Terahertz Emission Enhanced by a Laser Irradiating on a T-Type Target
Abstract
:1. Introduction
2. Simulation Setup
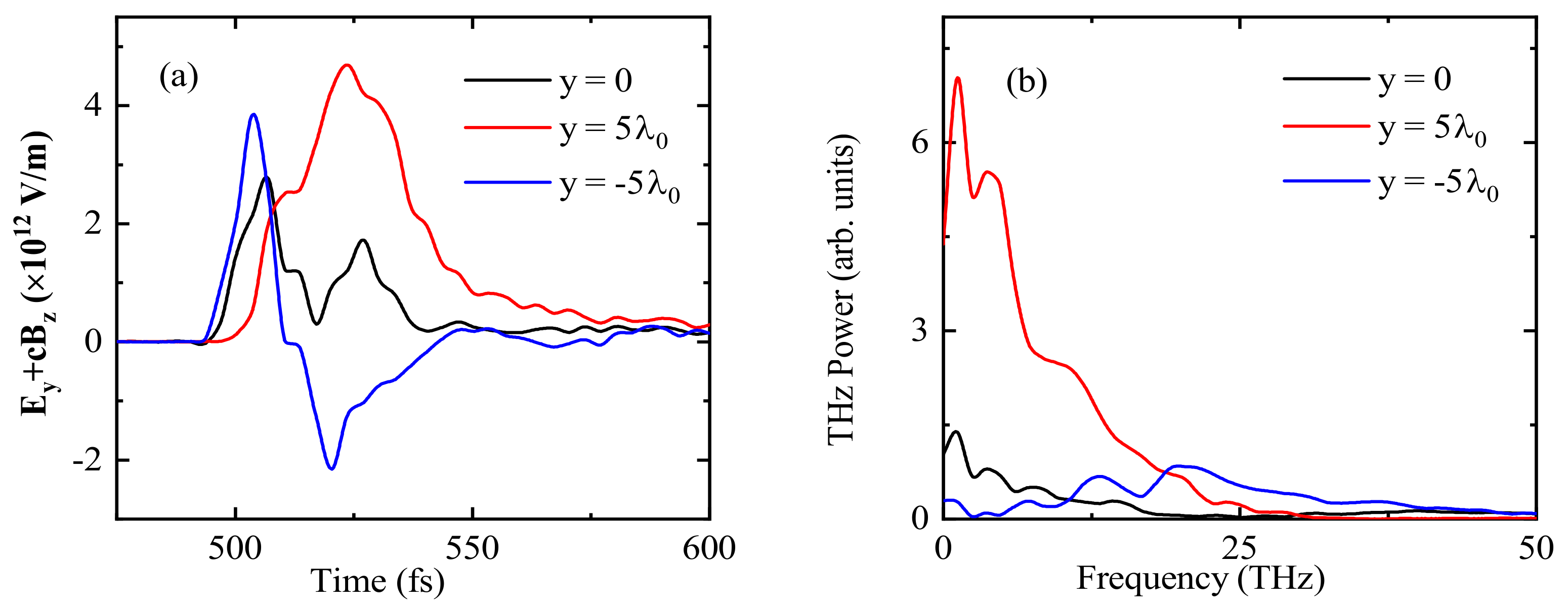
3. Results
4. Discussion
5. Robustness of the Scheme
6. Conclusions
Author Contributions
Funding
Institutional Review Board Statement
Informed Consent Statement
Data Availability Statement
Acknowledgments
Conflicts of Interest
References
- Hebling, J.; Yeh, K.L.; Hoffmann, M.C.; Nelson, K.A. High-power THz generation, THz nonlinear optics, and THz nonlinear spectroscopy. IEEE J. Sel. Top. Quantum Electron. 2008, 14, 345–353. [Google Scholar] [CrossRef]
- Matsunaga, R.; Shimano, R. Nonequilibrium BCS state dynamics induced by intense terahertz pulses in a superconducting NbN film. Phys. Rev. Lett. 2012, 109, 187002. [Google Scholar] [CrossRef] [PubMed]
- Kampfrath, T.; Tanaka, K.; Nelson, K.A. Resonant and nonresonant control over matter and light by intense terahertz transients. Nat. Photonics 2013, 7, 680–690. [Google Scholar] [CrossRef]
- Globus, T.; Woolard, D.; Khromova, T.; Crowe, T.; Bykhovskaia, M.; Gelmont, B.; Hesler, J.; Samuels, A. THz-spectroscopy of biological molecules. J. Biol. Phys. 2003, 29, 89–100. [Google Scholar] [CrossRef]
- Siegel, P.H. Terahertz technology in biology and medicine. IEEE Trans. Microw. Theory Tech. 2004, 52, 2438–2447. [Google Scholar] [CrossRef]
- Pickwell, E.; Wallace, V. Biomedical applications of terahertz technology. J. Phys. Appl. Phys. 2006, 39, R301. [Google Scholar] [CrossRef]
- Shen, J.L.; Zhang, C. Terahertz nondestructive imaging technology and its application. Nondestruct. Test. 2005, 27, 146–147. [Google Scholar]
- Zheng, X.; Liu, C. Recent development of THz technology and its application in radar and communication system. J. Microw. 2010, 26, 1–6. [Google Scholar]
- Wu, Z.; Fisher, A.S.; Goodfellow, J.; Fuchs, M.; Daranciang, D.; Hogan, M.; Loos, H.; Lindenberg, A. Intense terahertz pulses from SLAC electron beams using coherent transition radiation. Rev. Sci. Instrum. 2013, 84, 022701. [Google Scholar] [CrossRef]
- Hirori, H.; Doi, A.; Blanchard, F.; Tanaka, K. Single-cycle terahertz pulses with amplitudes exceeding 1 MV/cm generated by optical rectification in LiNbO3. Appl. Phys. Lett. 2011, 98, 091106. [Google Scholar] [CrossRef]
- Vicario, C.; Jazbinsek, M.; Ovchinnikov, A.; Chefonov, O.; Ashitkov, S.; Agranat, M.; Hauri, C. High efficiency THz generation in DSTMS, DAST and OH1 pumped by Cr: Forsterite laser. Opt. Express 2015, 23, 4573–4580. [Google Scholar] [CrossRef] [Green Version]
- Shalaby, M.; Hauri, C.P. Demonstration of a low-frequency three-dimensional terahertz bullet with extreme brightness. Nat. Commun. 2015, 6, 5976. [Google Scholar] [CrossRef] [PubMed] [Green Version]
- Weling, A.; Hu, B.; Froberg, N.; Auston, D. Generation of tunable narrow-band THz radiation from large aperture photoconducting antennas. Appl. Phys. Lett. 1994, 64, 137–139. [Google Scholar] [CrossRef]
- Cook, D.; Hochstrasser, R. Intense terahertz pulses by four-wave rectification in air. Opt. Lett. 2000, 25, 1210–1212. [Google Scholar] [CrossRef] [PubMed]
- Zhang, L.L.; Wang, W.M.; Wu, T.; Zhang, R.; Zhang, S.J.; Zhang, C.L.; Zhang, Y.; Sheng, Z.M.; Zhang, X.C. Observation of terahertz radiation via the two-color laser scheme with uncommon frequency ratios. Phys. Rev. Lett. 2017, 119, 235001. [Google Scholar] [CrossRef] [Green Version]
- Kim, K.Y.; Taylor, A.; Glownia, J.; Rodriguez, G. Coherent control of terahertz supercontinuum generation in ultrafast laser–gas interactions. Nat. Photonics 2008, 2, 605–609. [Google Scholar] [CrossRef]
- Ma, D.; Dong, L.; Zhang, M.; Wu, T.; Zhao, Y.; Zhang, L.; Zhang, C. Enhancement of terahertz waves from two-color laser-field induced air plasma excited using a third-color femtosecond laser. Opt. Express 2020, 28, 20598–20608. [Google Scholar] [CrossRef]
- Wang, W.M.; Gibbon, P.; Sheng, Z.M.; Li, Y.T. Tunable circularly polarized terahertz radiation from magnetized gas plasma. Phys. Rev. Lett. 2015, 114, 253901. [Google Scholar] [CrossRef]
- Hamster, H.; Sullivan, A.; Gordon, S.; White, W.; Falcone, R. Subpicosecond, electromagnetic pulses from intense laser-plasma interaction. Phys. Rev. Lett. 1993, 71, 2725. [Google Scholar] [CrossRef]
- Hamster, H.; Sullivan, A.; Gordon, S.; Falcone, R. Short-pulse terahertz radiation from high-intensity-laser-produced plasmas. Phys. Rev. E 1994, 49, 671. [Google Scholar] [CrossRef]
- Gopal, A.; Singh, P.; Herzer, S.; Reinhard, A.; Schmidt, A.; Dillner, U.; May, T.; Meyer, H.G.; Ziegler, W.; Paulus, G. Characterization of 700 μJ T rays generated during high-power laser solid interaction. Opt. Lett. 2013, 38, 4705–4707. [Google Scholar] [CrossRef] [PubMed]
- Ding, W.; Sheng, Z.; Koh, W. High-field half-cycle terahertz radiation from relativistic laser interaction with thin solid targets. Appl. Phys. Lett. 2013, 103, 204107. [Google Scholar] [CrossRef] [Green Version]
- Ginzburg, V.; Frank, I. Radiation of a uniformly moving electron due to its transition from one medium into another. J. Phys. (USSR) 1945, 9, 353–362. [Google Scholar]
- Ginsburg, V. Radiation of a uniformly moving electron due to its transition from one medium into another. Sov. Phys. JETP 1946, 16, 15–28. [Google Scholar]
- Liao, G.Q.; Li, Y.T.; Zhang, Y.H.; Liu, H.; Ge, X.L.; Yang, S.; Wei, W.Q.; Yuan, X.H.; Deng, Y.Q.; Zhu, B.J.; et al. Demonstration of coherent terahertz transition radiation from relativistic laser-solid interactions. Phys. Rev. Lett. 2016, 116, 205003. [Google Scholar] [CrossRef] [Green Version]
- Liao, G.; Li, Y.; Liu, H.; Scott, G.G.; Neely, D.; Zhang, Y.; Zhu, B.; Zhang, Z.; Armstrong, C.; Zemaityte, E.; et al. Multimillijoule coherent terahertz bursts from picosecond laser-irradiated metal foils. Proc. Natl. Acad. Sci. USA 2019, 116, 3994–3999. [Google Scholar] [CrossRef] [Green Version]
- Mondal, S.; Wei, Q.; Ding, W.; Hafez, H.A.; Fareed, M.; Laramée, A.; Ropagnol, X.; Zhang, G.; Sun, S.; Sheng, Z.; et al. Aligned copper nanorod arrays for highly efficient generation of intense ultra-broadband THz pulses. Sci. Rep. 2017, 7, 40058. [Google Scholar] [CrossRef] [Green Version]
- Liao, G.Q.; Liu, H.; Scott, G.G.; Zhang, Y.H.; Zhu, B.J.; Zhang, Z.; Li, Y.T.; Armstrong, C.; Zemaityte, E.; Bradford, P.; et al. Towards terawatt-scale spectrally tunable terahertz pulses via relativistic laser-foil interactions. Phys. Rev. X 2020, 10, 031062. [Google Scholar] [CrossRef]
- Potylitsyn, A.P.; Ryazanov, M.I.; Strikhanov, M.N.; Tishchenko, A.A. Radiation from relativistic particles. In Diffraction Radiation from Relativistic Particles; Springer: Berlin/Heidelberg, Germany, 2010; pp. 1–28. [Google Scholar]
- Yi, L.; Fülöp, T. Coherent diffraction radiation of relativistic terahertz pulses from a laser-driven microplasma waveguide. Phys. Rev. Lett. 2019, 123, 094801. [Google Scholar] [CrossRef] [Green Version]
- Pitarke, J.; Silkin, V.; Chulkov, E.; Echenique, P. Theory of surface plasmons and surface-plasmon polaritons. Rep. Prog. Phys. 2006, 70, 1. [Google Scholar] [CrossRef]
- Riconda, C.; Raynaud, M.; Vialis, T.; Grech, M. Simple scalings for various regimes of electron acceleration in surface plasma waves. Phys. Plasmas 2015, 22, 073103. [Google Scholar] [CrossRef] [Green Version]
- Fedeli, L.; Sgattoni, A.; Cantono, G.; Garzella, D.; Réau, F.; Prencipe, I.; Passoni, M.; Raynaud, M.; Květoň, M.; Proska, J.; et al. Electron acceleration by relativistic surface plasmons in laser-grating interaction. Phys. Rev. Lett. 2016, 116, 015001. [Google Scholar] [CrossRef] [PubMed] [Green Version]
- Macchi, A. Surface plasmons in superintense laser-solid interactions. Phys. Plasmas 2018, 25, 031906. [Google Scholar] [CrossRef] [Green Version]
- Ma, Y.Y.; Sheng, Z.M.; Li, Y.T.; Chang, W.W.; Yuan, X.H.; Chen, M.; Wu, H.C.; Zheng, J.; Zhang, J. Dense quasi-monoenergetic attosecond electron bunches from laser interaction with wire and slice targets. Phys. Plasmas 2006, 13, 110702. [Google Scholar] [CrossRef]
- Nakajima, H.; Tokita, S.; Inoue, S.; Hashida, M.; Sakabe, S. Divergence-free transport of laser-produced fast electrons along a meter-long wire target. Phys. Rev. Lett. 2013, 110, 155001. [Google Scholar] [CrossRef]
- Hu, L.X.; Yu, T.P.; Sheng, Z.M.; Vieira, J.; Zou, D.B.; Yin, Y.; McKenna, P.; Shao, F.Q. Attosecond electron bunches from a nanofiber driven by Laguerre–Gaussian laser pulses. Sci. Rep. 2018, 8, 7282. [Google Scholar] [CrossRef] [Green Version]
- Zeng, Y.; Tian, Y.; Zhou, C.; Li, Z.; Liu, J.; Xu, Z. Experimental study on laser-driven electron collimation along wire targets. Phys. Plasmas 2019, 26, 012701. [Google Scholar] [CrossRef]
- Zeng, Y.; Zhou, C.; Qi, R.; Li, Z.; Sun, H.; Tian, Y.; Liu, J.; Xu, Z. Experimental optimization of the hundred-keV electron source from laser-driven wire target. Laser Part. Beams 2020, 38, 94–100. [Google Scholar] [CrossRef]
- Ong, J.; Ghenuche, P.; Tanaka, K. Electron transport in a nanowire irradiated by an intense laser pulse. Phys. Rev. Res. 2021, 3, 033262. [Google Scholar] [CrossRef]
- Ma, Y.; Sheng, Z.; Gu, Y.; Yu, M.; Yin, Y.; Shao, F.; Yu, T.; Chang, W. High-quality MeV protons from laser interaction with umbrellalike cavity target. Phys. Plasmas 2009, 16, 034502. [Google Scholar]
- Wang, F.; Shen, B.; Zhang, X.; Jin, Z.; Wen, M.; Ji, L.; Wang, W.; Xu, J.; Yu, M.; Cary, J. High-energy monoenergetic proton bunch from laser interaction with a complex target. Phys. Plasmas 2009, 16, 093112. [Google Scholar] [CrossRef]
- Haider, M.M.; Sheng, Z.M. Collimated proton beam from an ultra-intense laser pulse irradiating parallel to the plasma interface. AIP Adv. 2021, 11, 035221. [Google Scholar] [CrossRef]
- Shen, X.; Pukhov, A.; Qiao, B. Monoenergetic High-Energy Ion Source via Femtosecond Laser Interacting with a Microtape. Phys. Rev. X 2021, 11, 041002. [Google Scholar] [CrossRef]
- Li, H.Z.; Yu, T.P.; Hu, L.X.; Yin, Y.; Zou, D.B.; Liu, J.X.; Wang, W.Q.; Hu, S.; Shao, F.Q. Ultra-bright γ-ray flashes and dense attosecond positron bunches from two counter-propagating laser pulses irradiating a micro-wire target. Opt. Express 2017, 25, 21583–21593. [Google Scholar] [CrossRef] [PubMed]
- Wang, W.M.; Sheng, Z.M.; Gibbon, P.; Chen, L.M.; Li, Y.T.; Zhang, J. Collimated ultrabright gamma rays from electron wiggling along a petawatt laser-irradiated wire in the QED regime. Proc. Natl. Acad. Sci. USA 2018, 115, 9911–9916. [Google Scholar] [CrossRef] [PubMed] [Green Version]
- Tokita, S.; Sakabe, S.; Nagashima, T.; Hashida, M.; Inoue, S. Strong sub-terahertz surface waves generated on a metal wire by high-intensity laser pulses. Sci. Rep. 2015, 5, 8268. [Google Scholar] [CrossRef] [PubMed] [Green Version]
- Tian, Y.; Liu, J.; Bai, Y.; Zhou, S.; Sun, H.; Liu, W.; Zhao, J.; Li, R.; Xu, Z. Femtosecond-laser-driven wire-guided helical undulator for intense terahertz radiation. Nat. Photonics 2017, 11, 242–246. [Google Scholar] [CrossRef]
- Teramoto, K.; Tokita, S.; Terao, T.; Inoue, S.; Yasuhara, R.; Nagashima, T.; Kojima, S.; Kawanaka, J.; Mori, K.; Hashida, M.; et al. Half-cycle terahertz surface waves with MV/cm field strengths generated on metal wires. Appl. Phys. Lett. 2018, 113, 051101. [Google Scholar] [CrossRef]
- Zeng, Y.; Zhou, C.; Song, L.; Lu, X.; Li, Z.; Ding, Y.; Bai, Y.; Xu, Y.; Leng, Y.; Tian, Y.; et al. Guiding and emission of milijoule single-cycle THz pulse from laser-driven wire-like targets. Opt. Express 2020, 28, 15258–15267. [Google Scholar] [CrossRef]
- Zhuo, H.; Zhang, S.; Li, X.; Zhou, H.; Li, X.; Zou, D.; Yu, M.; Wu, H.; Sheng, Z.; Zhou, C. Terahertz generation from laser-driven ultrafast current propagation along a wire target. Phys. Rev. E 2017, 95, 013201. [Google Scholar] [CrossRef] [Green Version]
- Arber, T.; Bennett, K.; Brady, C.; Lawrence-Douglas, A.; Ramsay, M.; Sircombe, N.; Gillies, P.; Evans, R.; Schmitz, H.; Bell, A.; et al. Contemporary particle-in-cell approach to laser-plasma modelling. Plasma Phys. Control. Fusion 2015, 57, 113001. [Google Scholar] [CrossRef]
- Ammosov, M.V.; Delone, N.B.; Krainov, V.P. Tunnel ionization of complex atoms and of atomic ions in an alternating electromagnetic field. Sov. J. Exp. Theor. Phys. 1986, 64, 1191. [Google Scholar]
- Shen, X.; Qiao, B.; Zhang, H.; Xie, Y.; Kar, S.; Borghesi, M.; Zepf, M.; Zhou, C.; Zhu, S.; He, X. Electrostatic capacitance-type acceleration of ions with an intense few-cycle laser pulse. Appl. Phys. Lett. 2019, 114, 144102. [Google Scholar] [CrossRef] [Green Version]
- Kemp, A.J.; Sentoku, Y.; Sotnikov, V.; Wilks, S. Collisional relaxation of superthermal electrons generated by relativistic laser pulses in dense plasma. Phys. Rev. Lett. 2006, 97, 235001. [Google Scholar] [CrossRef] [PubMed]
- Luan, S.; Yu, W.; Li, F.; Wu, D.; Sheng, Z.; Yu, M.; Zhang, J. Laser propagation in dense magnetized plasma. Phys. Rev. E 2016, 94, 053207. [Google Scholar] [CrossRef] [Green Version]
- Korneev, P.; d’Humières, E.; Tikhonchuk, V. Gigagauss-scale quasistatic magnetic field generation in a snail-shaped target. Phys. Rev. E 2015, 91, 043107. [Google Scholar] [CrossRef] [Green Version]
- Price, D.; More, R.; Walling, R.; Guethlein, G.; Shepherd, R.; Stewart, R.; White, W. Absorption of ultrashort laser pulses by solid targets heated rapidly to temperatures 1–1000 eV. Phys. Rev. Lett. 1995, 75, 252. [Google Scholar] [CrossRef]
- Raynaud, M.; Kupersztych, J.; Riconda, C.; Adam, J.; Heron, A. Strongly enhanced laser absorption and electron acceleration via resonant excitation of surface plasma waves. Phys. Plasmas 2007, 14, 092702. [Google Scholar] [CrossRef] [Green Version]
- Pukhov, A.; Meyer-ter Vehn, J. Laser wake field acceleration: The highly non-linear broken-wave regime. Appl. Phys. B 2002, 74, 355–361. [Google Scholar] [CrossRef]
- Herzer, S.; Woldegeorgis, A.; Polz, J.; Reinhard, A.; Almassarani, M.; Beleites, B.; Ronneberger, F.; Grosse, R.; Paulus, G.; Hübner, U.; et al. An investigation on THz yield from laser-produced solid density plasmas at relativistic laser intensities. New J. Phys. 2018, 20, 063019. [Google Scholar] [CrossRef]
- Hilz, P.; Ostermayr, T.; Huebl, A.; Bagnoud, V.; Borm, B.; Bussmann, M.; Gallei, M.; Gebhard, J.; Haffa, D.; Hartmann, J.; et al. Isolated proton bunch acceleration by a petawatt laser pulse. Nat. Commun. 2018, 9, 423. [Google Scholar] [CrossRef] [PubMed]
- Danson, C.N.; Haefner, C.; Bromage, J.; Butcher, T.; Chanteloup, J.C.F.; Chowdhury, E.A.; Galvanauskas, A.; Gizzi, L.A.; Hein, J.; Hillier, D.I.; et al. Petawatt and exawatt class lasers worldwide. High Power Laser Sci. Eng. 2019, 7. [Google Scholar] [CrossRef]









Publisher’s Note: MDPI stays neutral with regard to jurisdictional claims in published maps and institutional affiliations. |
© 2022 by the authors. Licensee MDPI, Basel, Switzerland. This article is an open access article distributed under the terms and conditions of the Creative Commons Attribution (CC BY) license (https://creativecommons.org/licenses/by/4.0/).
Share and Cite
Zhang, J.; Ban, X.; Wan, F.; Lv, C. Terahertz Emission Enhanced by a Laser Irradiating on a T-Type Target. Appl. Sci. 2022, 12, 4464. https://doi.org/10.3390/app12094464
Zhang J, Ban X, Wan F, Lv C. Terahertz Emission Enhanced by a Laser Irradiating on a T-Type Target. Applied Sciences. 2022; 12(9):4464. https://doi.org/10.3390/app12094464
Chicago/Turabian StyleZhang, Ji, Xiaona Ban, Feng Wan, and Chong Lv. 2022. "Terahertz Emission Enhanced by a Laser Irradiating on a T-Type Target" Applied Sciences 12, no. 9: 4464. https://doi.org/10.3390/app12094464
APA StyleZhang, J., Ban, X., Wan, F., & Lv, C. (2022). Terahertz Emission Enhanced by a Laser Irradiating on a T-Type Target. Applied Sciences, 12(9), 4464. https://doi.org/10.3390/app12094464
