The Physicochemical Properties, Volatile Compounds and Taste Profile of Black Garlic (Allium sativum L.) Cloves, Paste and Powder
Abstract
:1. Introduction
2. Materials and Methods
2.1. Materials
2.2. Methods
2.2.1. Dry Matter and Moisture Content, Water Activity, pH, Soluble Solids Content (°Brix)
2.2.2. Total Polyphenols Content and Antioxidant Activity
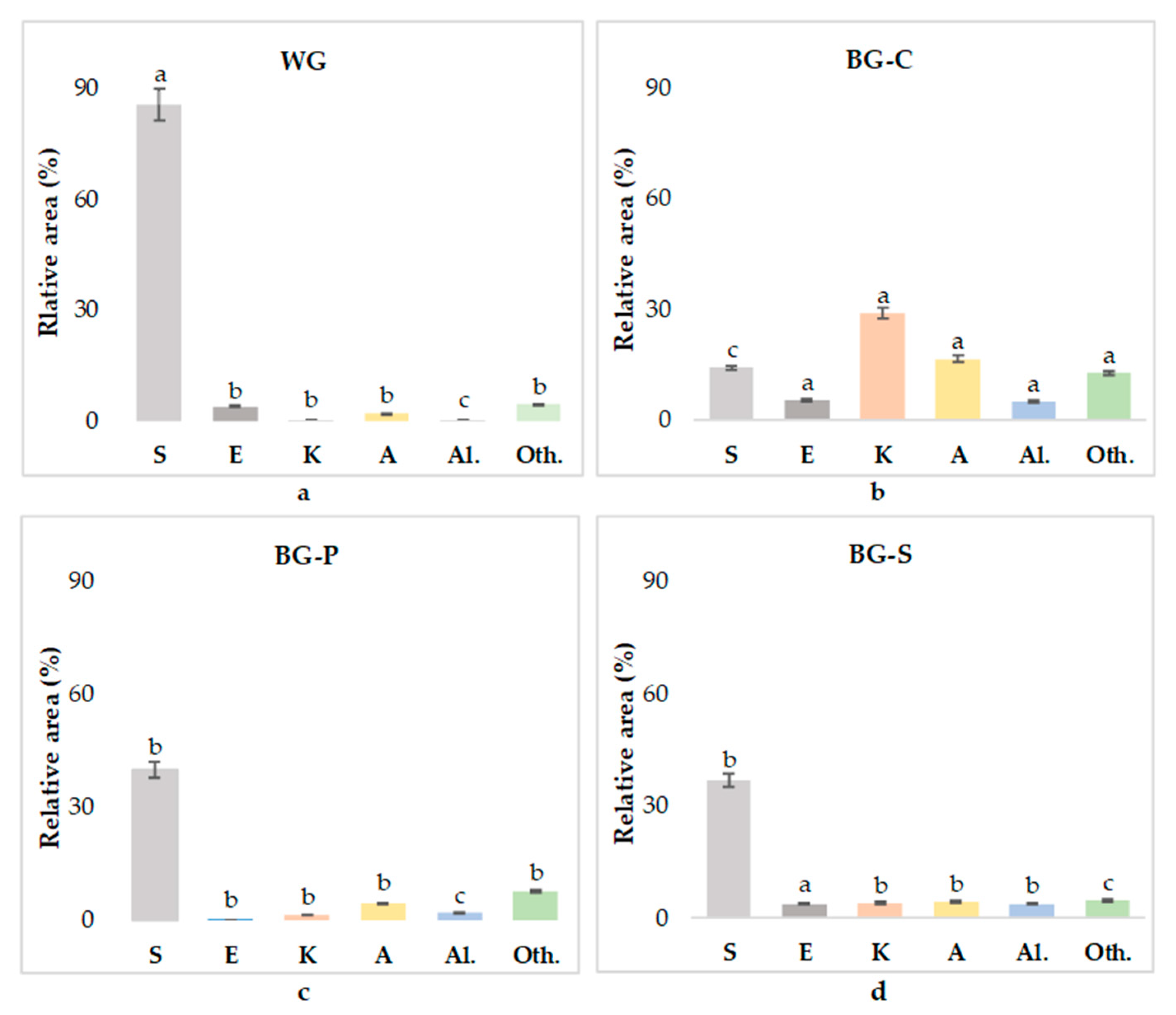
2.2.3. Volatile Compounds
2.2.4. Taste Profile
2.2.5. Instrumental Color Measurement
2.2.6. Statistical Analysis
3. Results and Discussion
4. Conclusions
Author Contributions
Funding
Institutional Review Board Statement
Informed Consent Statement
Data Availability Statement
Conflicts of Interest
References
- Bayan, L.; Koulivand, P.H.; Gorji, A. Garlic: A review of potential therapeutic effects. Avicenna J. Phytomed. 2014, 4, 1–14. [Google Scholar] [CrossRef] [PubMed]
- Galeone, C.; Pelucchi, C.; Levi, F.; Negri, E.; Franceschi, S.; Talamini, R.; Giacosa, A.; La Vecchia, C. Onion and garlic use and human cancer. Am. J. Clin. Nutr. 2006, 84, 1027–1032. [Google Scholar] [CrossRef] [PubMed] [Green Version]
- Santhosha, S.G.; Prakash, J.; Prabhavathi, S.N. Bioactive components of garlic and their physiological role in health maintenance: A review. Food Biosci. 2013, 3, 59–74. [Google Scholar] [CrossRef]
- Shang, A.; Cao, S.Y.; Xu, X.Y.; Gan, R.Y.; Tang, G.Y.; Corke, H.; Mavumengwana, V.; Li, H.B. Bioactive compounds and biological functions of garlic (Allium sativum L.). Foods 2019, 8, 246. [Google Scholar] [CrossRef] [PubMed] [Green Version]
- Najman, K.; Leontowicz, H.; Leontowicz, M. The influence of plants from the Alliaceae family on morphological parameters of the intestine in atherogenic rats. Nutrients 2021, 13, 3876. [Google Scholar] [CrossRef]
- Najman, K.; Sadowska, A.; Buczak, K.; Leontowicz, H.; Leontowicz, M. Effect of heat-treated garlic (Allium sativum L.) on growth parameters, plasma lipid profile and histological changes in the ileum of atherogenic rats. Nutrients 2022, 14, 336. [Google Scholar] [CrossRef]
- Liu, Q.; Meng, X.; Li, Y.; Zhao, C.N.; Tang, G.Y.; Li, H.B. Antibacterial and antifungal activities of spices. Int. J. Mol. Sci. 2017, 18, 1283. [Google Scholar] [CrossRef] [Green Version]
- Bagul, M.; Kakumanu, S.; Wilson, T.A. Crude garlic extract inhibits cell proliferation and induces cell cycle arrest and apoptosis of cancer cells in vitro. J. Med. Food 2015, 18, 731–737. [Google Scholar] [CrossRef]
- González, R.E.; Soto, V.C.; Sance, M.M.; Camargo, A.B.; Galmarini, C.R. Variability of solids, organosulfur compounds, pungency and health-enhancing traits in garlic (Allium sativum L.) cultivars belonging to different ecophysiological groups. J. Agric. Food Chem. 2009, 57, 10282–10288. [Google Scholar] [CrossRef]
- Kodera, Y.; Suzuki, A.; Imada, O.; Kasuga, S.; Sumioka, I.; Kanazawa, A.; Toru, N.; Fujikawa, M.; Nassage, S.; Masamoto, K.; et al. Physical, chemical and biological properties of S-allylcysteine, an amino acid derived from garlic. J. Agric. Food Chem. 2002, 50, 622–632. [Google Scholar] [CrossRef]
- Amagase, H.; Petesch, B.L.; Matsuura, H.; Kasuga, S.; Itakura, Y. Intake of garlic and its bioactive compounds. J. Nutr. 2001, 131, 955–962. [Google Scholar] [CrossRef] [PubMed]
- Amagase, H. Clarifying the real bioactive constituents of garlic. J. Nutr. 2006, 136, 716–725. [Google Scholar] [CrossRef] [PubMed] [Green Version]
- Kimura, S.; Tung, Y.C.; Pan, M.H.; Su, N.W.; Lai, Y.J.; Cheng, K.C. Black garlic: A critical review of its production, bioactivity, and application. J. Food Drug Anal. 2017, 25, 62–70. [Google Scholar] [CrossRef] [PubMed] [Green Version]
- Choi, D.J.; Lee, S.J.; Kang, M.J.; Cho, H.S.; Sung, N.J.; Shin, J.H. Physicochemical characteristics of black garlic (Allium sativum L.). J. Korean Soc. Food Sci. Nutr. 2008, 37, 465–471. [Google Scholar] [CrossRef]
- Kang, O.J. Physicochemical characteristics of black garlic after different thermal processing steps. Prev. Nutr. Food Sci. 2016, 21, 348–354. [Google Scholar] [CrossRef] [PubMed] [Green Version]
- Toledano-Medina, M.A.; Pérez-Aparicio, J.; Moreno-Ortega, A.; Moreno-Rojas, R. Influence of variety and storage time of fresh garlic on the physicochemical and antioxidant properties of black garlic. Foods 2019, 8, 314. [Google Scholar] [CrossRef] [PubMed] [Green Version]
- Zhang, X.; Li, N.; Lu, X.; Liu, P.; Qiao, X. Effects of temperature on the quality of black garlic. J. Sci. Food Agric. 2016, 96, 2366–2372. [Google Scholar] [CrossRef]
- Bedrníček, J.; Laknerová, I.; Lorenc, F.; de Moraes, P.P.; Jarošová, M.; Samková, E.; Tříska, J.; Vrchotová, N.; Kadlec, J.; Smetana, P. The use of a thermal process to produce black garlic: Differences in the physicochemical and sensory characteristics using seven varieties of fresh garlic. Foods 2021, 10, 2703. [Google Scholar] [CrossRef]
- Yuan, H.; Sun, L.; Chen, M.; Wang, J. The comparison of the contents of sugar, Amadori, and Heyns compounds in fresh and black garlic. J. Food Sci. 2016, 81, 1662–1668. [Google Scholar] [CrossRef]
- Yuan, H.; Sun, L.; Chen, M.; Wang, J. An analysis of the changes on intermediate products during the thermal processing of black garlic. Food Chem. 2018, 239, 56–61. [Google Scholar] [CrossRef]
- Nakagawa, K.; Maeda, H.; Yamaya, Y.; Tonosaki, Y. Maillard reaction intermediates and related phytochemicals in black garlic determined by EPR and HPLC analyses. Molecules 2020, 25, 4578. [Google Scholar] [CrossRef] [PubMed]
- Chang, W.C.; Chen, Y.T.; Chen, H.J.; Hsieh, C.W.; Liao, P.C. Comparative UHPLC-Q-Orbitrap HRMS-based metabolomics unveils biochemical changes of black garlic during aging process. J. Agric. Food Chem. 2020, 68, 14049–14058. [Google Scholar] [CrossRef] [PubMed]
- Moreno-Ortega, A.; Pereira-Caro, G.; Ordóñez, J.L.; Moreno-Rojas, R.; Ortíz-Somovilla, V.; Moreno-Rojas, J.M. Bioaccessibility of bioactive compounds of ‘fresh garlic’ and ‘black garlic’ through in vitro gastrointestinal digestion. Foods 2020, 9, 1582. [Google Scholar] [CrossRef]
- Sunanta, P.; Chung, H.H.; Kunasakdakul, K.; Ruksiriwanich, W.; Jantrawut, P.; Hongsibsong, S.; Sommano, S.R. Genomic relatioship and physiochemical properties among raw materials used for Thai black garlic processing. Food Sci. Nutr. 2020, 8, 4534–4545. [Google Scholar] [CrossRef] [PubMed]
- Sunanta, P.; Pankasemsuk, T.; Jantanasakulwong, K.; Chaiyaso, T.; Leksawasdi, N.; Phimolsiripol, Y.; Rachtanapun, P.; Seesuriyachan, P.; Sommano, S.R. Does curing moisture content affect black garlic physiochemical quality? Horticulture 2021, 7, 535. [Google Scholar] [CrossRef]
- Ahmed, T.; Wang, C.K. Black Garlic and Its Bioactive Compounds on Human Health Diseases: A Review. Molecules 2021, 26, 5028. [Google Scholar] [CrossRef]
- Qiu, Z.; Zheng, Z.; Zhang, B.; Sun-Waterhouse, D.; Qiao, X. Formation, nutritional value, and enhancement of characteristic components in black garlic: A review for maximizing the goodness to humans. Compr. Rev. Food Sci. Food Saf. 2020, 19, 801–834. [Google Scholar] [CrossRef] [Green Version]
- Toledano-Medina, M.A.; Merinas-Amo, T.; Fernández-Bedmar, Z.; Rafael Font, R.; Del Río-Celestino, M.; Pérez-Aparicio, J.; Moreno-Ortega, A.; Alonso-Moraga, Á.; Moreno-Rojas, R. Physicochemical characterization and biological activities of black and white garlic: In vivo and in vitro assays. Foods 2019, 8, 220. [Google Scholar] [CrossRef] [Green Version]
- Xiong, F.; Dai, C.H.; Hou, F.R.; Zhu, P.P.; He, R.H.; Ma, H.L. Study on the ageing method and antioxidant activity of black garlic residues. Czech J. Food Sci. 2018, 36, 88–97. [Google Scholar] [CrossRef] [Green Version]
- Lu, X.; Li, N.; Qiao, X.; Qiu, Z.; Liu, P. Composition analysis and antioxidant properties of black garlic extract. J. Food Drug Anal. 2017, 25, 340–349. [Google Scholar] [CrossRef] [Green Version]
- Najman, K.; Sadowska, A.; Hallmann, E. Influence of thermal processing on the bioactive, antioxidant, and physicochemical properties of conventional and organic agriculture black garlic (Allium sativum L.). Appl. Sci. 2020, 10, 8638. [Google Scholar] [CrossRef]
- Najman, K.; Sadowska, A.; Hallmann, E. Evaluation of bioactive and physicochemical properties of white and black garlic (Allium sativum L.) from conventional and organic cultivation. Appl. Sci. 2021, 11, 874. [Google Scholar] [CrossRef]
- Yu, J.H.; Shan, Y.; Li, S.; Zhang, L.F. Potential contribution of Amadori compounds to antioxidant and angiotensin I converting enzyme inhibitory activities of raw and black garlic. LWT Food Sci. Technol. 2020, 129, 109553. [Google Scholar] [CrossRef]
- Afzaal, M.; Saeed, F.; Rasheed, R.; Hussain, M.; Aamir, M.; Hussain, S.; Mohamed, A.A.; Alamri, M.S.; Faqir, M.; Anjum, F.M. Nutritional, biological, and therapeutic properties of black garlic: A critical review. Int. J. Food Prop. 2021, 24, 1387–1402. [Google Scholar] [CrossRef]
- Karnjanapratum, S.; Supapvanich, S.; Kaewthong, P.; Takeungwongtrakul, S. Impact of steaming pretreatment process on characteristics and antioxidant activities of black garlic (Allium sativum L.). J. Food Sci Technol. 2021, 58, 1869–1876. [Google Scholar] [CrossRef]
- Tahir, Z.; Saeed, F.; Nosheen, F.; Ahmed, A.; Anjum, F.M. Comparative study of nutritional properties and antioxidant activity of raw and fermented (black) garlic. Int. J. Food Prop. 2022, 25, 116–127. [Google Scholar] [CrossRef]
- AOAC. International Official Methods of Analysis, 18th ed.; Association of Official Analytical Chemists: Washington, DC, USA, 2000. [Google Scholar]
- Singleton, V.L.; Rossi, J.A. Colorimetry of total phenolics with phosphomolybdic acid reagents. Am. J. Enol. Vitic. 1965, 16, 144–158. [Google Scholar]
- Re, R.; Pellegrini, N.; Proteggente, A.; Pannala, A.; Yang, M.; Rice-Evans, C. Antioxidant activity applying an improved ABTS radical cation decolorization assay. Free Radic. Biol. Med. 1999, 26, 1231–1237. [Google Scholar] [CrossRef]
- Weng, Z.; Sun, L.; Wang, F.; Sui, X.; Fang, Y.; Tang, X.; Shen, X. Assessment the flavor of soybean meal hydrolyzed with Alcalase enzyme under different hydrolysis conditions by E-nose, E-tongue and HS-SPME-GC-MS. Food Chem. X 2021, 12, 100141. [Google Scholar] [CrossRef]
- Bae, S.E.; Cho, S.Y.; Won, Y.D.; Lee, S.H.; Park, H.J. Changes in S-allyl cysteine contents and physicochemical properties of black garlic during heat treatment. LWT Food Sci. Technol. 2014, 55, 397–402. [Google Scholar] [CrossRef]
- Toledano-Medina, M.A.; Pérez-Aparicio, J.; Moreno-Rojas, R.; Merinas-Amo, T. Evolution of some physicochemical and antioxidant properties of black garlic whole bulbs and peeled cloves. Food Chem. 2016, 199, 135–139. [Google Scholar] [CrossRef] [PubMed]
- Chiozzi, V.; Agriopoulou, S.; Varzakas, T. Advances, applications, and comparison of thermal (pasteurization, sterilization, and aseptic packaging) against non-thermal (ultrasounds, UV radiation, ozonation, high hydrostatic pressure) technologies in food processing. Appl. Sci. 2022, 12, 2202. [Google Scholar] [CrossRef]
- Vhangani, L.N.; Wyk, J.V. Antioxidant activity of Maillard reaction products (MRPs) derived from fructose–lysine and ribose–lysine model systems. Food Chem. 2013, 137, 92–98. [Google Scholar] [CrossRef]
- Liang, T.; Wei, F.; Lu, Y.; Kodani, Y.; Nakada, M.; Miyakawa, T.; Tanokura, M. Comprehensive NMR analysis of compositional changes of black garlic during thermal processing. J. Agric. Food Chem. 2015, 63, 683–691. [Google Scholar] [CrossRef] [PubMed]
- Lu, X.; Li, N.; Qiao, X.; Qiu, Z.; Liu, P. Effects of thermal treatment on polysaccharide degradation during black garlic processing. LWT Food Sci. Technol. 2018, 95, 223–229. [Google Scholar] [CrossRef]
- Li, N.Y.; Lu, X.M.; Pei, H.B.; Qiao, X.G. Effect of freezing pretreatment on the processing time and quality of black garlic. J. Food Process Eng. 2015, 38, 329–335. [Google Scholar] [CrossRef]
- Zhang, Z.; Lei, M.; Liu, R.; Gao, Y.; Xu, M.; Zhang, M. Evaluation of alliin, saccharide contents and antioxidant activities of black garlic during thermal processing. J. Food Biochem. 2015, 39, 39–47. [Google Scholar] [CrossRef]
- Capuano, E.; Fogliano, V. Acrylamide and 5-hydroxymethylfurfural (HMF): A review on metabolism, toxicity, occurrence in food and mitigation strategies. LWT Food Sci. Technol. 2011, 44, 793–810. [Google Scholar] [CrossRef]
- Liu, C.; Lu, L.; Yang, C.; Niu, C.; Wang, J.; Zheng, F.; Li, Q. Effects of thermal treatment on alliin and its related sulfides during black garlic processing. LWT Food Sci. Technol. 2022, 159, 113158. [Google Scholar] [CrossRef]
- Kim, J.; Kang, O.J.; Gweon, O.C. Comparison of phenolic acids and flavonoids in black garlic at different thermal processing steps. J. Funct. Foods 2013, 5, 80–86. [Google Scholar] [CrossRef]
- Choi, I.S.; Cha, H.S.; Lee, Y.S. Physicochemical and antioxidant properties of black garlic. Molecules 2014, 19, 16811–16823. [Google Scholar] [CrossRef] [PubMed] [Green Version]
- Xu, G.; Ye, X.; Chen, J.; Liu, D. Effect of heat treatment on the phenolic compounds and antioxidant capacity of citrus peel extract. J. Agric. Food Chem. 2007, 55, 330–335. [Google Scholar] [CrossRef] [PubMed]
- Robards, K.; Prenzler, P.D.; Tucker, G.; Swatsitang, P.; Glover, W. Phenolic compounds and their role in oxidant processes in fruits. Food Chem. 1999, 66, 401–436. [Google Scholar] [CrossRef]
- Kim, W.Y.; Kim, J.M.; Han, S.B.; Lee, S.K.; Kim, N.D.; Park, M.K. Steaming of ginseng at high temperature enhances biological activity. J. Nat. Prod. 2000, 63, 1702–1704. [Google Scholar] [CrossRef]
- Kim, S.Y.; Jeong, S.M.; Park, W.P.; Nam, K.C.; Ahn, D.U.; Lee, S.C. Effect of heating conditions of grape seeds on the antioxidant activity of grape seed extracts. Food Chem. 2006, 97, 472–479. [Google Scholar] [CrossRef]
- Bunea, A.; Andjelkovic, M.; Socaciu, C.; Bobis, O.; Neacsu, M.; Verhé, R.; Camp, J.V. Total and individual carotenoids and phenolic acids content in fresh, refrigerated and processed spinach (Spinacia oleracea L.). Food Chem. 2008, 108, 649–656. [Google Scholar] [CrossRef]
- Lanzotti, V. The analysis of onion and garlic. J. Chromatogr. A 2006, 1112, 3–22. [Google Scholar] [CrossRef] [Green Version]
- Corzo-Martinez, M.; Corso, N.; Villamiel, M. Biological properties of onions and garlic. Trends Food Sci. Technol. 2007, 18, 609–625. [Google Scholar] [CrossRef]
- Kim, N.Y.; Park, M.H.; Jang, E.Y.; Lee, J. Volatile distribution in garlic (Allium sativum L.) by solid phase microextraction (SPME) with different processing conditions. Food Sci. Biotechnol. 2011, 20, 775–782. [Google Scholar] [CrossRef]
- Molina-Calle, M.; Priego-Capote, F.; de Castro, M.D.L. Headspace−GC–MS volatile profile of black garlic vs. fresh garlic: Evolution along fermentation and behavior under heating. LWT Food Sci. Technol. 2017, 80, 98–105. [Google Scholar] [CrossRef]
- Martínez-Casas, L.; Lage-Yusty, M.; López-Hernández, J. Changes in the aromatic profile, sugars and bioactive compounds when purple garlic is transformed into black garlic. J. Agric. Food Chem. 2017, 65, 10804–10811. [Google Scholar] [CrossRef] [PubMed]
- Ma, Y.; Song, D.; Wang, Z.; Jiang, J.; Jiang, T.; Cui, F.; Fan, X. Effect of ultrahigh pressure treatment on volatile compounds in garlic. J. Food Process Eng. 2011, 34, 1915–1930. [Google Scholar] [CrossRef]
- Abe, K.; Hori, Y.; Myoda, T. Volatile compounds of fresh and processed garlic. Exp. Ther. Med. 2020, 19, 1585–1593. [Google Scholar] [CrossRef] [PubMed] [Green Version]
- Yu, T.H.; Wu, C.M.; Liou, Y.C. Volatile compounds from garlic. J. Agric. Food Chem. 1989, 37, 725–730. [Google Scholar] [CrossRef]
- Yuliarti, O.; Kovis, T.J.K.; Yi, N.J. Structuring the meat analogue by using plant-based derived composites. J. Food Eng. 2021, 288, 110138. [Google Scholar] [CrossRef]
- Park, S.Y.; Kim, H.Y. Effect of lyophilized chive (Allium wakegi Araki) supplementation to the frying batter mixture on quality attributes of fried chicken breast and tenderloin. Food Chem. X 2022, 13, 100216. [Google Scholar] [CrossRef]
- Hwang, I.G.; Kim, H.Y.; Woo, K.S.; Lee, J.; Jeong, H.S. Biological activities of Maillard reaction products (MRPs) in a sugar-amino acid model system. J. Food Chem. 2011, 126, 221–227. [Google Scholar] [CrossRef]
- Borrelli, R.C.; Visconti, A.; Mennella, C.; Anese, M.; Fogliano, V. Chemical characterization and antioxidant properties of coffee melanoidins. J. Agric. Food Chem. 2002, 50, 6527–6533. [Google Scholar] [CrossRef]
- Tressl, R.; Wondrak, G.T.; Garbe, L.A.; Krüger, R.P.; Rewicki, D. Pentoses and hexoses as sources of new melanoidin-like Maillard polymers. J. Agric. Food Chem. 1998, 46, 1765–1776. [Google Scholar] [CrossRef]







| Sample | WG | BG-C | BG-P | BG-S |
|---|---|---|---|---|
| Dry matter (%) | 37.14 ± 0.13 a | 56.96 ± 0.42 c | 98.84 ± 0.06 d | 45.40 ± 0.99 b |
| Moisture (%) | 62.86 ± 0.13 d | 43.03 ± 0.42 b | 1.16 ± 0.06 a | 54.60 ± 0.99 c |
| Water activity (aw) | 0.98 ± 0.00 d | 0.94 ± 0.00 c | 0.20 ± 0.00 a | 0.93 ± 0.00 b |
| pH | 6.37 ± 0.04 d | 3.94 ± 0.05 b | 3.45 ± 0.04 a | 4.02 ± 0.01 c |
| °Brix (%) | 35.88 ± 1.35 a | 46.95 ± 0.10 c | 51.74 ± 0.48 d | 44.66 ± 0.32 b |
| Chem. Family * | KI MXT-5 a | KI MXT-1701 b | Possible Matched Compounds | Sensory Descriptors ** | WG | BG-C | BG-P | BG-S |
|---|---|---|---|---|---|---|---|---|
| E | 383 | 314 | Methyl formate | Fruity | x | x | x | x |
| Oth. | 419 | 471 | Trimethylamine | Ammoniacal, fruity, pungent | x | x | x | x |
| S | 446 | 488 | Methanethiol | Garlic, sulfurous, cabbage | x | x | x | |
| S | 457 | 455 | Ethanethiol | Garlic, sulfurous, | x | x | x | x |
| E | 464 | 551 | Ethyl chloride | Ethereal | x | |||
| S | 482 | 536 | Dimethyl sulfide | Sulfurous, gaseous, cabbage | x | |||
| Ald. | 492 | 577 | Propanal | Earthy, ethereal, nutty | x | x | ||
| Oth. | 525 | 636 | 2-methylo-propanal | Floral, fresh, fruity, spicy, | x | |||
| S | 542 | 600 | Carbon disulfide | Sulfurous, burnt | x | x | ||
| E | 557 | 605 | Methyl acetate | Fruity, sweet | x | x | x | |
| Al. | 558 | 657 | 1-propanol | Fruity, musty, alcoholic | x | |||
| S | 585 | 610 | 2-methyl-2-propanethiol | Alcoholic, bitter, unpleasant | x | |||
| K | 586 | 690 | Butane-2-3-dione | Strong, pungent, fruity | x | |||
| Al. | 613 | 722 | 2-methyl-1-propanol | Unpleasant, alcoholic, bitter | x | |||
| K | 639 | 843 | 1-hydroxy-2-propanone | Caramelized, sweet | x | |||
| Oth. | 640 | 704 | 1-butanamine | Ammoniacal | x | |||
| Al. | 665 | 812 | Pent-1-en-3-ol | Burnt, green, grassy, butter | x | |||
| Al. | 669 | 795 | 2-butanol | Harsh, fermented, alcoholic | x | x | ||
| K | 702 | 782 | 2,3-pentanedione | Pungent, oily, fruity | x | |||
| K | 712 | 828 | Acetoin | Sweet, woody, butter | x | x | x | |
| Oth. | 714 | 748 | 2-ethyl furan | Burnt, acidic, sweet | x | x | ||
| Oth. | 765 | 975 | 2-methylo-propanoic acid | Sharp, acidic, fatty, | x | x | x | x |
| Al. | 800 | 896 | 2-hexanol | Fruity, fatty | x | x | x | |
| E | 804 | 849 | Ethyl butyrate | Caramelized, fruity | x | |||
| S | 818 | 866 | 3-methyl-2-butene-1-thiol | Onion, smokey, sulfurous | x | x | x | |
| S | 822 | 879 | 1-pentanehiol | Garlic, strong, sulfutous | x | |||
| S | 843 | 992 | 2-methylothio-ethanol | Sulfurous | x | x | x | |
| S | 850 | 1071 | Dimethyl sulfoxide | Sharp, green, fruity | x | |||
| S | 869 | 930 | 2-methyl-3-furanthiol | Onion, spicy, sulfurous | x | x | x | x |
| S | 879 | 1023 | 2-furanmethanol | Bread, caramelized, fermented | x | x | ||
| E | 881 | 948 | Isoamyl acetate | Pleasant, fresh, fruity, apple | x | |||
| K | 889 | 981 | 2-heptanone | Gaseous, musty, spicy, soapy | x | |||
| E | 895 | 956 | Propyl butanoate | Fruity | x | x | ||
| Ald. | 922 | 931 | Alfa-pinene | Harsh, aromatic | x | x | x | |
| Oth. | 931 | 1012 | 2,3,-dimethyl-pyrazine | Green, butter, caramelized | x | x | x | |
| S | 955 | 1032 | Dimethyl trisulfide | Onion, aliaceous, sulfurous | x | x | x | x |
| S | 979 | 1100 | Ethyl (methylthio)-acetate | Fruity, green, sulfurous | x | x | ||
| K | 991 | 1081 | 2-octanone | Gaseous, floral, fatty, earthy | x | x | x | |
| S | 1018 | 1121 | 3-mercapto-3-methylbutyl formate | Onion, sulfurous, green | x | |||
| E | 1029 | 1089 | Heptyl mercaptan | Onion | x | |||
| Ald. | 1044 | 1189 | 2-octenal | Burnt, sour | x | |||
| Oth. | 1060 | 1287 | 4-hydroxy-5-methyl-3-furanone | Caramelized, balsamic | x | x | ||
| K | 1099 | 1191 | Nonane-2-one | Fatty, soapy | x | x | x | x |
| Oth. | 1119 | 1207 | N-nonanal | Green, gaseous, floral, fruity | x | |||
| S | 1169 | 1268 | 5-methyl furfural | Burnt, | x | x | x | |
| Oth. | 1195 | 1397 | 2,6-dimethoxy phenol | Woody, smoky | x | |||
| E | 1211 | 1282 | Heptyl propionate | Floral | x | x | ||
| Al. | 1227 | 1352 | Nerol | Sweet, floral | x | |||
| E | 1249 | 1252 | Phenylethyl acetate | Apple, floral, sweet, fruity | x | |||
| Ald. | 1251 | 1397 | Neral | Sharp, strong, sweet, green | x | |||
| K | 1312 | 1452 | (E,E) 2,4-decadienal | Fried, fatty, green, oily | x | |||
| Oth. | 1321 | 1315 | Tridecane | Citrus, fruity, | x | |||
| S | 1336 | 1397 | 1-decanethiol | x | ||||
| Oth. | 1349 | 1564 | Gamma-nonalactone | Fruity, strong, sweet, oily | x | |||
| Ald. | 1363 | 1472 | (E)-2-undecenal | Fatty, fresh, green, citrus | x | |||
| E | 1380 | 1445 | (Z)-3-hexenyl hexanoate | Grassy, green, | x | |||
| S | 1438 | 1610 | 2-difurfuryl sulfide | Earthy | x | |||
| Oth. | 1449 | 1724 | (E)-Cinnamic acid | Floral, woody, sweet | x | |||
| E | 1470 | 1635 | Ethyl cinnamate | Balsamic, spicy, floral | x | x | ||
| S | 1525 | 1653 | Bis(2-methyl-3-furanyl)disulfide | Onion | x | x | x |
| Sample | WG | BG-C | BG-P | BG-S |
|---|---|---|---|---|
| L* (lightness) | 85.94 ± 0.26 b | 25.79 ± 0.03 b | 25.00 ± 0.01 a | 25.53 ± 0.04 b |
| a* (redness) | 3.11 ± 0.11 b | 2.17 ± 0.05 a | 4.71 ± 0.02 c | 2.14 ± 0.06 a |
| b* (yellowness) | 53.77 ± 1.67 c | 11.21 ± 0.01 a | 19.45 ± 0.08 b | 11.15 ± 0.01 a |
Publisher’s Note: MDPI stays neutral with regard to jurisdictional claims in published maps and institutional affiliations. |
© 2022 by the authors. Licensee MDPI, Basel, Switzerland. This article is an open access article distributed under the terms and conditions of the Creative Commons Attribution (CC BY) license (https://creativecommons.org/licenses/by/4.0/).
Share and Cite
Najman, K.; Król, K.; Sadowska, A. The Physicochemical Properties, Volatile Compounds and Taste Profile of Black Garlic (Allium sativum L.) Cloves, Paste and Powder. Appl. Sci. 2022, 12, 4215. https://doi.org/10.3390/app12094215
Najman K, Król K, Sadowska A. The Physicochemical Properties, Volatile Compounds and Taste Profile of Black Garlic (Allium sativum L.) Cloves, Paste and Powder. Applied Sciences. 2022; 12(9):4215. https://doi.org/10.3390/app12094215
Chicago/Turabian StyleNajman, Katarzyna, Katarzyna Król, and Anna Sadowska. 2022. "The Physicochemical Properties, Volatile Compounds and Taste Profile of Black Garlic (Allium sativum L.) Cloves, Paste and Powder" Applied Sciences 12, no. 9: 4215. https://doi.org/10.3390/app12094215
APA StyleNajman, K., Król, K., & Sadowska, A. (2022). The Physicochemical Properties, Volatile Compounds and Taste Profile of Black Garlic (Allium sativum L.) Cloves, Paste and Powder. Applied Sciences, 12(9), 4215. https://doi.org/10.3390/app12094215

