Evaluation of Cerium-Doped Lanthanum Bromide (LaBr3:Ce) Single-Crystal Scintillator’s Luminescence Properties under X-ray Radiographic Conditions
Abstract
1. Introduction
2. Materials and Methods
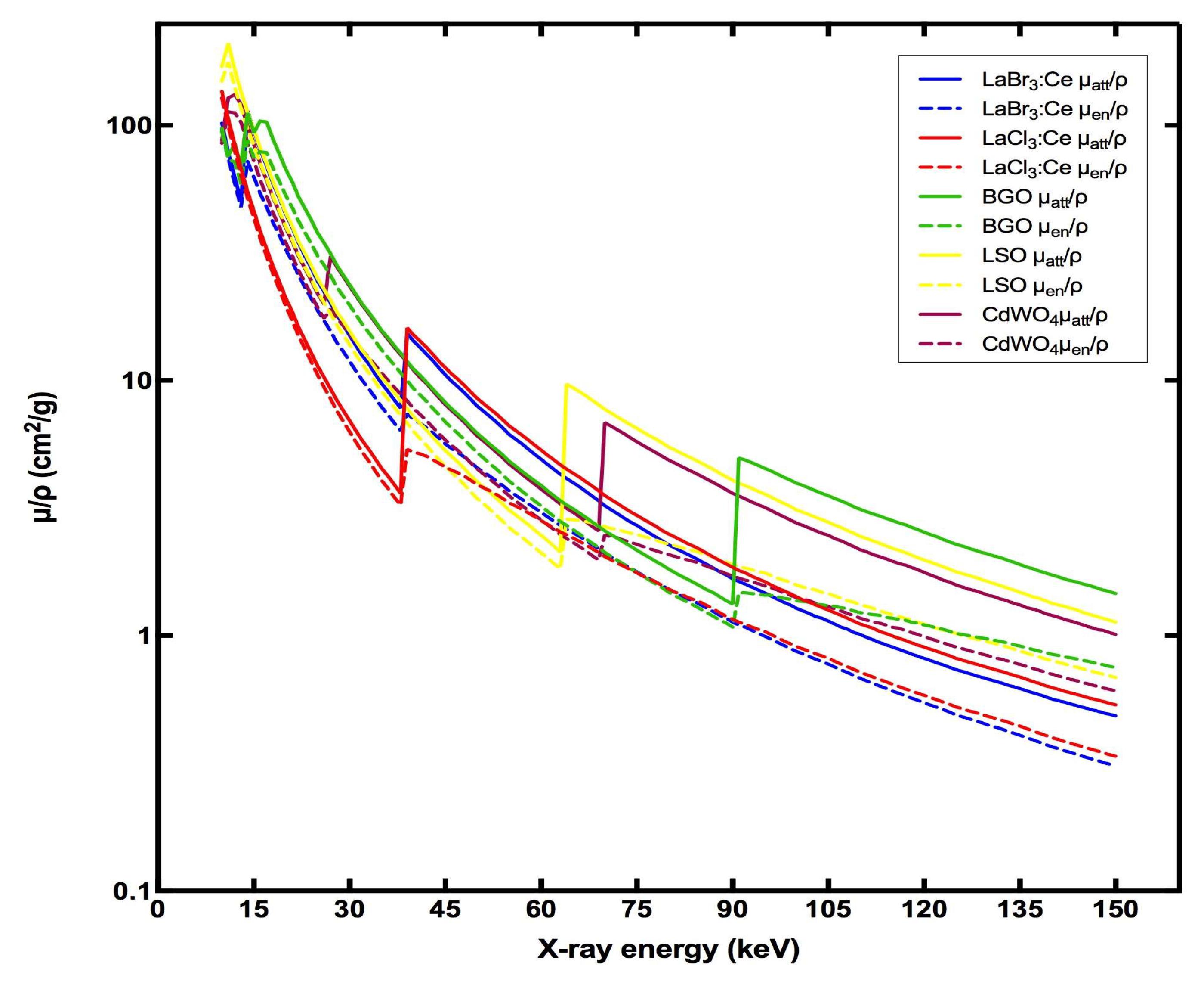
3. Results
4. Discussion
5. Conclusions
Author Contributions
Funding
Institutional Review Board Statement
Informed Consent Statement
Data Availability Statement
Conflicts of Interest
References
- Van Eijk, C.W.E. Inorganic scintillators in medical imaging. Phys. Med. Biol. 2002, 47, R85–R106. [Google Scholar] [CrossRef] [PubMed]
- Grammaticos, P.; Fountos, G. The physician should benefit, not harm the patient. Hell. J. Nucl. Med. 2006, 9, 82–84. [Google Scholar] [PubMed]
- Spanoudaki, V.C.; Levin, C.S. Photo-Detectors for Time of Flight Positron Emission Tomography (ToF-PET). Sensors 2010, 10, 10484–10505. [Google Scholar] [CrossRef] [PubMed]
- Moses, W.W. Scintillator Requirements for Medical Imaging. In Proceedings of the International Conference on Inorganic Scintillators and Their Applications, Moscow, Russia, 16–20 August 1999; p. 11. [Google Scholar]
- Van Loef, E.V.D.; Dorenbos, P.; van Eijk, C.W.E.; Krämer, K.; Güdel, H.U. High-Energy-Resolution Scintillator: Ce3+ Activated LaBr3. Appl. Phys. Lett. 2001, 79, 1573–1575. [Google Scholar] [CrossRef]
- Van Loef, E.V.D.; Dorenbos, P.; van Eijk, C.W.E.; Krämer, K.W.; Güdel, H.U. Scintillation Properties of LaBr3:Ce3+ Crystals: Fast, Efficient and High-Energy-Resolution Scintillators. Nucl. Instrum. Methods Phys. Res. Sect. A Accel. Spectrometers Detect. Assoc. Equip. 2002, 486, 254–258. [Google Scholar] [CrossRef]
- Shah, K.S.; Glodo, J.; Klugerman, M.; Moses, W.W.; Derenzo, S.E.; Weber, M.J. LaBr3:Ce Scintillators for Gamma Ray Spectroscopy. IEEE Trans. Nucl. Sci. 2004, 50, 2410–2413. [Google Scholar] [CrossRef]
- Dorenbos, P.; de Haas, J.T.M.; van Eijk, C.W.E. Gamma Ray Spectroscopy with a O19 × 19 mm3 LaBr3:0.5% Ce3+ Scintillator. IEEE Trans. Nucl. Sci. 2004, 51, 1289–1296. [Google Scholar] [CrossRef]
- Glodo, J.; Moses, W.W.; Higgins, W.M.; van Loef, E.V.D.; Wong, P.; Derenzo, S.E.; Weber, M.J.; Shah, K.S. Effects of Ce Concentration on Scintillation Properties of LaBr3:Ce. IEEE Trans. Nucl. Sci. 2005, 52, 1805–1808. [Google Scholar] [CrossRef]
- Iltis, A.; Mayhugh, M.R.; Menge, P.; Rozsa, C.M.; Selles, O.; Solovyev, V. Lanthanum Halide Scintillators: Properties and Applications. Nucl. Instrum. Methods Phys. Res. Sect. A Accel. Spectrometers Detect. Assoc. Equip. 2006, 563, 359–363. [Google Scholar] [CrossRef]
- Bizarri, G.; de Haas, J.T.M.; Dorenbos, P.; van Eijk, C.W.E. Scintillation Properties of O1 x 1 Inch3 LaBr3: 5%Ce3+ Crystal. IEEE Trans. Nucl. Sci. 2006, 53, 615–619. [Google Scholar] [CrossRef]
- Higgins, W.M.; Glodo, J.; Van Loef, E.; Klugerman, M.; Gupta, T.; Cirignano, L.; Wong, P.; Shah, K.S. Bridgman Growth of LaBr3:Ce and LaCl3:Ce Crystals for High-Resolution Gamma-Ray Spectrometers. J. Cryst. Growth 2006, 287, 239–242. [Google Scholar] [CrossRef]
- Chen, J.; Hu, Z.; Zhang, X.; Chen, Z.; Yuan, X.; Sun, Z.; Guo, Z.; Xu, H. Investigation of LaBr3: Ce Scintillator with Excellent Property. J. Phys. Conf. Ser. 2014, 488, 142013. [Google Scholar] [CrossRef]
- Dorenbos, P. Light Output and Energy Resolution of Ce3+-Doped Scintillators. Nucl. Instrum. Methods Phys. Res. Sect. A Accel. Spectrometers Detect. Assoc. Equip. 2002, 486, 208–213. [Google Scholar] [CrossRef]
- Alzimami, K.; Abuelhia, E.; Podolyak, Z.; Ioannou, A.; Spyrou, N.M. Characterization of LaBr3:Ce and LaCl3:Ce Scintillators for Gamma-Ray Spectroscopy. J. Radioanal. Nucl. Chem. 2008, 278, 755–759. [Google Scholar] [CrossRef]
- Chewpraditkul, W.; Moszynski, M. Scintillation Properties of Lu3Al5O12, Lu2SiO5 and LaBr3 Crystals Activated with Cerium. Phys. Procedia 2011, 22, 218–226. [Google Scholar] [CrossRef]
- Kuhn, A.; Surti, S.; Karp, J.S.; Raby, P.S.; Shah, K.S.; Perkins, A.E.; Muehllehner, G. Design of a Lanthanum Bromide Detector for Time-of-Flight PET. IEEE Trans. Nucl. Sci. 2004, 51, 2550–2557. [Google Scholar] [CrossRef]
- Advatech, U.K. LaBr3:Ce—Lanthanum Bromide (Ce). Available online: https://www.advatech-uk.co.uk/labr3_ce.html (accessed on 12 July 2022).
- Dey Chaudhuri, S.; Banerjee, D.; Bhattacharjee, T.; Wasim Raja, S.; Acharya, R.; Pujari, P.K. Performance Study of LaBr3:Ce Detectors Coupled to R2083 PM Tube for Energy and Timing Characteristics. J. Radioanal. Nucl. Chem. 2020, 324, 829–835. [Google Scholar] [CrossRef]
- Alzimami, K.S.; Spyrou, N.M.; Sassi, S.A. Investigation of LaBr3:Ce and LaCl3:Ce Scintillators for Spect Imaging. In 2008 5th IEEE International Symposium on Biomedical Imaging: From Nano to Macro; IEEE: Paris, France, 2008; pp. 1243–1246. [Google Scholar] [CrossRef]
- Surti, S.; Karp, J.S.; Muehllehner, G. Image Quality Assessment of LaBr3 -Based Whole-Body 3D PET Scanners: A Monte Carlo Evaluation. Phys. Med. Biol. 2004, 49, 4593–4610. [Google Scholar] [CrossRef]
- Kandarakis, I.; Cavouras, D.; Kalivas, N.; Nomicos, C.D.; Panayiotakis, G.S. Estimation of the Information Content of Medical Images Produced by Scintillators Interacting with Diagnostic X-Ray Beams. Nucl. Instrum. Methods Phys. Res. Sect. B Beam Interact. Mater. At. 1999, 155, 199–205. [Google Scholar] [CrossRef]
- Owens, A.; Bos, A.J.J.; Brandenburg, S.; Dorenbos, P.; Drozdowski, W.; Ostendorf, R.W.; Quarati, F.; Webb, A.; Welter, E. The Hard X-Ray Response of Ce-Doped Lanthanum Halide Scintillators. Nucl. Instrum. Methods Phys. Res. Sect. A Accel. Spectrometers Detect. Assoc. Equip. 2007, 574, 158–162. [Google Scholar] [CrossRef]
- Khodyuk, I.V.; Dorenbos, P. Nonproportional Response of LaBr3: Ce and LaCl3: Ce Scintillators to Synchrotron x-Ray Irradiation. J. Phys. Condens. Matter 2010, 22, 485402. [Google Scholar] [CrossRef] [PubMed]
- Michail, C.; Kalyvas, N.; Bakas, A.; Ninos, K.; Sianoudis, I.; Fountos, G.; Kandarakis, I.; Panayiotakis, G.; Valais, I. Absolute Luminescence Efficiency of Europium-Doped Calcium Fluoride (CaF2:Eu) Single Crystals under X-Ray Excitation. Crystals 2019, 9, 234. [Google Scholar] [CrossRef]
- Michail, C.; Koukou, V.; Martini, N.; Saatsakis, G.; Kalyvas, N.; Bakas, A.; Kandarakis, I.; Fountos, G.; Panayiotakis, G.; Valais, I. Luminescence Efficiency of Cadmium Tungstate (CdWO4) Single Crystal for Medical Imaging Applications. Crystals 2020, 10, 429. [Google Scholar] [CrossRef]
- Tseremoglou, S.; Michail, C.; Valais, I.; Ninos, K.; Bakas, A.; Kandarakis, I.; Fountos, G.; Kalyvas, N. Efficiency Properties of Cerium-Doped Lanthanum Chloride (LaCl3:Ce) Single Crystal Scintillator under Radiographic X-Ray Excitation. Crystals 2022, 12, 655. [Google Scholar] [CrossRef]
- Advatech, U.K. LaCl3:Ce—Lanthanum Chloride (Ce). Available online: https://www.advatech-uk.co.uk/lacl3_ce.html (accessed on 12 July 2022).
- Advatech, U.K. LSO:Ce—Lutetium Oxyorthosilicate (Ce). Available online: https://www.advatech-uk.co.uk/lso_ce.html (accessed on 12 July 2022).
- Advatech, U.K. BGO—Bismuth Germanate Scintillator Crystal. Available online: https://www.advatech-uk.co.uk/bgo.html (accessed on 12 July 2022).
- Linardatos, D.; Michail, C.; Kalyvas, N.; Ninos, K.; Bakas, A.; Valais, I.; Fountos, G.; Kandarakis, I. Luminescence Efficciency of Cerium bromide Single Crystal under X-ray Radiation. Crystals 2022, 12, 909. [Google Scholar] [CrossRef]
- Valais, I.G.; Kandarakis, I.S.; Nikolopoulos, D.N.; Michail, C.M.; David, S.L.; Loudos, G.K.; Cavouras, D.A.; Panayiotakis, G.S. Luminescence Properties of (Lu, Y)2SiO5:Ce and Gd2SiO5: Ce Single Crystal Scintillators Under X-Ray Excitation for Use in Medical Imaging Systems. IEEE Trans. Nucl. Sci. 2007, 54, 11–18. [Google Scholar] [CrossRef]
- Linardatos, D.; Konstantinidis, A.; Valais, I.; Ninos, K.; Kalyvas, N.; Bakas, A.; Kandarakis, I.; Fountos, G.; Michail, C. On the Optical Response of Tellurium Activated Zinc Selenide ZnSe:Te Single Crystal. Crystals 2020, 10, 961. [Google Scholar] [CrossRef]
- Boone, J. X-ray production, interaction, and detection in diagnostic imaging. In Handbook of Medical Imaging. Volume 1: Physics and Psychophysics; Beutel, J., Kundel, H.L., Van Metter, R.L., Eds.; SPIE Press: Bellingham, WA, USA, 2000; Volume 1, pp. 36–57. ISBN 978-0-8194-7772-9. [Google Scholar]
- Nowotny, R. XMuDat: Photon Attenuation Data on PC (IAEA-NDS-195); International Atomic Energy Agency: Vienna, Austria, 1998. [Google Scholar]
- TASMIP Spectra Calculator. Available online: https://www.solutioinsilico.com/medical-physics/applications/tasmip-app.php?ans=0 (accessed on 10 December 2022).
- Kandarakis, I.; Cavouras, D.; Panayiotakis, G.S.; Nomicos, C.D. Evaluating X-Ray Detectors for Radiographic Applications: A Comparison of ZnSCdS:Ag with and Screens. Phys. Med. Biol. 1997, 42, 1351–1373. [Google Scholar] [CrossRef]
- Michail, C.; Valais, I.; Seferis, I.; Kalyvas, N.; David, S.; Fountos, G.; Kandarakis, I. Measurement of the Luminescence Properties of Gd2O2S: Pr, Ce, F Powder Scintillators under X-Ray Radiation. Radiat. Meas. 2014, 70, 59–64. [Google Scholar] [CrossRef]
- Kandarakis, I.; Cavouras, D.; Nomicos, C.D.; Panayiotakis, G.S. X-Ray Luminescence of ZnSCdS:Au, Cu Phosphor Using X-Ray Beams for Medical Applications. Nucl. Instrum. Methods Phys. Res. Sect. B Beam Interact. Mater. At. 2001, 179, 215–224. [Google Scholar] [CrossRef]
- Hamamatsu Photonics, MPPC (Multi-Pixel Photon Counters). Available online: http://www.hamamatsu.com/us/en/product/category/3100/4004/4113/index.html# (accessed on 4 September 2022).
- SensL. Silicon Photomultipliers. Available online: http://sensl.com/products/silicon-photomultipliers/ (accessed on 4 September 2022).
- Magnan, P. Detection of Visible Photons in CCD and CMOS: A Comparative View. Nucl. Instrum. Methods Phys. Res. Sect. A Accel. Spectrometers Detect. Assoc. Equip. 2003, 504, 199–212. [Google Scholar] [CrossRef]
- Rowlands, J.A.; Yorkston, J. Flat Panel Detectors for Digital Radiography. In Handbook of Medical Imaging Physics and Psychophysics; Beutel, J., Kundel, H., Van Metter, R., Eds.; SPIE: Bellingham, WA, USA, 2000; Volume 1, pp. 223–328. ISBN 978-08-194-7772-9. [Google Scholar]
- Cavouras, D.; Kandarakis, I.; Bakas, A.; Triantis, D.; Nomicos, C.D.; Panayiotakis, G.S. An Experimental Method to Determine the Effective Luminescence Efficiency of Scintillator-Photodetector Combinations Used in X-Ray Medical Imaging Systems. Br. J. Radiol. 1998, 71, 766–772. [Google Scholar] [CrossRef] [PubMed]
- Valais, I. Systematic Study of the Light Emission Efficiency and the Corresponding Intrinsic Physical Characteristics of Single Crystal Scintillators, Doped with the Trivalent Cerium (Ce3+) Activator, in Wide Energy Range (from 20 kV–18 MV) for Medical Applications. Ph.D. Thesis, University of Patras, Patras, Greece, 2008. [Google Scholar]
- Attix, F.H. Introduction of Radiological Physics and Radiation Dosimetry; John Wiley & Sons: New York, NY, USA, 1987; p. 31. [Google Scholar]
- Abbene, L.; La Manna, A.; Fauci, F.; Gerardi, G.; Stumbo, S.; Raso, G. X-Ray Spectroscopy and Dosimetry with a Portable CdTe Device. Nucl. Instrum. Methods Phys. Res. Sect. A Accel. Spectrometers Detect. Assoc. Equip. 2007, 571, 373–377. [Google Scholar] [CrossRef]
- Hendee, W.R.; Ritenour, E.R. Medical Imaging Physics; John Wiley & Sons: New York, NY, USA, 2002. [Google Scholar] [CrossRef]



















| Properties | BGO | LSO:Ce | CdWO4 | LaCl3:Ce | LaBr3:Ce |
|---|---|---|---|---|---|
| Wavelength, max emission (nm) | 480 | 420 | 490 | 350 | 380 |
| Decay Time (ns) | 300 | 40 | 5000 | 28 | 25 |
| Light Yield (photons/MeV) | 8900 | 30,000 | 28,000 | 49,000 | 63,000 |
| Radiation Length (cm) | 1.118 | 1.14 | 1.06 | 2.813 | 1.881 |
| Density (g/cm3) | 7.13 | 7.4 | 7.9 | 3.86 | 5.2 |
| Effective Atomic Number | 74 | 75 | 74 | 47 | 46 |
| Melting Point (°C) | 1044 | 2050 | 1325 | 1135 | 1116 |
| Hardness (Mho) | 5 | 5.8 | 4-4.5 | 3 | 3 |
| Hygroscopicity | No | No | No | Yes | Yes |
Disclaimer/Publisher’s Note: The statements, opinions and data contained in all publications are solely those of the individual author(s) and contributor(s) and not of MDPI and/or the editor(s). MDPI and/or the editor(s) disclaim responsibility for any injury to people or property resulting from any ideas, methods, instructions or products referred to in the content. |
© 2022 by the authors. Licensee MDPI, Basel, Switzerland. This article is an open access article distributed under the terms and conditions of the Creative Commons Attribution (CC BY) license (https://creativecommons.org/licenses/by/4.0/).
Share and Cite
Tseremoglou, S.; Michail, C.; Valais, I.; Ninos, K.; Bakas, A.; Kandarakis, I.; Fountos, G.; Kalyvas, N. Evaluation of Cerium-Doped Lanthanum Bromide (LaBr3:Ce) Single-Crystal Scintillator’s Luminescence Properties under X-ray Radiographic Conditions. Appl. Sci. 2023, 13, 419. https://doi.org/10.3390/app13010419
Tseremoglou S, Michail C, Valais I, Ninos K, Bakas A, Kandarakis I, Fountos G, Kalyvas N. Evaluation of Cerium-Doped Lanthanum Bromide (LaBr3:Ce) Single-Crystal Scintillator’s Luminescence Properties under X-ray Radiographic Conditions. Applied Sciences. 2023; 13(1):419. https://doi.org/10.3390/app13010419
Chicago/Turabian StyleTseremoglou, Stavros, Christos Michail, Ioannis Valais, Konstantinos Ninos, Athanasios Bakas, Ioannis Kandarakis, George Fountos, and Nektarios Kalyvas. 2023. "Evaluation of Cerium-Doped Lanthanum Bromide (LaBr3:Ce) Single-Crystal Scintillator’s Luminescence Properties under X-ray Radiographic Conditions" Applied Sciences 13, no. 1: 419. https://doi.org/10.3390/app13010419
APA StyleTseremoglou, S., Michail, C., Valais, I., Ninos, K., Bakas, A., Kandarakis, I., Fountos, G., & Kalyvas, N. (2023). Evaluation of Cerium-Doped Lanthanum Bromide (LaBr3:Ce) Single-Crystal Scintillator’s Luminescence Properties under X-ray Radiographic Conditions. Applied Sciences, 13(1), 419. https://doi.org/10.3390/app13010419

