Mercury Contents in the Liver, Kidneys and Hair of Domestic Cats from the Warsaw Metropolitan Area
Abstract
1. Introduction
2. Materials and Methods
3. Results
4. Discussion
5. Conclusions
Author Contributions
Funding
Institutional Review Board Statement
Informed Consent Statement
Data Availability Statement
Conflicts of Interest
References
- Kalisińska, E.; Łanocha-Arendarczyk, N.; Podlasińska, J. Current and historical nephric and hepatic mercury concentrations in terrestrial mammals in Poland and other European countries. Sci. Total Environ. 2021, 775, 145808. [Google Scholar] [CrossRef] [PubMed]
- HELCOM. Inputs of Hazardous Substances to the Baltic Sea; Baltic Sea Environment: Helsinki, Finland, 2018. [Google Scholar]
- UNEP. Global Mercury Assessment 2018; Chemicals and Health Branch: Geneva, Switzerland, 2019. [Google Scholar]
- Behrooz, R.D.; Poma, G. Evaluation of mercury contamination in Iranian wild cats through hair analysis. Biol. Trace Elem. Res. 2021, 199, 166–172. [Google Scholar] [CrossRef] [PubMed]
- Pastorinho, M.R.; Sousa, A.C.A. Pets as Sentinels of Human Exposure to Neurotoxic Metals in: Pets as Sentinels, Forecasters and Promoters of Human Health; Springer International Publishing: Cham, Switzerland, 2020; pp. 83–106. [Google Scholar]
- Pacyna, E.G.; Pacyna, J.M.; Steenhuisen, F.; Wilson, S. Global anthropogenic mercury emission inventory for 2000. Atmos. Environ. 2006, 40, 4048–4063. [Google Scholar] [CrossRef]
- Morel, F.M.M. The chemical cycle and bioaccumulation of mercury. Ann. Rev. Ecol. Syst. 1998, 29, 543–566. [Google Scholar] [CrossRef]
- Mania, M.; Wojciechowska-Mazurek, M.; Starska, K. Ryby i owoce morza jako źródło narażenia człowieka na metylortęć. Rocz. Panstw. Zakl. Hig. 2012, 63, 257–264. [Google Scholar]
- Chan, H.M.; Scheuhammer, A.M.; Ferran, A.; Loupelle, C.; Holloway, J.; Weech, S. Impacts of mercury on freshwater fish-eating wildlife and humans. Hum. Ecol. Risk Assess. 2003, 9, 867–883. [Google Scholar] [CrossRef]
- Syaripuddin, K.; Kumar, A.; Sing, K.W.; Halim, M.R.A.; Nursyereen, M.N.; Wilson, J.J. Mercury accumulation in bats near hydroelectric reservoirs in Peninsular Malaysia. Ecotoxicology 2014, 23, 1164–1171. [Google Scholar] [CrossRef]
- Hamelin, S.; Amyot, M.; Barkay, T.; Wang, Y.; Planas, D. Methanogens: Principal methylators of mercury in lake periphyton. Environ. Sci. Technol. 2011, 45, 7693–7700. [Google Scholar] [CrossRef]
- Yu, R.Q.; Reinfelder, J.R.; Hines, M.E.; Barkay, T.; Ortega, S.H.; Schaefer, J.K.; Bouchet, S.; Tolu, J.; Björn, E.; Bertilsson, S. Mercury Methylation by the Methanogen Methanospirillum hungatei. Appl. Environ. Microbiol. 2013, 79, 6325–6330. [Google Scholar] [CrossRef]
- Bravo, A.G.; Peur, S.; Buck, M.; Ahmed, O.; Mateos-Riviera, A. Methanogens and Iron Reducing Bacteria: The Overlooked Members of Mercury-Methylating Microbial Communities in Boreal Lakes. Appl. Environ. Microbiol. 2018, 84, e01774-18. [Google Scholar] [CrossRef]
- Kosik-Bogacka, D.; Osten-Sacken, N.; Łanocha-Arendarczyk, N.; Kot, K.; Pilarczyk, B.; Tomza-Marciniak, A.; Podlasińska, J.; Chmielarz, M.; Heddergott, M.; Frantz, A.C.; et al. Selenium and mercury in the hair of raccoons (Procyon lotor) and European wildcats (Felis s. silvestris) from Germany and Luxembourg. Ecotoxicology 2020, 29, 1–12. [Google Scholar] [CrossRef] [PubMed]
- Żarski, J.F.; Skibniewski, M.; Skibniewska, E.; Żarski, T.O.; Majdecka, T. The Presence of Mercury in the Tissues of Mallards (Anas platyrhynchos L.) from Włocławek Reservoir in Poland. Biol. Trace Elem. Res. 2017, 176, 384–390. [Google Scholar] [CrossRef] [PubMed][Green Version]
- Castoldi, A.F.; Coccini, T.; Ceccatelli, S.; Manzo, L. Neurotoxicity and molecular effects of methylmercury. Brain Res. Bull. 2001, 55, 197–203. [Google Scholar] [CrossRef] [PubMed]
- Lindqvist, O.; Johansson, K.; Aastrup, M.; Andersson, A.; Bringmark, L.; Hovsenius, G.; Hakanson, L.; Iverfeldt, A.; Meili, M.; Timm, B. Mercury in the Swedish environment—Recent research on causes, consequences and corrective methods. Water Air Soil Pollut. 1991, 55, 1–261. [Google Scholar] [CrossRef]
- UNEP. 2015. Global Mercury Modelling: Update of Modelling Results in the Global Mercury Assessment 2013. Arctic Monitoring and Assessment Programme, Oslo, Norway UNEP Chemicals Branch, Geneva, Switzerland iv + 32 pp. Available online: https://www.amap.no/documents/doc/global-mercury-modelling-update-of-modelling-results-in-the-global-mercury-assessment-2013/1218 (accessed on 1 August 2019).
- Jędruch, A.; Falkowska, L.; Saniewska, D.; Durkalec, M.; Nawrocka, A.; Kalisińska, E.; Kowalski, A.; Pacyna, J.M. Status and trends of mercury pollution of the atmosphere and terrestrial ecosystems in Poland. Ambio 2021, 50, 1698–1717. [Google Scholar] [CrossRef] [PubMed]
- UNEP. 2013. Global Mercury Assessment 2013 Sources, Emissions, Releases and Environmental Transport. UNEP Chemicals Branch, Geneva, Switzerland iv + 33 pp. 2013. Available online: https://wedocs.unep.org/20.500.11822/7984 (accessed on 1 August 2019).
- EEA. European Waters. Assessment of Status and Pressures; EEA: Copenhagen, Denmark, 2018. [Google Scholar] [CrossRef]
- EMEP. Atmospheric Supply of Nitrogen, Cadmium, Mercury, Benzo(a)pyrene and PBDEs to the Baltic Sea in 2014; Technical Report MSC-W 1/2016; EMEP: Oslo, Norway, 2016. [Google Scholar]
- EMEP. Atmospheric Supply of Nitrogen, Cadmium, Mercury, Benzo(a)pyrene, and PCB-153 to the Baltic Sea in 2016; Technical Report MSC-W 1/2018; EMEP: Oslo, Norway, 2018. [Google Scholar]
- Serpe, F.P.; Russo, R.; De Simone, A.; Florio, S.; Esposito, M.; Severin, L. Levels of heavy metals in liver and kidney of dogs from urban environment. Open Vet. J. 2012, 2, 15–18. [Google Scholar] [CrossRef]
- Backer, L.C.; Grindem, C.B.; Corbett, W.T.; Cullins, L.; Hunter, J.L. Pet dogs as sentinels for environmental contamination. Sci. Total Environ. 2001, 274, 161–169. [Google Scholar] [CrossRef] [PubMed]
- Bischoff, K.; Priest, H.; Mount-Long, A. Animals as sentinels for human lead exposure: A case report. J. Med. Toxicol. 2010, 6, 185–189. [Google Scholar] [CrossRef] [PubMed][Green Version]
- Reif, J.S. Animal sentinels for environmental and public health. Public Health Rep. 2011, 126, 50–57. [Google Scholar] [CrossRef]
- Skibniewska, E.M.; Skibniewsi, M.; Kośla, T.; Urbańska–Słomka, G. Hair zinc levels in pet and feral cats (Felis catus). J. Elem. 2011, 16, 481–488. [Google Scholar] [CrossRef]
- Mason, H.J.; Hindell, P.; Williams, N.R. Biological monitoring and exposure to mercury. Occup. Med. 2001, 51, 2–11. [Google Scholar] [CrossRef] [PubMed]
- Clarkson, T.W.; Vyas, J.B.; Ballatori, N. Mechanisms of mercury disposition in the body. Am. J. Ind. Med. 2007, 50, 757–764. [Google Scholar] [CrossRef] [PubMed]
- US EPA. Framework for Metals Risk Assessment; EPA 120/R-07/001US; Environmental Protection Agency: Washington, DC, USA, 2007; p. 172. Available online: https://www.epa.gov/sites/production/files/2013-09/documents/metalsrisk-assessment-final.pdf (accessed on 12 November 2021).
- Kalisińska, E. Endothermic animals as biomonitors of terrestrial environments. In Mammals and Birds as Bioindicators of Trace Element Contaminations in Terrestrial Environments. An Ecotoxicological Assessment of the Northern Hemisphere; Kalisińska, E., Ed.; Springer: Cham, Switzerland, 2019; pp. 21–53. [Google Scholar]
- Clarkson, T.W.; Magos, L. The toxicology of mercury and its chemical compounds. Crit. Rev. Toxicol. 2006, 36, 609–662. [Google Scholar] [CrossRef] [PubMed]
- Bridges, C.C.; Zalups, R. Transport of inorganic mercury and methylmercury in target tissues and organs. J. Toxicol. Environ. Health B Crit. Rev. 2010, 13, 385–410. [Google Scholar] [CrossRef] [PubMed]
- Sleeman, M.J.; Cristol, D.A.; White, A.E.; Evers, D.C.; Gerhold, R.W.; Keel, M.K. Mercury poisoning in a free-living northern river otter (Lontra canadensis). J. Wildlife Dis. 2010, 46, 1035–1039. [Google Scholar] [CrossRef]
- Azevedo, B.F.; Furieri, L.B.; Wiggers, G.A.; Vassallo, P.F.; Simões, M.R.; Fiorim, J.; de Batista, P.R.; Fioresi, M.; Rossoni, L.; Stefanon, I.; et al. Toxic Effects of Mercury on the Cardiovascular and Central Nervous Systems. J. Biomed. Biotechnol. 2012, 2012, 949048. [Google Scholar]
- Gall, J.E.; Boyd, R.S.; Rajakaruna, N. Transfer of heavy metals through terrestrial food webs: A review. Environ. Monit. Assess. 2015, 187, 201. [Google Scholar] [CrossRef]
- Flache, L.; Czarnecki, S.; Düring, R.A.; Kierdorf, U.; Encarnação, A. Trace metal concentrations in hairs of three bat species from an urbanized area in Germany. J. Environ. Sci. 2015, 31, 184–193. [Google Scholar] [CrossRef]
- Sakai, T.; Ito, M.; Aoki, H.; Aimi, K.; Nitaya, R. Hair mercury concentrations in cats and dogs in central Japan. Br. Vet. J. 1995, 151, 215. [Google Scholar] [CrossRef]
- Treu, G.; Krone, O.; Unnsteinsdóttir, E.R.; Greenwood, A.D.; Czirják, G.A. Correlations between hair and tissue mercury concentrations in Icelandic arctic foxes (Vulpes lagopus). Sci. Total Environ. 2018, 619–620, 1589–1598. [Google Scholar] [CrossRef]
- Dainowski, B.H.; Duffy, L.K.; McIntyre, J.; Jones, P. Hair and bone as predictors of tissular mercury concentration in the western Alaska red fox, Vulpes vulpes. Sci. Total. Environ. 2015, 518–519, 526–533. [Google Scholar] [CrossRef] [PubMed]
- Rashed, M.N.; Soltan, M.E. Animal Hair as Biological Indicator for Heavy Metal Pollution in Urban and Rural Areas. Environ. Monit. Assess. 2005, 110, 41–53. [Google Scholar] [CrossRef] [PubMed]
- Malvandi, H.; Ghasempouri, S.M.; Esmaili-Sari, A.; Bahramifar, N. Evaluation of the suitability of application of golden jackal (Canis aureus) hair as a noninvasive technique for determination of body burden mercury. Ecotoxicology 2010, 19, 997–1002. [Google Scholar] [CrossRef] [PubMed]
- Solgi, E.; Ghasempouri, S.M. Application of brown bear (Ursus arctos) records for retrospective assessment of mercury. J. Toxicol. Environ. Health A 2015, 78, 342–351. [Google Scholar] [CrossRef]
- Kośla, T.; Skibniewska, E. The content of aluminum in the hair of Yorkshire terrier dogs from the Warsaw area depending on sex, age and keeping conditions. Trace Elem. Electrol. 2010, 27, 209–213. [Google Scholar] [CrossRef]
- Squadrone, S.; Serena, R.; Orusa, R.; Griglione, A.; Falsetti, S.; Paola, B.; Abete, M.C. Wildlife hair as bioindicators of metal exposure. Biol. Trace Elem. Res. 2022, 200, 5073–5080. [Google Scholar] [CrossRef]
- Noguchi, T.; Itai, T.; Kawaguchi, M.; Takahashi, S.; Tanabe, S. Applicability of human hair as a bioindicator for trace elements exposure. In Interdisciplinary Studies on Environmental Chemistry-Environmental Pollution and Ecotoxicology; Kawaguchi, M., Misaki, K., Sato, H., Yokokawa, T., Itai, T., Nguyen, T.M., Onomand, J., Tanabe, S., Eds.; TERRAPUB: Tokyo, Japan, 2011; pp. 73–77. [Google Scholar]
- EPA. 2001. Biological Monitoring of Trace Metals, EPA-600/3–80–089, Environmental Protection Agency. Available online: www.cw.net.com (accessed on 1 August 2019).
- Wren, C.D. A review of metal accumulation and toxicity in wild mammals. I. Mercury. Environ. Res. 1986, 40, 210–244. [Google Scholar] [CrossRef]
- Eisler, R.D.P.; Secord, D.C.; Hewitt, P. An experimental assessment of the toxic potential of mercury in ringed-seal liver for adult laboratory cats. Toxicol. Appl. Pharmacol. 1980, 55, 514–521. [Google Scholar] [CrossRef]
- Eisler, R. Mercury. In Handbook of Chemical Risk Assessment: Health Hazards to Humans, Plants, and Animals; Lewis; CRC Press: Boca Raton, FL, USA, 2000; Volume 1, pp. 313–409. [Google Scholar]
- Eisler, E. Mercury Hazards from Gold Mining to Humans, Plants, and Animals. Rev. Environ. Contam. Toxicol. 2004, 181, 139–198. [Google Scholar]
- Carrier, G.; Brunet, R.C.; Caza, M.; Bouchard, M. A toxicokinetic model for predicting the tissue distribution and elimination of organic and inorganic mercury following exposure to methyl mercury in animals and humans. I. Development and validation of the model using experimental data in rats. Toxicol. Appl. Pharmacol. 2001, 171, 38–49. [Google Scholar] [CrossRef]
- Carrier, G.; Bouchard, M.; Brunet, R.C.; Caza, M. A toxicokinetic model for predicting the tissue distribution and elimination of organic and inorganic mercury following exposure to methyl mercury in animals and humans. II. Application and validation of the model in humans. Toxicol. Appl. Pharmacol. 2001, 171, 50–60. [Google Scholar] [CrossRef] [PubMed]
- Farris, F.F.; Dedrick, R.L.; Allen, P.V.; Smith, J.C. Physiological Model for the Pharmacokinetics of Methyl Mercury in the Growing Rat. Toxicol. Appl. Pharm. 1993, 119, 74–90. [Google Scholar] [CrossRef] [PubMed]
- Farris, F.F.; Derick, R.L. Absorption of methylmercury from hair ingested by rats. Life Sci. 1993, 53, 1023–1029. [Google Scholar] [CrossRef] [PubMed]
- Sheffy, T.B.; Amant, J.R. Mercury burdens in furbearers in Wisconsin. J. Wildl. Manag. 1982, 46, 1117–1120. [Google Scholar] [CrossRef]
- Souza, M.J.; Ramsay, E.C.; Donnell, R.L. Metal accumulation and health effects in raccoons (Procyon lotor) associated with coal fly ash exposure. Arch. Environ. Contam. Toxicol. 2013, 64, 529–536. [Google Scholar] [CrossRef]
- Bocharova, N.; Treu, G.; Czirják, G.Á.; Krone, O.; Stefanski, V.; Wibbelt, G.; Unnsteinsdóttir, E.R.; Hersteinsson, P.; Schares, G.; Doronina, L.; et al. Correlates between feeding ecology and mercury levels in historical and modern arctic foxes (Vulpes lagopus). PLoS ONE 2013, 8, e60879. [Google Scholar] [CrossRef]
- Bergan, T.; Gallardo, L.; Rodhe, H. Mercury in the global atmosphere; A three dimensional model study. Atmos. Environ. 1999, 33, 1575–1585. [Google Scholar] [CrossRef]
- Gbor, P.K.; Wen, D.; Meng, F.; Yang, F.; Sloan, J.J. Modeling of mercury emission, transport and deposition in North America. Atmos. Environ. 2007, 41, 1135–1149. [Google Scholar] [CrossRef]
- Kitamura, S. Determination of mercury content in bodies of inhabitants, cats, fishes and shells in Minamata District and in the mud of Minamata Bay. In Minamata Disease, Study Group of Minamata Disease; Katsuma, M., Ed.; Kumamoto University: Kumamoto, Japan, 1968; pp. 257–266. [Google Scholar]
- Dunlap, K.L.; Reynolds, A.J.; Bowers, P.M.; Duffy, L.K. Hair analysis in sled dogs (Canis lupus familiaris) illustrates a linkage of mercury exposure along the Yukon River with human subsistence food systems. Sci. Total. Environ. 2007, 385, 80–85. [Google Scholar] [CrossRef]
- Lopez-Alonso, M.; Miranda, A.M.; Garcia-Partida, P.; Cantero, F.; Hernandez, J.; Benedito, J.L. Use of dogs as indicators of metal exposure in rural and urban habitats in NW Spain. Sci. Total Environ. 2007, 372, 668–675. [Google Scholar] [CrossRef]
- Lopez-Alonso, M.; Miranda, A.M.; Garcia-Partida, P.; Mendez, A.; Castillo, C.; Benedito, J.L. Toxic and trace metal concentrations in liver and kidney of dogs influence of diet, sex, age, and pathological lesions. Biol. Trace Elem. Res. 2007, 116, 185–202. [Google Scholar] [CrossRef] [PubMed]
- Directive 2002/32/EC of the European Parliament and of the Council of 7 May 2002 on Undesirable Substances in Animal Feed-Council statement OJ L140, 30/05/2002, pp. 10–22. Available online: https://eur-lex.europa.eu/legal-content/EN/TXT/?uri=CELEX:32009L0141 (accessed on 18 August 2022).
- Altınok-Yipel, F.; Mustafa-Yipel, M.; Ozan-Tekeli, I. Health risk assessment of essential and toxic metals in canned/pouched food on kitten and adult cats: An animal health risk assessment adaptation assay. Biol. Trace Elem. Res. 2022, 200, 1937–1948. [Google Scholar] [CrossRef] [PubMed]

| Analyzed Material | N | Arithmetic Mean | Median | Min | Max | Q1 | Q3 | SD |
|---|---|---|---|---|---|---|---|---|
| Liver | 85 | 0.030 | 0.020 | 0.00 | 0.20 | 0.01 | 0.04 | 0.031 |
| Kidney | 85 | 0.026 | 0.020 | 0.00 | 0.15 | 0.01 | 0.03 | 0.025 |
| Hair | 85 | 0.025 | 0.020 | 0.00 | 0.10 | 0.01 | 0.03 | 0.022 |
| Kidney | Hair | |
|---|---|---|
| Liver | 0.850903 ** | 0.905060 ** |
| Kidney | 0.869439 ** |
| Analyzed Material | Sex | N | Arithmetic Mean | Median | Min | Max | Q1 | Q3 | SD |
|---|---|---|---|---|---|---|---|---|---|
| Liver | M | 39 | 0.035A | 0.03 | 0.000 | 0.10 | 0.02 | 0.05 | 0.026 |
| Kidney | 0.029 | 0.03 | 0.001 | 0.08 | 0.01 | 0.04 | 0.021 | ||
| Hair | 0.031C | 0.02 | 0.010 | 0.09 | 0.01 | 0.04 | 0.022 | ||
| Liver | F | 46 | 0.025B | 0.01 | 0.000 | 0.20 | 0.01 | 0.03 | 0.035 |
| Kidney | 0.021 | 0.01 | 0.000 | 0.15 | 0.01 | 0.03 | 0.028 | ||
| Hair | 0.020D | 0.01 | 0.000 | 0.10 | 0.01 | 0.02 | 0.021 |
| Material Examined | Kidney | Hair | |||
|---|---|---|---|---|---|
| Male | Female | Male | Female | ||
| Liver | Male | 0.8616 ** | 0.8510 ** | ||
| Female | 0.8106 ** | 0.9204 ** | |||
| Kidney | Male | 0.9366 ** | |||
| Female | 0.7848 ** | ||||
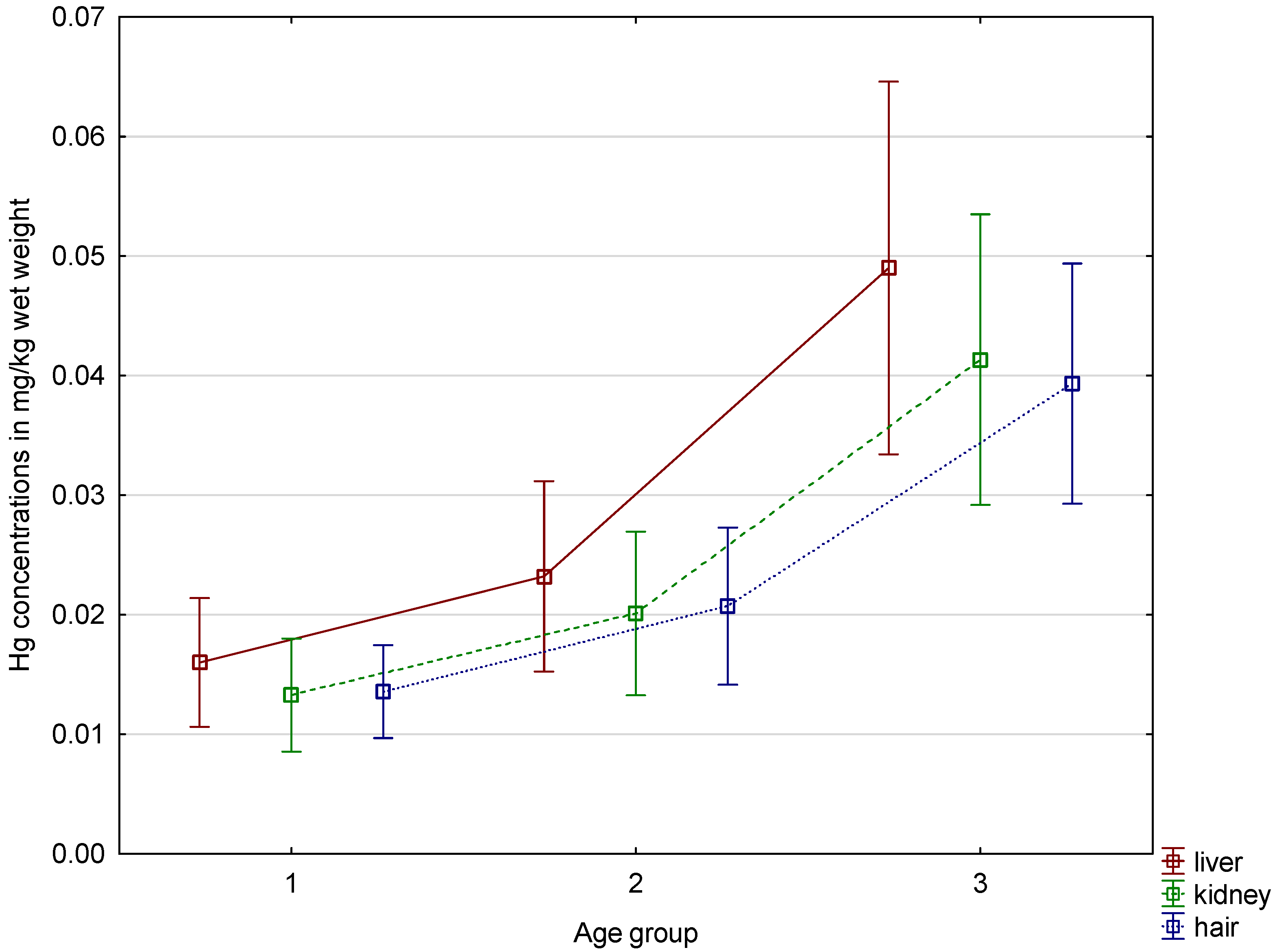
| Age Group | N | Arithmetic Mean | Median | Min | Max | Q1 | Q3 | SD | |
|---|---|---|---|---|---|---|---|---|---|
| Liver | 1 | 26 | 0.016 | 0.015 | 0.00 | 0.040 | 0.001 | 0.020 | 0.013 |
| Kidney | 0.013 | 0.010 | 0,00 | 0.040 | 0.001 | 0.020 | 0.011 | ||
| Hair | 0.014A | 0.010 | 0.00 | 0.040 | 0.010 | 0.020 | 0.009 | ||
| Liver | 2 | 29 | 0.023 | 0.020 | 0.00 | 0.090 | 0.010 | 0.030 | 0.020 |
| Kidney | 0.020 | 0.010 | 0.00 | 0.070 | 0.010 | 0.030 | 0.018 | ||
| Hair | 0.021 | 0.010 | 0.00 | 0.060 | 0.010 | 0.030 | 0.017 | ||
| Liver | 3 | 30 | 0.049 | 0.030 | 0.01 | 0.200 | 0.020 | 0.080 | 0.041 |
| Kidney | 0.041 | 0.030 | 0.01 | 0.150 | 0.020 | 0.050 | 0.032 | ||
| Hair | 0.039B | 0.030 | 0.01 | 0.100 | 0.020 | 0.060 | 0.026 |
| Analyzed Material | Living Conditions | N | Arithmetic Mean | Median | Min | Max | Q1 | Q3 | SD |
|---|---|---|---|---|---|---|---|---|---|
| Liver | U | 47 | 0.038A | 0.030 | 0.001 | 0.200 | 0.010 | 0.050 | 0.036 |
| Kidney | 0.032B | 0.030 | 0.000 | 0.150 | 0.010 | 0.040 | 0.029 | ||
| Hair | 0.031C | 0.020 | 0.000 | 0.100 | 0.010 | 0.050 | 0.024 | ||
| Liver | S | 38 | 0.020D | 0.010 | 0.000 | 0.090 | 0.010 | 0.030 | 0.020 |
| Kidney | 0.017E | 0.010 | 0.000 | 0.080 | 0.010 | 0.020 | 0.017 | ||
| Hair | 0.017F | 0.010 | 0.000 | 0.080 | 0.010 | 0.020 | 0.016 |
Disclaimer/Publisher’s Note: The statements, opinions and data contained in all publications are solely those of the individual author(s) and contributor(s) and not of MDPI and/or the editor(s). MDPI and/or the editor(s) disclaim responsibility for any injury to people or property resulting from any ideas, methods, instructions or products referred to in the content. |
© 2022 by the authors. Licensee MDPI, Basel, Switzerland. This article is an open access article distributed under the terms and conditions of the Creative Commons Attribution (CC BY) license (https://creativecommons.org/licenses/by/4.0/).
Share and Cite
Skibniewska, E.M.; Skibniewski, M. Mercury Contents in the Liver, Kidneys and Hair of Domestic Cats from the Warsaw Metropolitan Area. Appl. Sci. 2023, 13, 269. https://doi.org/10.3390/app13010269
Skibniewska EM, Skibniewski M. Mercury Contents in the Liver, Kidneys and Hair of Domestic Cats from the Warsaw Metropolitan Area. Applied Sciences. 2023; 13(1):269. https://doi.org/10.3390/app13010269
Chicago/Turabian StyleSkibniewska, Ewa M., and Michał Skibniewski. 2023. "Mercury Contents in the Liver, Kidneys and Hair of Domestic Cats from the Warsaw Metropolitan Area" Applied Sciences 13, no. 1: 269. https://doi.org/10.3390/app13010269
APA StyleSkibniewska, E. M., & Skibniewski, M. (2023). Mercury Contents in the Liver, Kidneys and Hair of Domestic Cats from the Warsaw Metropolitan Area. Applied Sciences, 13(1), 269. https://doi.org/10.3390/app13010269

