Dynamic Characteristics of Post-Cyclic Saturated Loess
Abstract
1. Introduction
2. Methodology
2.1. Test Materials
2.2. Testing Instruments
2.3. Test Methods
3. Results
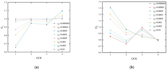
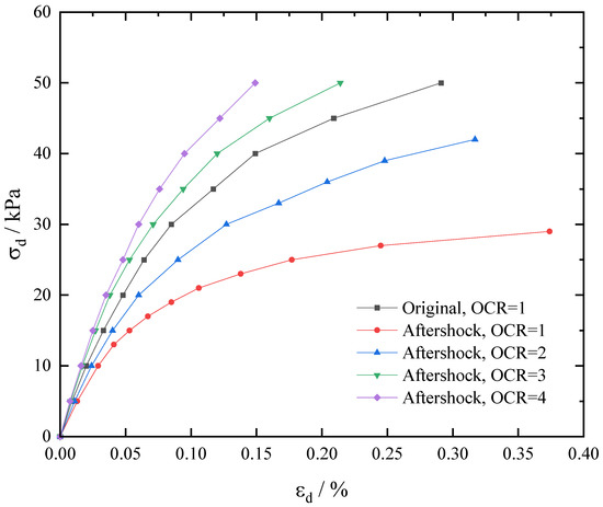
3.1. Dynamic Elastic and Shear Modulus Characteristics of the Saturated Loess before and after Pre-Seismic Reconsolidation (PSR)
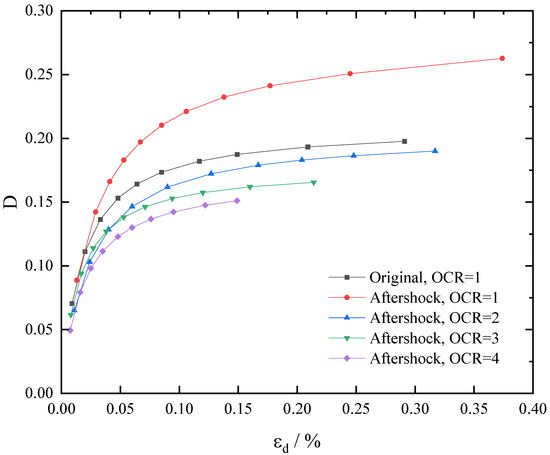
3.2. Damping Ratio of Saturated Loess before and after the PSR Process
4. Discussion
4.1. Influence Law of Strong Earthquake and Post-Earthquake Reconsolidation on Nonlinear Dynamic Characteristics of the Saturated Loess
4.2. Influence Mechanism of Strong Earthquake and Post-Earthquake Reconsolidation on Nonlinear Dynamic Characteristics of Saturated Loess
5. Conclusions
- (1)
- Strong earthquakes may lead to a significant attenuation of the kinetic stiffness of the saturated loess. The variation of the Gd/Gdmax − γd curves before and after pre-seismic is more obvious in the large shear strain stage. With an increase in the OCR, the Ed of the saturated loess after pre-shock increased continuously. When the OCR reached two, the trend of Gd/Gdmax − γd curves of the pre-shock saturated loess was similar to that of the original saturated loess.
- (2)
- The D of the saturated loess tended to grow more obviously with the increase in εd after the action of a strong earthquake. The stability under the dynamic load tended to weaken. The influence of pre-shock on the D − γd curves was mainly manifested in the large shear strain stage. The action of reconsolidation can lead to a significant decrease of D at the same strain level, and the growth of the curve tends to flatten with an increase in the OCR. This effect is expressed in the whole shear strain range.
- (3)
- Compared with the original saturated loess, the Gd of the post-earthquake loess was significantly reduced and the D was obviously increased. The loess was more likely to be damaged when strong aftershocks occurred. Furthermore, the impaction of the reconsolidation on the nonlinear dynamic parameters of the post-earthquake loess is remarkable. The kinetic stiffness of the saturated loess is significantly enhanced after experiencing the over-consolidation, and its damage will be obviously weakened under strong aftershocks.
- (4)
- Strong earthquake caused the weakening of the connection between particles of the soil. In addition, the trellis pores were consecutive and the structure was rearranged. The changes in structure led to the enhancement of dynamic nonlinear of the saturated loess. However, the compaction effect of reconsolidation increased the interparticle friction and healed some microfractures, which led to the increased stiffness of the saturated loess.
Author Contributions
Funding
Institutional Review Board Statement
Informed Consent Statement
Data Availability Statement
Acknowledgments
Conflicts of Interest
References
- Wang, L.M. Loess Dynamics; Seismological Press: Beijing, China, 2003. (In Chinese) [Google Scholar]
- Derbyshire, E.; Meng, X.M.; Dijkstra, T.A. Landslides in the Thick Loess Terrain of North–West China; Wiley: London, UK, 2000. [Google Scholar]
- Wang, Q.; Ma, J.L.; Ma, H.P.; Wang, J.; Wang, L.M.; Gao, Z.N. Dynamic shear modulus and damping ratio of saturated loess. Chin. J. Rock Mech. Eng. 2019, 38, 1919–1927. (In Chinese) [Google Scholar] [CrossRef]
- Jeferson, I.F.; Evstatiev, D.; Karastanev, D.; Mavlyanova, N.G.; Smalley, I.J. Engineering geology of loess and loess−like deposits: A commentary on the Russian literature. Eng. Geol. 2003, 68, 333–351. [Google Scholar] [CrossRef]
- Salih, N.; Préat, A.; Gerdes, A.; Konhauser, K.; Proust, J.-N. Tracking the Origin and Evolution of Diagenetic Fluids of Upper Jurassic Carbonate Rocks in the Zagros Thrust Fold Belt, NE-Iraq. Water 2021, 13, 3284. [Google Scholar] [CrossRef]
- Gao, G.R. Loess microstructure classifcation and loess collapsible. Sci. China 1980, 12, 203–204. [Google Scholar]
- Ma, F.; Yang, J.; Bai, X. Water sensitivity and microstructure of compacted loess. Transp. Geotech. 2017, 11, 41–56. [Google Scholar] [CrossRef]
- Feng, J.G.; Zhang, H.; Yang, P. Analysis on b−value Abnormality of the Minxian−Zhangxian, Gansu M MS 6.6 Earthquake. Earthq. Res. China 2016, 30, 186–192. [Google Scholar]
- Ma, H.P.; Zhang, H.; Li, M.J.; Wu, S.Y.; Wang, P.T.; Wang, Q.; Zhao, J. Characteristics of the present crustal deformation in Tibetan Plateau and its relationship with strong earthquakes. Open Geosci. 2022; In press. [Google Scholar] [CrossRef]
- Zhang, D.X.; Wang, G.H. Study of the 1920 Haiyuan Earthquake−Induced Landslides in Loess (China). Eng. Geol. 2007, 94, 76–88. [Google Scholar] [CrossRef]
- Wang, G.H.; Zhang, D.X.; Furuya, G.; Yang, J. Pore−pressure generation and fuidization in a loess landslide triggered by the 1920 Haiyuan earthquake, China: A case study. Eng. Geol. 2014, 174, 36–45. [Google Scholar] [CrossRef]
- Zhong, X.; Xu, X.; Chen, W.; Liang, Y.; Sun, Q. Characteristics of loess landslides triggered by the 1927 Mw8.0 earthquake that occurred in Gulang County, Gansu Province, China. Front. Environ. Sci. 2022, 10, 973262. Available online: https://www.frontiersin.org/articles/10.3389/fenvs.2022.973262 (accessed on 9 September 2022). [CrossRef]
- Tang, R.; Wu, J.; Ye, M.; Liu, W. Impact of Economic Development Levels and Disaster Types on the Short-Term Macroeconomic Consequences of Natural Hazard-Induced Disasters in China. Int. J. Disaster Risk Sci. 2019, 10, 371–385. [Google Scholar] [CrossRef]
- Wei, Y.-N.; Fan, W.; Yu, B.; Deng, L.-S.; Wei, T. Characterization and evolution of three-dimensional microstructure of Malan loess. Catena 2020, 192, 104585. [Google Scholar] [CrossRef]
- Wang, G.; Wei, J. Microstructure evolution of granular soils in cyclic mobility and post−liquefaction process. Granul. Matter 2016, 18, 51–64. [Google Scholar] [CrossRef]
- Wang, J.D.; Li, P.; Ma, Y.; Vanapalli, S.K. Evolution of pore−size distribution of intact loess and remolded loess due to consolidation. J. Soils Sediments 2019, 19, 1226–1238. [Google Scholar] [CrossRef]
- Wang, S.Y.; Luna, R.; Onyejekwe, S. Effect of initial consolidation condition on post−liquefaction undrained monotonic shear behavior of Mississippi river valley silt. J. Geotech. Geoenviron. Eng. 2016, 142, 04015075. [Google Scholar] [CrossRef]
- Wen, B.-P.; Yan, Y.-J. Influence of structure on shear characteristics of the unsaturated loess in Lanzhou, China. Eng. Geol. 2014, 168, 46–58. [Google Scholar] [CrossRef]
- Ma, J.L.; Zhong, X.M.; Wang, Q. Experimental Study on Shear Characteristics of Compacted Loess based on Micro−structure. J. Disaster Prev. Mitig. Eng. 2021, 41, 350–356. (In Chinese) [Google Scholar] [CrossRef]
- Peng, J.; Wang, S.; Wang, Q.; Zhuang, J.; Huang, W.; Zhu, X.; Leng, Y.; Ma, P. Distribution and genetic types of loess landslides in China. J. Asian Earth Sci. 2018, 170, 329–350. [Google Scholar] [CrossRef]
- Zhang, M.S.; Liu, J. Controlling factors of loess landslides in western China. Environ. Earth Sci. 2009, 59, 1671–1680. [Google Scholar] [CrossRef]
- Pei, X.; Zhang, X.; Guo, B.; Wang, G.; Zhang, F. Experimental case study of seismically induced loess liquefaction and landslide. Eng. Geol. 2017, 223, 23–30. [Google Scholar] [CrossRef]
- Xu, L.; Coop, M.R.; Zhang, M.; Wang, G. The mechanics of a saturated silty loess and implications for landslides. Eng. Geol. 2018, 236, 29–42. [Google Scholar] [CrossRef]
- Rasouli, H.; Fatahi, B.; Nimbalkar, S. Re−liquefaction resistance of lightly cemented sands. Can. Geotech. J. 2021, 59, 2085–2101. [Google Scholar] [CrossRef]
- Liu, W.; Wang, Q.; Lin, G.; Chen, W. Effect of pre-dynamic loading on dynamic liquefaction of undisturbed loess. Bull. Earthq. Eng. 2020, 18, 5779–5806. [Google Scholar] [CrossRef]
- Wang, S.; Luna, R.; Onyejekwe, S. Postliquefaction behavior of low-plasticity silt at various degrees of reconsolidation. Soil Dyn. Earthq. Eng. 2015, 75, 259–264. [Google Scholar] [CrossRef]
- Wang, S.; Luna, R.; Zhao, H. Cyclic and post-cyclic shear behavior of low-plasticity silt with varying clay content. Soil Dyn. Earthq. Eng. 2015, 75, 112–120. [Google Scholar] [CrossRef]
- Wang, S.Y.; Luna, R. Compressibility characteristics of low−plasticity silt before and after liquefaction. J. Mater. Civ. Eng. 2014, 26, 040140141−1−6. [Google Scholar] [CrossRef]
- Karakan, E.; Tanrinian, N.; Sezer, A. Cyclic undrained behavior and post liquefaction settlement of a nonplastic silt. Soil Dyn. Earthq. Eng. 2019, 120, 214–227. [Google Scholar] [CrossRef]
- Liu, W.; Chen, W.; Wang, Q.; Wang, J.; Lin, G. Effect of pre-dynamic loading on static liquefaction of undisturbed loess. Soil Dyn. Earthq. Eng. 2019, 130, 105915. [Google Scholar] [CrossRef]
- Ishihara, K.; Harada, K.; Lee, W.; Chan, C.; Safiullah, A. Post-liquefaction settlement analyses based on the volume change characteristics of undisturbed and reconstituted samples. Soils Found. 2016, 56, 533–546. [Google Scholar] [CrossRef]
- Lade, P.; Yamamuro, J. Effects of nonplastic fines on static liquefaction of sands. Canadian Geotech. J. 1997, 34, 918–928. [Google Scholar] [CrossRef]
- Song, B.; Tsinaris, A.; Anastasiadis, A.; Pitilakis, K.; Chen, W. Small-strain stiffness and damping of Lanzhou loess. Soil Dyn. Earthq. Eng. 2017, 95, 96–105. [Google Scholar] [CrossRef]
- Sheander, N.; Raj, S.; John, A. Characteristics of nonlinear response of deep saturated soil deposits. Bull. Seismol. Soc. Am. 1997, 87, 342–355. [Google Scholar]
- Wang, J.; Wang, Q.; Wang, J.M. Experimental study on the dynamic characteristics of post−earthquake loess. Hydrogeol. Eng. Geol. 2010, 37, 63–67. (In Chinese) [Google Scholar]
- Wang, H.J.; Sun, P.; Liu, E.L.; Li, R.J. Dynamic properties of Tianshui saturated remolded loess: A laboratory study. Eng. Geol. 2020, 272, 105570. [Google Scholar] [CrossRef]
- Suits, L.D.; Sheahan, T.C.; Elkady, T.Y.; Houston, S.L.; Houston, W.N. Static and Dynamic Behavior of Hydro-Collapsible Soils. Geotech. Test. J. 2011, 34, 103576. [Google Scholar] [CrossRef]
- Zhang, Z.L.; Wang, T.; Wu, S.R.; Tang, H.M.; Xin, P.; Liang, C.Y. Dynamics stress–strain behavior of Tianshui soils. Landslides 2017, 14, 323–335. [Google Scholar] [CrossRef]
- Araei, A.; Ghodrati, A. Predictive models for normalized shear modulus and damping ratio of modeled rockfill materials. Acta Geodyn. Et Geomater. 2017, 14, 27–40. [Google Scholar] [CrossRef][Green Version]
- Xu, Y.R.; Du, P.; Li, W.Q.; Zhang, W.H.; Tian, Q.J.; Xiong, R.W.; Wang, L. A case study on AD 1718 Tongwei M7. 5 earthquake triggered landslides application of landslide database triggered by historical strong earthquakes on the Loess Plateau. Chin. J. Geophys. Chin. Ed. 2020, 63, 1235–1248. (In Chinese) [Google Scholar] [CrossRef]
- Duan, Y.M. Basic features of buried deep fault structure from Tongwei to Wudu. ACTA Geol. Gausu 2002, 11, 23–28. (In Chinese) [Google Scholar]
- GB 50123-2019; Standard for Geotechnical Testing Method. China Metrology Publishing House: Beijing, China, 2019. (In Chinese)
- D4318−05; Standard Test Methods for Liquid Limit, Plastic Limit, and Plasticity Index of Soils. ASTM: West Conshohocken, PA, USA, 2005.
- D854−06; Standard Test Methods for Specific Gravity of Soil Solids by Water Pycnometer. ASTM: West Conshohocken, PA, USA, 2006.
- D422−63 (Reapproved 2007); Standard Test Method for Particle−Size Analysis of Soils. ASTM: West Conshohocken, PA, USA, 2007.
- D3999−2011; Standard Test Methods for the Determination of the Modulus and Damping Properties of Soils Using the Cyclic Triaxial Apparatus. ASTM: West Conshohocken, PA, USA, 2011.
- Seed, H.B.; Idriss, I.M. Simplifed procedure for evaluating soil liquefaction potential. J. Soil Mech. Found. Div. 1971, 97, 1249–1273. [Google Scholar] [CrossRef]
- GB 18306−2015; Seismic Ground Motion Parameters Zonation Map of China. China Standard Press: Beijing, China, 2015. (In Chinese)
- GB 50011−2010; Code for Seismic Design of Buildings. China Building Industry Press: Beijing, China, 2010. (In Chinese)
- Cheng, G.Y. Study on Correlation between Shear−Wave Velocity and Liquefaction Resistance of Saturated Sand. Ph.D. Thesis, Tianjin University, Tianjin, China, 2003. (In Chinese). [Google Scholar]
- Li, W.; Lang, L.; Wang, D.; Wu, Y.; Li, F. Investigation on the dynamic shear modulus and damping ratio of steel slag sand mixtures. Constr. Build. Mater. 2018, 162, 170–180. [Google Scholar] [CrossRef]
- Hardin, B.O.; Drnevich, V.P. Shear Modulus and Damping in Soils: Design Equations and Curves. J. Soil Mech. Found. Div. 1972, 98, 667–692. [Google Scholar] [CrossRef]
- Jiang, M.; Zhang, F.; Hu, H.; Cui, Y.; Peng, J. Structural characterization of natural loess and remolded loess under triaxial tests. Eng. Geol. 2014, 181, 249–260. [Google Scholar] [CrossRef]
- Huie, C.; Yaling, J.; Cencen, N.; Leng, G.J.; Tian, G.L. Dynamic characteristics of saturated loess under diferent confning pressures: A microscopic analysis. Bull. Eng. Geol. Environ. 2019, 78, 931–944. [Google Scholar] [CrossRef]
















| Parameters | Value |
|---|---|
| Density | 1.42 g/cm3 |
| Moisture | 9.95% |
| Specific gravity | 2.71 |
| Plastic limit | 16.81% |
| Liquid limit | 26.83% |
| Plastic index | 10.02 |
Disclaimer/Publisher’s Note: The statements, opinions and data contained in all publications are solely those of the individual author(s) and contributor(s) and not of MDPI and/or the editor(s). MDPI and/or the editor(s) disclaim responsibility for any injury to people or property resulting from any ideas, methods, instructions or products referred to in the content. |
© 2022 by the authors. Licensee MDPI, Basel, Switzerland. This article is an open access article distributed under the terms and conditions of the Creative Commons Attribution (CC BY) license (https://creativecommons.org/licenses/by/4.0/).
Share and Cite
Wang, Q.; Wang, Y.; Ma, W.; Tao, D. Dynamic Characteristics of Post-Cyclic Saturated Loess. Appl. Sci. 2023, 13, 306. https://doi.org/10.3390/app13010306
Wang Q, Wang Y, Ma W, Tao D. Dynamic Characteristics of Post-Cyclic Saturated Loess. Applied Sciences. 2023; 13(1):306. https://doi.org/10.3390/app13010306
Chicago/Turabian StyleWang, Qian, Yan Wang, Wenguo Ma, and Dongwang Tao. 2023. "Dynamic Characteristics of Post-Cyclic Saturated Loess" Applied Sciences 13, no. 1: 306. https://doi.org/10.3390/app13010306
APA StyleWang, Q., Wang, Y., Ma, W., & Tao, D. (2023). Dynamic Characteristics of Post-Cyclic Saturated Loess. Applied Sciences, 13(1), 306. https://doi.org/10.3390/app13010306

