perenne—A Preliminary Study. In Proceedings of the 15th International Conference on Heavy Metals in the Environment, Gdańsk, Poland, 19–23 September 2010. [Google Scholar]
- Qasem, N.A.A.; Mohammed, R.H.; Lawal, D.U. Removal of heavy metal ions from wastewater: A comprehensive and critical review. Clean Water 2021, 4, 36. [Google Scholar] [CrossRef]
- Lu, C.; Xu, Z.; Dong, B.; Zhang, Y.; Wang, M.; Zeng, Y.; Zhang, C. Machine learning for the prediction of heavy metal removal by chitosan-based flocculants. Carbohydr. Polym. 2022, 285, 119240. [Google Scholar] [CrossRef]
- Hou, T.; Du, H.; Yang, Z.; Tian, Z.; Shen, S.; Shi, Y.; Zhang, L. Flocculation of different types of combined contaminants of antibiotics and heavy metals by thermo-responsive flocculants with various architectures. Sep. Purif. Technol. 2019, 223, 123–132. [Google Scholar] [CrossRef]
- Agarwal, R.M.; Singh, K. Heavy metal removal from wastewater using various adsorbents: A review. J. Water Reuse Desalin. 2017, 7, 387–419. [Google Scholar]
- Herath, B.G.; Crisler, A.; Bridges, G.; Patel, D.; Pittman, S.; Todd, C.M. Cadmium and Copper Removal From Aqueous Solutions Using Chitosan-Coated Gasifier Biochar. Front. Environ. Sci. 2020, 8, 541203. [Google Scholar] [CrossRef]
- Wan, M.W.; Petrisor, I.G.; Lai, H.T.; Kim, D.; Yen, T.F. Copper adsorption through chitosan immobilized on sand to demonstrate the feasibility for in situ soil decontamination. Carbohydr. Polym. 2004, 55, 249–254. [Google Scholar] [CrossRef]
- Hydari, S.; Sharififard, H.; Nabavinia, M.; Reza Parvizi, M. A comparative investigation on removal performances of commercial activated carbon, chitosan biosorbent and chitosan/activated carbon composite for cadmium. Chem. Eng. J. 2012, 193, 276–282. [Google Scholar] [CrossRef]
- Jiang, W.; Tao, T.; Liao, Z. Removal of heavy metal from contaminated soil with chelating agents. Open J. Soil Sci. 2011, 1, 70–76. [Google Scholar] [CrossRef]
- Abumaizar, R.; Khan, L.I. Laboratory Investigation of Heavy Metal Removal by Soil Washing. J. Air Waste Manag. Assoc. 2012, 46, 765–768. [Google Scholar] [CrossRef]
- Chayalakshmi, C.L.; Jangamshetti, D.S.; Sonoli, S. Multiple linear regression analysis for prediction of boiler losses and boiler efficiency. Int. J. Instrum. Control Syst. 2018, 8, 1–9. [Google Scholar] [CrossRef]
- Damian, G.E.; Micle, V.; Sur, I.M. Study regarding the pedological properties of the soil in the “Larga de Sus” mining area in order to establish the appropriate soil remediation technology. Pangeea 2021, 52–61. [Google Scholar] [CrossRef]
- Damian, G.E.; Micle, V.; Sur, I.M. Mobilisation of Cu and Pb from multi-metal contaminated soils by dissolved humic substances extracted from Leonardite and factors affecting the process. J. Soils Sediments 2019, 19, 2869–2881. [Google Scholar] [CrossRef]
- Sur, I.M.; Micle, V.; Gabor, T. Heavy metals removal by bioleaching using Thiobacillus ferrooxidans. Rom. Biotechnol. Lett. 2018, 23, 13409–13416. [Google Scholar]
- Rogozan, G.C. Contributions Related to the Use of Mathematical Modeling to Emphasize Spatial Distribution of Heavy Metals in the Soil and Drawing Vulnerability Maps. Ph.D. Thesis, Technical University of Cluj-Napoca, Cluj-Napoca, Romania, 2013. (In Romanian). [Google Scholar]
- Taloi, D. Optimization of Technological Processes; Academia Publishing House: Bucharest, Romania, 1987. [Google Scholar]
- Li, Y.; Lei, M.; Chen, T.; Yang, J.; Zhou, X.; Wang, Y. Optimized EDTA washing procedure to decontaminate heavymetals from soils in iron and steel works sites. Asian J. Chem. 2013, 25, 37. [Google Scholar] [CrossRef]
- Merdun, H.; Çinar, Ö.; Meral, R.; Apan, M. Comparison of artificial neural network and regression pedotransfer functions for prediction of soil water retention and saturated hydraulic conductivity. Soil Tillage Res. 2006, 90, 108–116. [Google Scholar] [CrossRef]
- Rajkai, K.; Kabos, S.; Van Genuchten, M.T. Estimating the water retention curve from soil properties: Comparison of linear, nonlinear and concomitant variable methods. Soil Tillage Res. 2004, 79, 145–152. [Google Scholar] [CrossRef]
- Kulikowska, D.; Gusiatin, Z.M.; Bułkowska, K.; Klik, B. Feasibility of using humic substances from compost to remove heavy metals (Cd, Cu, Ni, Pb, Zn) from contaminated soil aged for different periods of time. J. Hazard. Mater. 2015, 300, 882–891. [Google Scholar] [CrossRef]
- Kulikowska, D.; Gusiatin, Z.M.; Bułkowska, K.; Kierklo, K. Humic substances from sewage sludge compost as washing agent e_ectively remove Cu and Cd from soil. Chemosphere 2015, 136, 42–49. [Google Scholar] [CrossRef]
- Rasmussen, S.B.; Jensen, J.K.; Borggaard, O.K. A laboratory test of NOM-assisted remediation of arsenic and copper contaminated soils. J. Environ. Chem. Eng. 2015, 3, 3020–3023. [Google Scholar] [CrossRef]
- Chen, Y.-M.; Lin, W.-H.; Lin, Y.-A.; Liu, C.-C.; Wang, M.-K. Remediation of lead-contaminated soil using dissolved organic carbon solutions prepared by wine-processing waste sludge. Geoderma 2014, 235–236, 233–239. [Google Scholar] [CrossRef]




| n | Cu | Pb | ||||
|---|---|---|---|---|---|---|
| X1 (dec. fr.) | X2 (h) | Y (%) | X1 (dec. fr.) | X2 (h) | Y (%) | |
| 1 | 0.2 | 2 | 21.53 | 0.2 | 2 | 33.65 |
| 2 | 0.2 | 4 | 22.55 | 0.2 | 4 | 40.76 |
| 3 | 0.2 | 6 | 23.95 | 0.2 | 6 | 47.87 |
| 4 | 0.2 | 12 | 27.49 | 0.2 | 12 | 56.55 |
| 5 | 0.2 | 24 | 29.14 | 0.2 | 24 | 63.50 |
| 6 | 0.2 | 40 | 31.05 | 0.2 | 40 | 69.35 |
| 7 | 0.125 | 2 | 36.92 | 0.125 | 2 | 40.51 |
| 8 | 0.125 | 4 | 41.15 | 0.125 | 4 | 46.10 |
| 9 | 0.125 | 6 | 44.07 | 0.125 | 6 | 57.34 |
| 10 | 0.125 | 12 | 46.25 | 0.125 | 12 | 61.45 |
| 11 | 0.125 | 24 | 50.64 | 0.125 | 24 | 69.03 |
| 12 | 0.125 | 40 | 74.57 | 0.125 | 40 | 79.65 |
| 13 | 0.1 | 2 | 21.08 | 0.1 | 2 | 39.97 |
| 14 | 0.1 | 4 | 22.31 | 0.1 | 4 | 43.92 |
| 15 | 0.1 | 6 | 23.26 | 0.1 | 6 | 49.45 |
| 16 | 0.1 | 12 | 31.49 | 0.1 | 12 | 61.29 |
| 17 | 0.1 | 24 | 36.44 | 0.1 | 24 | 67.45 |
| 18 | 0.1 | 40 | 37.67 | 0.1 | 40 | 77.41 |
| 19 | 0.0625 | 2 | 27.93 | 0.0625 | 2 | 22.41 |
| 20 | 0.0625 | 4 | 31.26 | 0.0625 | 4 | 33.02 |
| 21 | 0.0625 | 6 | 33.89 | 0.0625 | 6 | 41.39 |
| 22 | 0.0625 | 12 | 38.79 | 0.0625 | 12 | 52.61 |
| 23 | 0.0625 | 24 | 43.50 | 0.0625 | 24 | 58.45 |
| 24 | 0.0625 | 40 | 46.65 | 0.0625 | 40 | 66.82 |
| n | Cu | Pb | ||||
|---|---|---|---|---|---|---|
| X1 (dec. fr.) | X2 (h) | Y (%) | X1 (dec. fr.) | X2 (h) | Y (%) | |
| 1 | 0.2 | 2 | 21.16 | 0.2 | 2 | 34.44 |
| 2 | 0.2 | 4 | 28.67 | 0.2 | 4 | 38.86 |
| 3 | 0.2 | 6 | 47.36 | 0.2 | 6 | 39.65 |
| 4 | 0.2 | 12 | 50.80 | 0.2 | 12 | 46.13 |
| 5 | 0.2 | 24 | 52.68 | 0.2 | 24 | 57.66 |
| 6 | 0.2 | 40 | 54.53 | 0.2 | 40 | 68.40 |
| 7 | 0.125 | 2 | 39.33 | 0.125 | 2 | 45.26 |
| 8 | 0.125 | 4 | 43.50 | 0.125 | 4 | 49.60 |
| 9 | 0.125 | 6 | 46.09 | 0.125 | 6 | 51.03 |
| 10 | 0.125 | 12 | 51.03 | 0.125 | 12 | 57.82 |
| 11 | 0.125 | 24 | 55.27 | 0.125 | 24 | 61.93 |
| 12 | 0.125 | 40 | 60.21 | 0.125 | 40 | 65.48 |
| 13 | 0.1 | 2 | 23.04 | 0.1 | 2 | 41.55 |
| 14 | 0.1 | 4 | 25.61 | 0.1 | 4 | 43.76 |
| 15 | 0.1 | 6 | 43.14 | 0.1 | 6 | 47.87 |
| 16 | 0.1 | 12 | 48.21 | 0.1 | 12 | 54.66 |
| 17 | 0.1 | 24 | 48.79 | 0.1 | 24 | 65.40 |
| 18 | 0.1 | 40 | 55.41 | 0.1 | 40 | 69.03 |
| 19 | 0.0625 | 2 | 23.15 | 0.0625 | 2 | 25.59 |
| 20 | 0.0625 | 4 | 41.15 | 0.0625 | 4 | 35.86 |
| 21 | 0.0625 | 6 | 55.09 | 0.0625 | 6 | 43.60 |
| 22 | 0.0625 | 12 | 58.80 | 0.0625 | 12 | 54.82 |
| 23 | 0.0625 | 24 | 61.39 | 0.0625 | 24 | 63.50 |
| 24 | 0.0625 | 40 | 63.51 | 0.0625 | 40 | 68.40 |
| Metal | The Chitosan Concentration in Washing Solution | Mathematical Equation |
|---|---|---|
| Cu | 2% | Y = 23.703 + 93.403X1 + 0.958X2 − 1.509 X1X2 − 505.425X12 − 0.006X22 |
| R2 = 0.472 R2adj = 0.578 | ||
| 5% | Y = 33.389 − 54.511X1 + 2.264X2 − 0.471X1X2 + 76.708X12 − 0.037X22 | |
| R2 = 0.694 R2adj = 0.335 | ||
| Pb | 2% | Y = 19.531 + 190.82X1 + 2.313X2 − 1.109X1X2 − 546.364X12 − 0.03X22 |
| R2 = 0.887 R2adj = 0.124 | ||
| 5% | Y = 30.606 + 86.089X1 + 1.809X2 − 0.547X1X2 − 357.542X12 − 0.023X22 | |
| R2 = 0.875 R2adj = 0.136 |
Disclaimer/Publisher’s Note: The statements, opinions and data contained in all publications are solely those of the individual author(s) and contributor(s) and not of MDPI and/or the editor(s). MDPI and/or the editor(s) disclaim responsibility for any injury to people or property resulting from any ideas, methods, instructions or products referred to in the content. |
© 2022 by the authors. Licensee MDPI, Basel, Switzerland. This article is an open access article distributed under the terms and conditions of the Creative Commons Attribution (CC BY) license (https://creativecommons.org/licenses/by/4.0/).
Share and Cite
Micle, V.; Damian, G.E.; Rogozan, G.C.; Sur, I.M. Non-Linear Regression Model for Estimating the Efficiency of Heavy Metals Removal by Soil Washing with Chitosan Solution. Appl. Sci. 2023, 13, 465. https://doi.org/10.3390/app13010465
Micle V, Damian GE, Rogozan GC, Sur IM. Non-Linear Regression Model for Estimating the Efficiency of Heavy Metals Removal by Soil Washing with Chitosan Solution. Applied Sciences. 2023; 13(1):465. https://doi.org/10.3390/app13010465
Chicago/Turabian StyleMicle, Valer, Gianina Elena Damian, George Calin Rogozan, and Ioana Monica Sur. 2023. "Non-Linear Regression Model for Estimating the Efficiency of Heavy Metals Removal by Soil Washing with Chitosan Solution" Applied Sciences 13, no. 1: 465. https://doi.org/10.3390/app13010465
APA StyleMicle, V., Damian, G. E., Rogozan, G. C., & Sur, I. M. (2023). Non-Linear Regression Model for Estimating the Efficiency of Heavy Metals Removal by Soil Washing with Chitosan Solution. Applied Sciences, 13(1), 465. https://doi.org/10.3390/app13010465

