Reliability-Based Topology Optimization: An Extension of the SESO and SERA Methods for Three-Dimensional Structures
Abstract
:1. Introduction
2. Evolutionary Methods
2.1. Topology Optimization Formulation
2.2. Filter Scheme
2.3. Sensibility Number
2.4. Convergence Criterion
3. Reliability-Based Topology Optimization
3.1. Failure Probability
3.2. General Formulation
3.3. Performance Index and RBTO Formulation for Evolutionary Methods
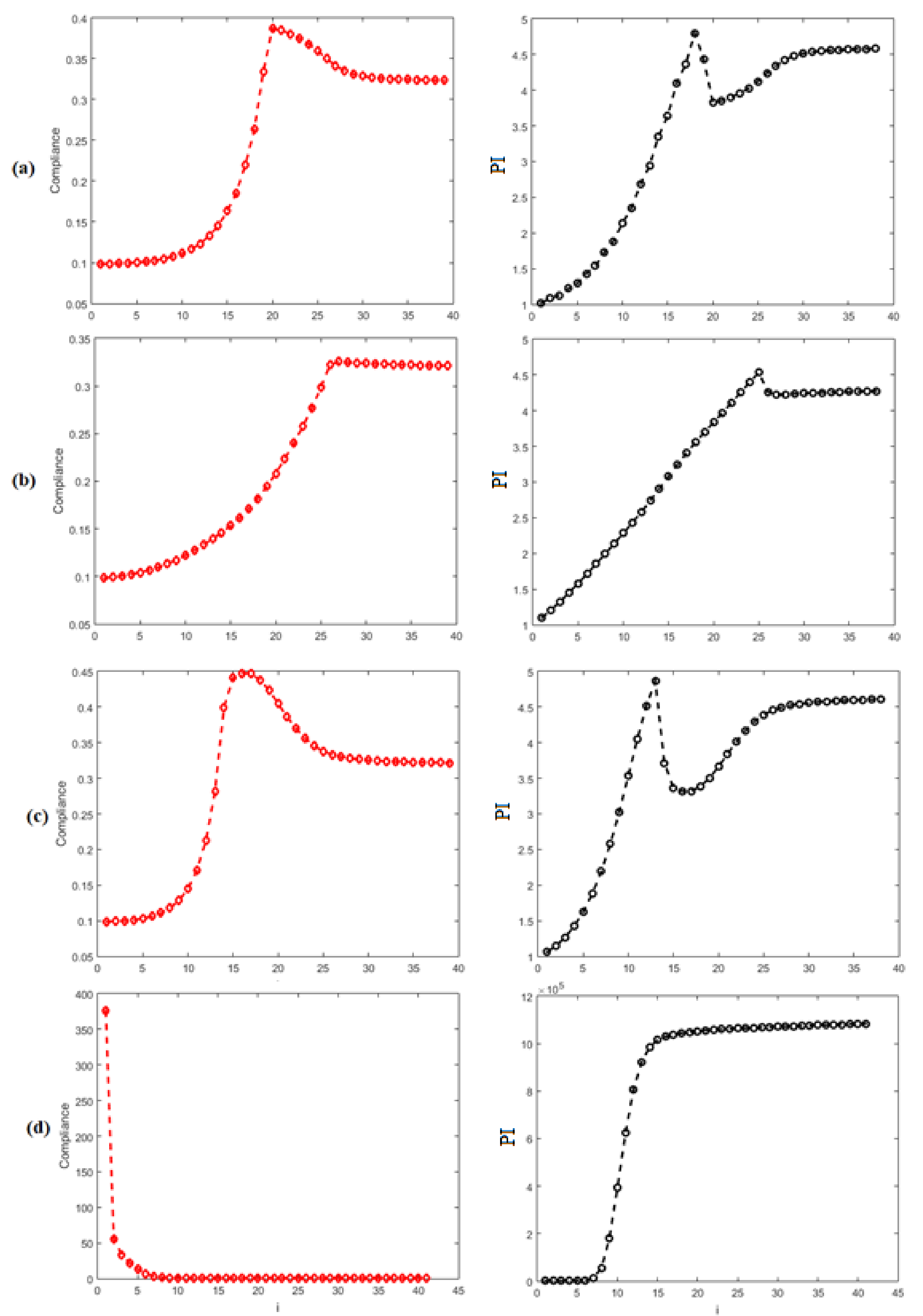
4. Numerical Examples
4.1. Example 1—Cantilever Beam
4.2. Example 2—MBB Beam
4.3. Example 3—MBB beam
4.4. Example 4—An Optimal Bridge
5. Discussion
- (1)
- Insertion of the preconditioner for solving the linear system provided efficiency in computational memory, allowing large-scale problems to be solved.
- (2)
- The probabilistic analysis loop is fully decoupled from the optimization loop for easy code implementation, making the computational cost much lower than DTO analysis.
- (3)
- The compliance constraints, displacement, performance index, and limit state functions, when used, are inserted into the OT loop in a simple way.
- (1)
- The MBB beam’s DTO analysis has a reliability index, , which means that the optimal structure has a failure probability equal to , achieved when the displacement constraint is violated.
- (2)
- The RBTO analysis produces optimal topologies with lower volume and more rigidity than those proposed by DTO, as already described in this study.
- (3)
- The results showed that a change in the target reliability index changes the optimized topology in two ways: the division of the members and the members’ spacing in the structure. These trends are observed when the reliability index .
6. Conclusions
Author Contributions
Funding
Institutional Review Board Statement
Data Availability Statement
Acknowledgments
Conflicts of Interest
References
- Liu, K.; Tovar, A. An efficient 3D topology optimization code written in Matlab. Struct. Multidiscip. Optim. 2014, 50, 1175–1196. [Google Scholar] [CrossRef] [Green Version]
- Huang, X.; Xie, Y.M. Bi-directional evolutionary topology optimization of continuum structures with one or multiple materials. Comput. Mech. 2009, 43, 393–401. [Google Scholar] [CrossRef]
- Zegard, T.; Paulino, G.H. GRAND3—ground structure based topology optimization for arbitrary 3D domains using MATLAB. Struct. Multidiscip. Optim. 2015, 52, 1161–1184. [Google Scholar] [CrossRef]
- Zegard, T.; Paulino, G.H. Bridging topology optimization and additive manufacturing. Struct. Multidiscip. Optim. 2016, 53, 175–192. [Google Scholar] [CrossRef]
- Gebremedhen, H.S.; Woldemicahel, D.E.; Hashim, F.M. Three-dimensional stress-based topology optimization using SIMP method. Int. J. Simul. Multidiscip. Des. Optim. 2019, 10, A1. [Google Scholar] [CrossRef]
- Borrvall, T.; Petersson, J. Large-scale topology optimization in 3D using parallel computing. Comput. Methods Appl. Mech. Eng. 2001, 190, 6201–6229. [Google Scholar] [CrossRef]
- Zuo, Z.H.; Xie, Y.M. A simple and compact Python code for complex 3D topology optimization. Adv. Eng. Softw. 2015, 85, 1–11. [Google Scholar] [CrossRef]
- Langelaar, M. Topology optimization of 3D self-supporting structures for additive. Addit. Manuf. 2016, 12, 60–70. [Google Scholar] [CrossRef] [Green Version]
- Pietrenko-Dabrowska, A.; Koziel, K.; Al-Hasan, M. Expedited Yield Optimization of Narrow- and Multi-Band Antennas Using Performance-Driven Surrogates. IEEE Access 2020, 8, 2169–3536. [Google Scholar] [CrossRef]
- Pietrenko-Dabrowska1, A.; Koziel, S. Globalized parametric optimization of microwave components by means of response features and inverse metamodels. Sci. Rep. 2021, 11, 1–18. [Google Scholar]
- Koziel, S.; Pietrenko-Dabrowska, A. Expedited feature-based quasi-global optimization of multi-band antenna input characteristics with Jacobean variability tracking. IEEE Access 2020, 8, 83907–83915. [Google Scholar] [CrossRef]
- Tomasson, J.A.; Pietrenko-Dabrowska, A.; Koziel, S. Expedited Globalized Antenna Optimization by Principal Components and Variable-Fidelity EM Simulations: Application to Microstrip Antenna Design. Electronics 2020, 9, 673. [Google Scholar] [CrossRef] [Green Version]
- Maute, K.; Frangopol, D.M. Reliability-based design of MEMS mechanisms by topology optimization. Comp. Struct. 2003, 81, 813–824. [Google Scholar] [CrossRef]
- Allen, M.; Raulli, M.; Maute, K.; Frangopol, D.M. Reliability-based analysis and design optimization of electrostatically actuated MEMS. Comp. Struct. 2004, 82, 1007–1020. [Google Scholar] [CrossRef]
- Kang, J.; Kim, C.; Wang, S. Reliability-based topology optimization for electromagnetic systems. COMPEL: Int. J. Comput. Math. Elec. Electron. Eng. 2004, 23, 715–723. [Google Scholar] [CrossRef]
- Kharmanda, G.; Olhoff, N.; Mohamed, A.; Lemaire, M. Reliability based topology optimization. Struct. Multidiscip. Optim. 2004, 26, 295–307. [Google Scholar] [CrossRef]
- Kim, C.; Wang, S.; Rae, K.; Moon, H.; Choi, K.K. Reliability-based topology optimization with uncertainties. J. Mech. Sci. Technol. 2006, 20, 494–504. [Google Scholar] [CrossRef]
- Guest, J.K.; Igusa, T. Structural optimization under uncertain loads and nodal locations. Comput. Methods Appl. Mech. Eng. 2008, 198, 116–124. [Google Scholar] [CrossRef]
- Rozvany, G.I.N. Exact analytical solutions for benchmark problems in probabilistic topology optimization. In Proceedings of the EngOpt 2008—International Conference on Engineering Optimization, Rio de Janeiro, Brazil, 1–5 June 2008. [Google Scholar]
- Lógó, J.; Ghaemi, M.; Rad, M.M. Optimal topologies in case of probabilistic loading: The influence of load correlation. Mech. Based Des. Struct. Mach. 2009, 37, 327–348. [Google Scholar] [CrossRef]
- Luo, Y.; Kang, Z.; Luo, Z.; Li, A. Continuum topology optimization with non-probabilistic reliability constraints based on multi-ellipsoid convex model. Struct. Multidiscip. Optim. 2009, 39, 297–310. [Google Scholar] [CrossRef]
- Chen, S.; Chen, W.; Lee, S. Level set based robust shape and topology optimization under random field uncertainties. Struct. Multidiscip. Optim. 2010, 41, 507–524. [Google Scholar] [CrossRef]
- Jalalpour, M.; Guest, J.K.; Igusa, T. Reliability-based topology optimization of trusses with stochastic stiffness. Struct. Saf. 2013, 43, 41–49. [Google Scholar] [CrossRef] [Green Version]
- Eom, Y.S.; Yoo, K.S.; Park, J.Y.; Han, S.Y. Reliability-based topology optimization using a standard response surface method for three-dimensional structures. Struct. Multidiscip. Optim. 2011, 43, 287–295. [Google Scholar] [CrossRef]
- Chun, J.; Park, D.; Lee, J. TOPO-Joint: Reliability-based topology optimization for 3D-printed building joints. In Proceedings of the 13th International Conference on Applications of Statistics and Probability in Civil Engineering, ICASP, Seoul, Korea, 26–30 May 2019. [Google Scholar]
- López, C.; Baldomir, A.; Hernández, S. The relevance of reliability-based topology optimization in early design stages of aircraft structures. Struct. Multidiscip. Optim. 2018, 57, 417–439. [Google Scholar] [CrossRef]
- Silva, G.A.; Beck, A.T. Reliability-based topology optimization of continuum structures subject to local stress constraints. Struct. Multidiscip. Optim. 2018, 57, 2339–2355. [Google Scholar] [CrossRef]
- Kharmanda, G.; Gowid, S.; Shokry, A. Reliability-based topology optimization using inverse optimum safety factor approaches. Alex. Eng. J. 2020, 59, 4577–4592. [Google Scholar] [CrossRef]
- Chun, J. Reliability-Based Design Optimization of Structures Using Complex-Step Approximation with Sensitivity Analysis. Appl. Sci. 2021, 11, 4708. [Google Scholar] [CrossRef]
- Pouraminian, M.; Ghaemian, M. Shape optimisation of concrete open spandrel arch bridges. Građevinar 2015, 67, 1177–1185. [Google Scholar]
- He, Z.C.; Wu, Y.; Li, E. Topology optimization of structure for dynamic properties considering hybrid uncertain parameters. Struct. Multidiscip. Optim. 2018, 57, 625–638. [Google Scholar] [CrossRef] [Green Version]
- Pérez-Rúa, J.A.; Lumbreras, S.; Ramos, A.; Cutululis, N.A. Reliability-based topology optimization for offshore wind farm collection system. Wind Energy 2022, 25, 52–70. [Google Scholar] [CrossRef]
- Pouraminian, M.; Pourbakhshian, S.; Yousefzadeh, H.; Farsangi, E.N. Reliability-based linear analysis of low-rise RC frames under earthquake excitation. J. Build. Pathol. Rehabil. 2021, 6, 1–8. [Google Scholar] [CrossRef]
- Pouraminian, M. Multi-hazard reliability assessment of historical brick minarets. J. Build. Pathol. Rehabil. 2022, 7, 1–12. [Google Scholar] [CrossRef]
- Xie, Y.M.; Steven, G.P. A simple evolutionary procedure for structural optimization. Comput. Struct. 1993, 49, 885–896. [Google Scholar] [CrossRef]
- Ghabraie, K. The ESO method revisited. Struct. Multidiscip. Optim. 2015, 51, 1211–1222. [Google Scholar] [CrossRef]
- Simonetti, H.L.; Almeida, V.S.; Oliveira Neto, L. A smooth evolutionary structural optimization procedure applied to plane stress problem. Eng. Struct. 2014, 75, 248–258. [Google Scholar] [CrossRef]
- Rozvany, G.I.N.; Querin, O. Sequential Element Rejections and Admissions (SERA) Method: Applications to Multiconstraint Problems. In Proceedings of the 10th AIAA/ISSMO Multidisciplinary Analysis and Optimization Conference, Albany, NY, USA, 30 August–1 September 2004. [Google Scholar]
- Loyola, R.A.; Querin, O.M.; Jiménez, A.G.; Gordoa, C.A. A sequential element rejection and admission (SERA) topology optimization code written in Matlab. Struct. Multidiscip. Optim. 2018, 58, 1297–1310. [Google Scholar] [CrossRef]
- Simonetti, H.L.; Almeida, V.S.; das Neves, F.D.A.; Almeida, V.D.D. Topology Optimization for Elastic Analysis of 3D Structures using Evolutionary Methods. In Proceedings of the XL Ibero-Latin-American Congress on Computational Methods in Engineering, ABMEC, Natal, Brazil, 11–14 November 2019. [Google Scholar]
- Sotola, M.; Marsalek, P.; Rybansky, D.; Fusek, M.; Gabriel, D. Sensitivity analysis of key formulations of topology optimization on an example of cantilever bending beam. Symmetry 2021, 13, 712. [Google Scholar] [CrossRef]
- Bendsøe, M.P.; Sigmund, O. Topology Optimization—Theory, Methods and Applications; Springer: Berlin/Heidelberg, Germany, 2003. [Google Scholar]
- Sigmund, O.; Peterson, J. Numerical instabilities in topology optimization: A survey on procedures dealing with checkerboards, mesh-dependencies and local minima. Struct. Optim. 1998, 16, 68–75. [Google Scholar] [CrossRef]
- Bruns, T.E.; Tortorelli, D.A. Topology optimization of non-linear elastic structures and compliant mechanisms. Comput. Methods Appl. Mech. Eng. 2001, 190, 3443–3459. [Google Scholar] [CrossRef]
- Du, X. First and second order reliability methods. In Lectures Notes in Probabilistic Engineering Design; University of Missouri: Rolla, MO, USA, 2005. [Google Scholar]
- Hasofer, A.M.; Lind, N.C. An exact and invariant first order reliability format. J. Eng. Mech. Div. Proc. ASCE 1974, 100, 111–121. [Google Scholar] [CrossRef]
- Choi, S.K.; Grandhi, R.V.; Canfield, R.A. Reliability-Based Structural Design; Springer: New York, NY, USA, 2006. [Google Scholar]
- Choi, K.K.; Yu, X.; Chang, K.H. A Mixed Design Approach for Probabilistic Structural Durability. In Proceedings of the Sixth AIAA/USAF/NASA/ISSMO Symposium on Multidisciplinary Analysis and Optimization, Bellevue, WA, USA, 4–6 September 1996. [Google Scholar]
- Liang, Q.Q. Performance-Based Optimization: A Review. Adv. Struct. Eng. 2007, 10, 739–753. [Google Scholar] [CrossRef] [Green Version]
- Liang, Q.Q. Performance-Based Optimization of Structures: Theory and Applications; CRC Press: Boca Raton, FL, USA, 2004. [Google Scholar]
- Cui, C.; Ohmori, H.; Sasaki, M. Computational Morphogenesis of 3D Structures by Extended ESO Method. J. Int. Assoc. Shell Spat. Struct. IASS 2003, 44, 51–61. [Google Scholar]
- Mozumder, C.; Patel, N.; Tillotson, D.; Renaud, J.; Tovar, A. An Investigation of Reliability-Based Topology Optimization. In Proceedings of the 11th AIAA/ISSMO Multidisciplinary Analysis and Optimization Conference, Portsmouth, VA, USA, 6–8 September 2006; p. 7058. [Google Scholar]


















| Method | Vol % (mm³) | OF (N·mm) | Displacement (mm) | Computational Cost (sec) |
|---|---|---|---|---|
| RBTO-ESO | 6.4 | 0.3236 | 0.00322 | 2142.51 |
| RBTO-SESO | 6.4 | 0.3216 | 0.00320 | 2181.61 |
| RBTO-SERA | 6.4 | 0.3214 | 0.00320 | 2354.01 |
| RBTO-SIMP | 6.4 | 0.3612 | 0.00360 | 2512.45 |
| RBTO-SRSM | 7.8 | - | 0.05274 | - |
| DTO-ESO | 6.8 | 0.3031 | 0.00303 | 2180.25 |
| DTO-SESO | 6.8 | 0.3031 | 0.00303 | 2166.45 |
| DTO-SERA | 6.8 | 0.3029 | 0.00303 | 2412.76 |
| DTO-SIMP | 6.8 | 0.3379 | 0.00338 | 2695.03 |
| DTO-SRSM | 6.8 | - | 0.059648 | - |
| Method | Vol % (mm³) | Objective Function (N·mm) | Displacement (mm) | Computational Cost (Sec) |
|---|---|---|---|---|
| RBTO-ESO | 0.202 | 0.5578 | 0.00558 | 1288.04 |
| RBTO-SESO | 0.202 | 0.6556 | 0.00655 | 1427.02 |
| RBTO-SERA | 0.202 | 0.6560 | 0.00656 | 859.23 |
| RBTO-SIMP | 0.202 | 0.7089 | 0.00709 | 2274.65 |
| Variable | Average | Standard Deviation | Distribution |
|---|---|---|---|
| ) | 100 | 10 | Normal |
| ) | Normal | ||
| ) | Normal | ||
| nelx (length) (mm) | 120 | 12 | Normal |
| nely (height) (mm) | 20 | 2.0 | Normal |
| nelz (width) (mm) | 20 | 2.0 | Normal |
| volume (mm³) | 0.20 | 0.02 | Normal |
| Distribution Parameter | Distribution Type | Mean | Standard Deviation |
|---|---|---|---|
| nelx (mm) | Normal | 140 | 0.1 |
| nely (mm) | Normal | 20 | 0.1 |
| nelz (mm) | Normal | 10 | 0.1 |
| E(GPa) | Normal | 210 | 0.1 |
| Constant | 0.30 | 0 | |
| P (100 N/m²) | Normal | 100 | 0.1 |
| Volume (mm³) | Normal | 0.25 | 0.1 |
| Compliance (N·mm) | Normal | 21.2080 | 0.1 |
| Reliability Index | Number of Iterations (Reliability) | Number of Iterations (Optimization Procedure) | Number of Iterations RBTO Method (Classic) |
|---|---|---|---|
| 1.0 | 2 | 52 | 104 |
| 2.0 | 5 | 53 | 265 |
| 3.0 | 8 | 53 | 424 |
| 4.0 | 10 | 52 | 520 |
| 5.0 | 13 | 53 | 689 |
| 6.0 | 16 | 53 | 848 |
| Method | Vol % (mm³) | Objective Function (N·mm) | Displacement (mm) | Computational Cost (Sec) |
|---|---|---|---|---|
| RBTO-ESO | 0.225 | 33.9079 | 0.00103 | 605.35 |
| RBTO-SESO | 0.225 | 33.9079 | 0.00103 | 599.95 |
| RBTO-SERA | 0.225 | 33.8961 | 0.00040 | 569.07 |
| RBTO-SIMP | 0.225 | 38.0150 | 0.00039 | 829.61 |
| DTO-ESO | 0.250 | 21.2080 | 0.00023 | 545.53 |
| DTO-SESO | 0.250 | 21.2082 | 0.00023 | 477.20 |
| DTO-SERA | 0.250 | 21.2519 | 0.00023 | 494.78 |
| DTO-SIMP | 0.250 | 23.6441 | 0.00027 | 700.37 |
Publisher’s Note: MDPI stays neutral with regard to jurisdictional claims in published maps and institutional affiliations. |
© 2022 by the authors. Licensee MDPI, Basel, Switzerland. This article is an open access article distributed under the terms and conditions of the Creative Commons Attribution (CC BY) license (https://creativecommons.org/licenses/by/4.0/).
Share and Cite
Simonetti, H.L.; Almeida, V.S.; de Assis das Neves, F.; Del Duca Almeida, V.; de Oliveira Neto, L. Reliability-Based Topology Optimization: An Extension of the SESO and SERA Methods for Three-Dimensional Structures. Appl. Sci. 2022, 12, 4220. https://doi.org/10.3390/app12094220
Simonetti HL, Almeida VS, de Assis das Neves F, Del Duca Almeida V, de Oliveira Neto L. Reliability-Based Topology Optimization: An Extension of the SESO and SERA Methods for Three-Dimensional Structures. Applied Sciences. 2022; 12(9):4220. https://doi.org/10.3390/app12094220
Chicago/Turabian StyleSimonetti, Hélio Luiz, Valério Silva Almeida, Francisco de Assis das Neves, Vírgil Del Duca Almeida, and Luttgardes de Oliveira Neto. 2022. "Reliability-Based Topology Optimization: An Extension of the SESO and SERA Methods for Three-Dimensional Structures" Applied Sciences 12, no. 9: 4220. https://doi.org/10.3390/app12094220
APA StyleSimonetti, H. L., Almeida, V. S., de Assis das Neves, F., Del Duca Almeida, V., & de Oliveira Neto, L. (2022). Reliability-Based Topology Optimization: An Extension of the SESO and SERA Methods for Three-Dimensional Structures. Applied Sciences, 12(9), 4220. https://doi.org/10.3390/app12094220

