Antagonistic Activity of Lactic Acid Bacteria and Rosa rugosa Thunb. Pseudo-Fruit Extracts against Staphylococcus spp. Strains
Abstract
1. Introduction
2. Materials and Methods
2.1. Research Material
2.2. Biological Material
2.3. The Minimum Concentration of Polyphenols (MIC) That Inhibits the Growth of Staphylococcus Bacteria
2.4. Antagonistic Activity of Lactic Acid Bacteria
2.5. The Acidity of Lactic Acid Bacteria
2.6. Statistical Analysis
3. Results
3.1. The Minimum Concentration of Polyphenols That Inhibit the Growth of Staphylococcus Bacteria
3.2. Antagonistic Activity of Lactic Acid Bacteria
3.3. Change in the pH of the LAB Culture in the Presence of Rosa rugosa Thunb. Pseudo-Fruit Pomace Extracts
4. Discussion
5. Conclusions
Author Contributions
Funding
Institutional Review Board Statement
Informed Consent Statement
Data Availability Statement
Conflicts of Interest
Appendix A
| Growth Inhibition Zone (mm) | |||||||
|---|---|---|---|---|---|---|---|
| ATCC 25923 | DSMZ 3270 | R1A | R2A | R3A | S1A | S2A | |
| ŁOCK 0928 | 17.00 ± 0.00 Aa | 20.33 ± 0.58 Ab | 24.00 ± 1.00 Ac | 25.67 ± 0.58 Ad | 30.00 ± 0.00 Ee | 36.67 ± 0.58 Af | 27.00 ± 0.00 ACd |
| ŁOCK 0943 | 19.67 ± 0.58 Ba | 18.33 ± 0.58 Ba | 0.00 ± 0.00 Bb | 19.33 ± 0.58 BCa | 25.67 ± 0.58 Ac | 42.33 ± 1.53 Bd | 28.33 ± 1.53 ACc |
| ŁOCK 0944 | 19.67 ± 0.58 Babd | 17.67 ± 0.58 Bb | 27.33 ± 1.53 Cc | 21.00 ± 0.00 Bd | 28.33 ± 1.53 Ec | 37.33 ± 1.15 Ae | 28.33 ± 1.15 ACc |
| ŁOCK 0979 | 14.33 ± 0.58 Ca | 15.33 ± 0.58 Ca | 22.33 ± 0.58 ADEbc | 20.00 ± 1.00 Bb | 23.67 ± 0.58 BCc | 38.33 ± 1.53 ADd | 24.00 ± 0.00 Bc |
| ŁOCK 0980 | 21.00 ± 0.00 Da | 18.33 ± 0.58 Ba | 20.33 ± 0.58 Da | 17.67 ± 1.15 Ca | 25.67 ± 0.58 Cbd | 41.46 ± 1.53 BDc | 28.00 ± 0.00 Cd |
| ŁOCK 0992 | 20.33 ± 0.58 BDda | 18.33 ± 0.58 Bb | 23.67 ± 0.58 AEc | 21.00 ± 1.00 Ba | 27.67 ± 0.58 Ed | 37.67 ± 0.58 Ae | 30.67 ± 0.58 Df |
| MG451814 | 17.00 ± 0.00 Aa | 17.33 ± 0.58 Ba | 0.00 ± 0.00 BFb | 0.00 ± 0.00 Db | 18.00 ± 1.00 Da | 50.00 ± 0.00 Cc | 0.00 ± 0.00 Eb |
| Mean | 18.43 ± 2.21 | 17.93 ± 1.39 | 16.81 ± 10.81 | 17.81 ± 7.62 | 25.57 ± 3.64 | 40.54 ± 4.34 # | 23.76 ± 9.87 |
| Extract or LAB | AC | AP | EC | EP |
|---|---|---|---|---|
| Growth inhibition zone (mm): S. epidermidis R1A | ||||
| ŁOCK 0928 | 24.67 ± 0.58 Aa* | 25.33 ± 1.53 Aa* | 28.00 ± 1.00 Ab* | 23.33 ± 0.58 Ba* |
| ŁOCK 0943 | 24.00 ± 1.00 Aa* | 39.67 ± 0.58 Ba* | 32.33 ± 1.53 Ab* | 34.67 ± 0.58 Ab# |
| ŁOCK 0944 | 26.67 ± 0.58 Aa* | 34.33 ± 1.53 Ba* | 29.00 ± 1.00 Aa# | 30.33 ± 0.58 Ab# |
| ŁOCK 0979 | 27.33 ± 1.53 Aa* | 37.33 ± 0.58 Ba* | 31.00 ± 1.00 Ab# | 27.33 ± 0.58 Bb* |
| ŁOCK 0980 | 18.33 ± 1.53 Aa* | 23.33 ± 0.58 Ba* | 26.00 ± 1.00 Ab# | 21.67 ± 0.58 Ba# |
| ŁOCK 0992 | 31.67 ± 0.58 Aa* | 36.33 ± 1.53 Ba* | 33.00 ± 1.00 Aa# | 39.00 ± 1.00 Ba# |
| MG451814 | 23.67 ± 1.53 Aa* | 30.00 ± 1.00 Ba* | 29.67 ± 0.58 Ab* | 23.00 ± 1.00 Bb* |
| Growth inhibition zone (mm): S. haemolyticus R2A | ||||
| ŁOCK 0928 | 25.33 ± 0.58 Aa* | 27.33 ± 0.58 Ba* | 23.33 ± 0.58 Ab# | 23.67 ± 0.58 Ab# |
| ŁOCK 0943 | 28.33 ± 1.53 Aa* | 34.33 ± 1.53 Ba* | 33.00 ± 1.00 Ab* | 29.33 ± 0.58 Bb* |
| ŁOCK 0944 | 34.33 ± 0.58 Aa* | 34.67 ± 0.58 Aa* | 33.33 ± 1.53 Aa* | 30.33 ± 0.58 Bb# |
| ŁOCK 0979 | 33.00 ± 1.00 Aa* | 33.67 ± 0.58 Aa* | 28.33 ± 1.53 Ab# | 28.00 ± 1.00 Ab# |
| ŁOCK 0980 | 23.67 ± 0.58 Aa* | 37.33 ± 0.58 Ba* | 21.33 ± 1.53 Aa# | 26.00 ± 1.00 Bb* |
| ŁOCK 0992 | 34.00 ± 1.00 Aa* | 37.67 ± 0.58 Ba* | 32.67 ± 0.58 Aa# | 33.00 ± 1.00 Ab* |
| MG451814 | 23.00 ± 1.00 Aa* | 28.00 ± 1.00 Ba* | 26.33 ± 0.58 Ab* | 21.00 ± 1.00 Bb* |
| Growth inhibition zone (mm): S. saprophyticus R3A | ||||
| ŁOCK 0928 | 28.00 ± 0.00 Aa* | 29.00 ± 1.00 Ba* | 27.00 ± 0.00 Ab# | 26.67 ± 0.58 Ab# |
| ŁOCK 0943 | 24.00 ± 1.00 Aa* | 25.33 ± 0.58 Ba* | 22.33 ± 0.58 Ab# | 22.33 ± 0.58 Ab# |
| ŁOCK 0944 | 22.67 ± 0.58 Aa* | 24.00 ± 1.00 Aa* | 25.67 ± 1.53 Ab* | 25.33 ± 0.58 Aa# |
| ŁOCK 0979 | 23.11 ± 0.58 Aa* | 19.67 ± 0.58 Ba* | 25.67 ± 0.58 Ab# | 22.33 ± 0.58 Bb* |
| ŁOCK 0980 | 17.33 ± 0.58 Aa* | 22.22 ± 0.58 Ba* | 19.67 ± 0.58 Aa# | 18.67 ± 0.58 Ab* |
| ŁOCK 0992 | 27.67 ± 0.58 Aa* | 27.67 ± 0.58 Aa* | 27.67 ± 0.58 Aa* | 28.00 ± 1.00 Aa* |
| MG451814 | 16.67 ± 0.58 Aa* | 19.33 ± 0.58 Ba* | 16.00 ± 1.00 Aa# | 19.67 ± 0.58 Ba# |
| Growth inhibition zone (mm): S. saprophyticus S1A | ||||
| ŁOCK 0928 | 29.33 ± 1.15 Aa* | 28.33 ± 1.53 Aa* | 27.33 ± 1.15 Ab* | 27.00 ± 0.00 Aa# |
| ŁOCK 0943 | 24.00 ± 1.00 Aa* | 26.00 ± 1.00 Aa* | 21.67 ± 0.58 Ab# | 22.67 ± 0.58 Ab* |
| ŁOCK 0944 | 24.33 ± 0.58 Aa* | 25.00 ± 0.00 Aa* | 27.33 ± 0.58 Ab# | 26.67 ± 0.58 Ab# |
| ŁOCK 0979 | 25.67 ± 0.58 Aa* | 22.67 ± 1.15 Ba* | 23.67 ± 0.58 Aa* | 25.00 ± 1.00 Ab* |
| ŁOCK 0980 | 17.33 ± 0.58 Aa* | 15.67 ± 0.58 Aa* | 17.00 ± 0.00 Aa* | 17.00 ± 1.00 Aa* |
| ŁOCK 0992 | 36.00 ± 0.00 Aa* | 27.67 ± 0.58 Ba* | 30.33 ± 0.58 Ab# | 30.33 ± 0.58 Ab# |
| MG451814 | 18.00 ± 1.73 Aa* | 19.33 ± 0.58 Aa* | 16.00 ± 0.00 Ab* | 15.00 ± 0.00 Bb# |
| Growth inhibition zone (mm): S. aureus S2A | ||||
| ŁOCK 0928 | 18.33 ± 1.53 Aa* | 14.33 ± 0.58 Ba* | 18.00 ± 1.73 Aa# | 15.00 ± 0.00 Ba# |
| ŁOCK 0943 | 16.67 ± 0.58 Aa* | 15.67 ± 0.58 Aa* | 14.00 ± 1.00 Aa* | 16.00 ± 0.00 Aa* |
| ŁOCK 0944 | 16.33 ± 0.58 Aa* | 16.33 ± 0.58 Aa* | 17.33 ± 0.58 Aa* | 17.00 ± 0.00 Aa* |
| ŁOCK 0979 | 15.00 ± 0.00 Aa* | 13.00 ± 0.00 Ba# | 16.67 ± 1.15 Ab* | 12.33 ± 0.58 Ba# |
| ŁOCK 0980 | 13.33 ± 0.58 Aa* | 13.33 ± 0.58 Aa* | 14.33 ± 0.58 Ab# | 12.00 ± 0.00 Bb# |
| ŁOCK 0992 | 19.67 ± 0.58 Aa* | 19.33 ± 0.58 Aa* | 12.00 ± 0.00 Ab# | 12.00 ± 0.00 Ab# |
| MG451814 | 13.33 ± 0.58 Aa* | 13.33 ± 0.58 Aa* | 19.67 ± 0.58 Ab# | 17.00 ± 0.00 Bb# |
References
- Johler, S.; Stephan, R. Staphylococcal Food Poisoning: A current review. Arch. Für Lebensm. 2010, 61, 1053–1061. [Google Scholar] [CrossRef]
- De Souza, E.L.; Meira, Q.G.; de Medeiros Barbosa, I.; Athayde, A.J.; da Conceição, M.L.; de Siqueira Júnior, J.P. Biofilm formation by Staphylococcus aureus from food contact surfaces in a meat-based broth and sensitivity to sanitizers. Braz. J. Microbiol. 2014, 45, 67–75. [Google Scholar] [CrossRef]
- Di Ciccio, P.; Vergara, A.; Festino, A.R.; Paludi, D.; Zanardi, E.; Ghidini, S.; Ianieri, A. Biofilm formation by Staphylococcus aureus on food contact surfaces: Relationship with temperature and cell surface hydrophobicity. Food Control 2015, 50, 930–936. [Google Scholar] [CrossRef]
- Hoque, M.N.; Das, Z.C.; Rahman, A.; Haider, M.G.; Islam, M.A. Molecular characterization of Staphylococcus aureus strains in bovine mastitis milk in Bangladesh. Int. J. Vet. Sci. Med. 2018, 6, 53–60. [Google Scholar] [CrossRef] [PubMed]
- Medveďová, A.; Valík, Ľ.; Studenicova, A. The Effect of Temperature and Water Activity on the Growth of Staphylococcus aureus. Czech J. Food Sci. 2009, 27, S228–S235. [Google Scholar] [CrossRef]
- García, P.; Madera, C.; Martínez, B.; Rodríguez, A. Biocontrol of Staphylococcus aureus in curd manufacturing processes using bacteriophages. Int. Dairy J. 2007, 17, 1232–1239. [Google Scholar] [CrossRef]
- Lindqvist, R.; Sylven, S.; Vagsholm, I. Quantitative microbial risk assessment exemplified by Staphylococcus aureus in unripened cheese made from raw milk. Int. J. Food Microbiol. 2002, 78, 155–170. [Google Scholar] [CrossRef]
- Asperger, H.; Zangerl, P. Pathogens in Milk | Staphylococcus aureus—Dairy. In Encyclopedia of Dairy Sciences, 2nd ed.; Fuquay, J.W., Ed.; Academic Press: San Diego, CA, USA, 2011; pp. 111–116. [Google Scholar] [CrossRef]
- Michalek, I.M.; John, S.M.; Caetano Dos Santos, F.L. Microbiological contamination of cosmetic products—Observations from Europe 2005–2018. J. Eur. Acad Dermatol. Venereol. 2019, 33, 2151–2157. [Google Scholar] [CrossRef]
- Lu, Y.J.; Sasaki, T.; Kuwahara-Arai, K.; Uehara, Y.; Hiramatsu, K. Development of a New Application for Comprehensive Viability Analysis Based on Microbiome Analysis by Next-Generation Sequencing: Insights into Staphylococcal Carriage in Human Nasal Cavities. Appl. Environ. Microbiol. 2018, 84, e00517-18. [Google Scholar] [CrossRef]
- Silva, V.; Capelo, J.L.; Igrejas, G.; Poeta, P. Molecular Epidemiology of Staphylococcus aureus Lineages in Wild Animals in Europe: A Review. Antibiotics 2020, 9, 122. [Google Scholar] [CrossRef]
- Di Lodovico, S.; Menghini, L.; Ferrante, C.; Recchia, E.; Castro-Amorim, J.; Gameiro, P.; Cellini, L.; Bessa, L.J. Hop Extract: An Efficacious Antimicrobial and Anti-biofilm Agent Against Multidrug-Resistant Staphylococci Strains and Cutibacterium acnes. Front Microbiol. 2020, 11, 1852. [Google Scholar] [CrossRef] [PubMed]
- Mukherjee, R.; Priyadarshini, A.; Pandey, R.P.; Raj, V.S. Antimicrobial Resistance in Staphylococcus aureus. In Insights Into Drug Resistance in Staphylococcus aureus; Intech Open: London, UK, 2021. [Google Scholar]
- Guo, Y.; Song, G.; Sun, M.; Wang, J.; Wang, Y. Prevalence and Therapies of Antibiotic-Resistance in Staphylococcus aureus. Front. Cell Infect. Microbiol. 2020, 10, 2235–2988. [Google Scholar] [CrossRef] [PubMed]
- Gonelimali, F.D.; Lin, J.; Miao, W.; Xuan, J.; Charles, F.; Chen, M.; Hatab, S.R. Antimicrobial Properties and Mechanism of Action of Some Plant Extracts Against Food Pathogens and Spoilage Microorganisms. Front. Microbiol. 2018, 9, 1639. [Google Scholar] [CrossRef] [PubMed]
- Milala, J.; Piekarska-Radzik, L.; Sojka, M.; Klewicki, R.; Matysiak, B.; Klewicka, E. Rosa spp. Extracts as a Factor That Limits the Growth of Staphylococcus spp. Bacteria, a Food Contaminant. Molecules 2021, 26, 4590. [Google Scholar] [CrossRef]
- Piekarska-Radzik, L.; Klewicka, E. Mutual Influence of Polyphenols and Lactobacillus Spp. Bacteria in Food: A Review. Eur. Food Res. Technol. 2021, 247, 9–24. [Google Scholar] [CrossRef]
- Fatrcová-Šramková, K.; Brindza, J.; Ivanišová, E.; Juríková, T.; Schwarzová, M.; Horčinová Sedláčková, V.; Grygorieva, O. Morphological and antiradical characteristics of rugosarose (Rosa rugosa Thunb.) Fruits canned in different kind ofhoneys and in beverages prepared from honey Potravinarstvo. Slovak J. Food Sci. 2019, 13, 497–506. [Google Scholar] [CrossRef]
- Cendrowski, A.; Królak, M.; Kalisz, S. Polyphenols, L-Ascorbic Acid, and Antioxidant Activity in Wines from Rose Fruits (Rosa rugosa). Molecules 2021, 26, 2561. [Google Scholar] [CrossRef]
- Werlemark, G. Dogrose: Wild plant, bright future. Chron. Hortic. 2009, 40, 8–13. [Google Scholar]
- Cendrowski, A.; Kraśniewska, K.; Przybył, J.L.; Zielińska, A.; Kalisz, S. Antibacterial and Antioxidant Activity of Extracts from Rose Fruits (Rosa rugosa). Molecules 2020, 25, 1365. [Google Scholar] [CrossRef]
- Turan, I.; Demir, S.; Kilinc, K.; Yaman, S.O.; Misir, S.; Kara, H.; Genc, B.; Mentese, A.; Aliyazicioglu, Y.; Deger, O. Cytotoxic effect of Rosa canina extract on human colon cancer cells through repression of telomerase expression. J. Pharm. Anal. 2018, 8, 394–399. [Google Scholar] [CrossRef]
- Hvattum, E. Determination of phenolic compounds in rose hip (Rosa canina) using liquid chromatography coupled to electrospray ionisation tandem mass spectrometry and diode-array detection. Rapid Commun. Mass Spectrom. 2002, 16, 655–662. [Google Scholar] [CrossRef] [PubMed]
- Ghendov-Mosanu, A.; Cristea, E.; Patras, A.; Sturza, R.; Niculaua, M. Rose Hips, a Valuable Source of Antioxidants to Improve Gingerbread Characteristics. Molecules 2020, 25, 5659. [Google Scholar] [CrossRef] [PubMed]
- Beya, M.M.; Netzel, M.E.; Sultanbawa, Y.; Smyth, H.; Hoffman, L.C. Plant-Based Phenolic Molecules as Natural Preservatives in Comminuted Meats: A Review. Antioxidants 2021, 10, 263. [Google Scholar] [CrossRef] [PubMed]
- Martinengo, P.; Arunachalam, K.; Shi, C. Polyphenolic Antibacterials for Food Preservation: Review, Challenges, and Current Applications. Foods 2021, 10, 2469. [Google Scholar] [CrossRef] [PubMed]
- Silhavy, T.J.; Kahne, D.; Walker, S. The bacterial cell envelope. Cold Spring Harb. Perspect. Biol. 2010, 2, a000414. [Google Scholar] [CrossRef] [PubMed]
- Ren, D.; Zhu, J.; Gong, S.; Liu, H.; Yu, H. Antimicrobial Characteristics of Lactic Acid Bacteria Isolated from Homemade Fermented Foods. Biomed Res. Int. 2018, 2018, 5416725. [Google Scholar] [CrossRef]
- Vieco-Saiz, N.; Belguesmia, Y.; Raspoet, R.; Auclair, E.; Gancel, F.; Kempf, I.; Drider, D. Benefits and Inputs From Lactic Acid Bacteria and Their Bacteriocins as Alternatives to Antibiotic Growth Promoters During Food-Animal Production. Front. Microbiol. 2019, 10, 57. [Google Scholar] [CrossRef]
- Kuda, T.; Takahashi, H.; Kimura, B. Alcohol-brewing properties of acid- and bile-tolerant yeasts co-cultured with lactic acid bacteria isolated from traditional handmade domestic dairy products from Inner Mongolia. LWT Food Sci. Technol. 2016, 65, 62–69. [Google Scholar] [CrossRef]
- Kim, S.-H.; Kang, K.; Kim, S.; Lee, S.; Lee, S.-H.; Ha, E.-S.; Sung, N.-J.; Kim, J.; Chung, M. Lactic acid bacteria directly degrade N-nitrosodimethylamine and increase the nitrite-scavenging ability in kimchi. Food Control 2016, 71, 101–109. [Google Scholar] [CrossRef]
- Shim, Y.H.; Lee, S.J.; Lee, J.W. Antimicrobial activity of lactobacillus strains against uropathogens. Pediatr. Int. 2016, 58, 1009–1013. [Google Scholar] [CrossRef]
- Klewicka, E.; Lipinska-Zubrycka, L. Aktywność przeciwgrzybowa bakterii fermentacji mlekowej z rodzaju Lactobacillus [Antifungal activity of lactic acid bacteria of Lactobacillus genus]. ZNTJ 2016, 1, 17–31. [Google Scholar] [CrossRef]
- Cueva, C.; Moreno-Arribas, M.V.; Martin-Alvarez, P.J.; Bills, G.; Vicente, M.F.; Basilio, A.; Rivas, C.L.; Requena, T.; Rodriguez, J.M.; Bartolome, B. Antimicrobial activity of phenolic acids against commensal, probiotic and pathogenic bacteria. Res. Microbiol. 2010, 161, 372–382. [Google Scholar] [CrossRef] [PubMed]
- Tabasco, R.; Sanchez-Patan, F.; Monagas, M.; Bartolome, B.; Victoria Moreno-Arribas, M.; Pelaez, C.; Requena, T. Effect of grape polyphenols on lactic acid bacteria and bifidobacteria growth: Resistance and metabolism. Food Microbiol. 2011, 28, 1345–1352. [Google Scholar] [CrossRef] [PubMed]
- Coman, M.M.; Oancea, A.M.; Verdenelli, M.C.; Cecchini, C.; Bahrim, G.E.; Orpianesi, C.; Cresci, A.; Silvi, S. Polyphenol content and in vitro evaluation of antioxidant, antimicrobial and prebiotic properties of red fruit extracts. Eur. Food Res. Technol. 2018, 244, 735–745. [Google Scholar] [CrossRef]
- Santamaria, L.; Reveron, I.; de Felipe, F.L.; de Las Rivas, B.; Munoz, R. Ethylphenol Formation by Lactobacillus plantarum: Identification of the Enzyme Involved in the Reduction of Vinylphenols. Appl. Environ. Microbiol. 2018, 84, e01064-18. [Google Scholar] [CrossRef]
- Zhang, X.; Zhu, X.; Sun, Y.; Hu, B.; Sun, Y.; Jabbar, S.; Zeng, X. Fermentation in vitro of EGCG, GCG and EGCG3”Me isolated from Oolong tea by human intestinal microbiota. Int. Food Res. J. 2013, 54, 1589–1595. [Google Scholar] [CrossRef]
- Piekarska-Radzik, L.; Klewicka, E.; Milala, J.; Klewicki, R.; Rosół, N.; Matysiak, B.; Sójka, M.; Markowski, J. Wpływ polifenoli z wytłoków z pseudoowoców Rosa rugosa Thunb. na wzrost bakterii z rodzaju Lactobacillus [Impact of polyphenols from Rosa rugosa Thunb. pseudofruits pomace on growth of Lactobacillus bacteria]. ZNTJ 2019, 26, 73–87. [Google Scholar] [CrossRef]
- Karlińska, E.; Masny, A.; Cieślak, M.; Macierzyński, J.; Pecio, Ł.; Stochmal, A.; Kosmala, M. Ellagitannins in roots, leaves, and fruits of strawberry (Fragaria × ananassa Duch.) vary with developmental stage and cultivar. Sci. Hortic. 2021, 275, e109665. [Google Scholar] [CrossRef]
- Karlińska, E.; Romanowska, B.; Kosmala, M. The Aerial Parts of Agrimonia procera Wallr. and Agrimonia eupatoria L. as a Source of Polyphenols, and Especially Agrimoniin and Flavonoids. Molecules 2021, 26, 7706. [Google Scholar] [CrossRef]
- Sójka, A.; Karlińska, E.; Klewicki, R. Ellagitannin and Anthocyanin Retention in Osmotically Dehydrated Blackberries, Food Sci. Technol. Res. 2017, 23, 801–810. [Google Scholar] [CrossRef][Green Version]
- Strus, M. Nowa metoda oceny antagonistycznego dzialania bakterii kwasu mlekowego [LAB] na wybrane, chorobotworcze bakterie wskaznikowe. Med. Dosw. Mikrobiol. 1998, 50, 123–130. [Google Scholar]
- Klewicki, R.; Klewicka, E. Antagonistic activity of lactic acid bacteria as probiotics against selectedbacteria of the Enterobaceriacae family in the presence of polyols and their galactosyl derivatives. Biotechnol. Lett. 2004, 26, 317–320. [Google Scholar] [CrossRef] [PubMed]
- Chajęcka-Wierzchowska, W.; Zadernowska, A.; Nalepa, B.; Laniewska-Trokenheim, L. Occurrence and antibiotic resistance of enterococci in ready-to-eat food of animal origin. Afr. J. Microbiol. Res. 2012, 6, 6773–6780. [Google Scholar] [CrossRef]
- Chajęcka-Wierzchowska, W.; Zadernowska, A.; Gajewska, J. S. epidermidis strains from artisanal cheese made from unpasteurized milk in Poland-Genetic characterization of antimicrobial resistance and virulence determinants. Int. J. Food Microbiol. 2019, 2, 55–59. [Google Scholar] [CrossRef] [PubMed]
- Chajęcka-Wierzchowska, W.; Zadernowska, A.; Nalepa, B.; Sierpińska, M.; Łaniewska-Trokenheim, Ł. Coagulase-negative staphylococci (CoNS) isolated from ready-to-eat food of animal origin-phenotypic and genotypic antibiotic resistance. Food Microbiol. 2015, 46, 222–226. [Google Scholar] [CrossRef]
- Yi, O.; Jovel, E.M.; Towers, G.H.; Wahbe, T.R.; Cho, D. Antioxidant and antimicrobial activities of native Rosa sp. from British Columbia, Canada. Int. J. Food Sci. Nutr. 2007, 58, 178–189. [Google Scholar] [CrossRef]
- Nowak, R.; Gawlik-Dziki, U. Polyphenols of Rosa L. leaves extracts and their radical scavenging activity. Z. Für Nat. C 2007, 62, 32–38. [Google Scholar] [CrossRef]
- Adwan, G.; Abu -Shanab, B.; Jarrar, N.; Abu-Hijleh, A.; Adwan, K. Antibacterial Activity of Four Plant Extracts Used in Palestine in Folkloric Medicine against Methicillin-Resistant Staphylococcus Aureus. Turk. J. Biol. 2005, 30, 195–198. [Google Scholar]
- Mishra, R.P.; Arshad, M.; Sami, A. Antibacterial Properties of Rosa indica (L.) Stem, Leaves and Flowers. J. Pharm. Biomed. Sci. 2011, 12, 1–3. [Google Scholar]
- Halawani, E.M. Antimicrobial activity of Rosa damascena petals extracts and chemical composition by gas chromatography-mass spectrometry (GC/MS) analysis. Afr. J. Microbiol. Res. 2014, 8, 2359–2367. [Google Scholar]
- Shohayeb, M.; Saleh, E.-S.; Bazaid, S.A.; Maghrabi, I. Antibacterial and antifungal activity of Rosa damascena MILL. essential oil, different extracts of rose petals. Glob. J. Pharmacol. 2014, 8, 1–7. [Google Scholar] [CrossRef]
- El-Shouny, W.; Ali, S.; Alnabarawy, A. In vitro Antibacterial Potential of Rosa damascena and Terminalia chebula against Bacterial Peritonitis. Glob. J. Biol. Agric. Health Sci. 2016, 5, 40–49. [Google Scholar]
- Ren, G.; Xue, P.; Sun, X.; Zhao, G. Determination of the volatile and polyphenol constituents and the antimicrobial, antioxidant, and tyrosinase inhibitory activities of the bioactive compounds from the by-product of Rosa rugosa Thunb. var. plena Regal tea. BMC Complement. Altern. Med. 2018, 18, 307. [Google Scholar] [CrossRef] [PubMed]
- Perez, R.H.; Zendo, T.; Sonomoto, K. Novel bacteriocins from lactic acid bacteria (LAB): Various structures and applications. Microb. Cell Fact. 2014, 13 (Suppl. 1), S3. [Google Scholar] [CrossRef]
- Yoon, K.Y.; Woodams, E.E.; Hang, Y.D. Production of probiotic cabbage juice by lactic acid bacteria. Bioresour. Technol. 2006, 97, 1427–1430. [Google Scholar] [CrossRef]
- O’Sullivan, E.; Condon, S. Intracellular pH is a major factor in the induction of tolerance to acid and other stresses in Lactococcus lactis. Appl. Environ. Microbiol. 1997, 63, 4210–4215. [Google Scholar] [CrossRef]
- Karska-Wysocki, B.; Bazo, M.; Smoragiewicz, W. Antibacterial activity of Lactobacillus acidophilus and Lactobacillus casei against methicillin-resistant Staphylococcus aureus (MRSA). Microbiol. Res. 2010, 165, 674–686. [Google Scholar] [CrossRef]
- Mohamed, S.; Elmohamady, M.; Abdelrahman, S.; Amer, M.; Abdelhamid, A. Antibacterial effects of antibiotics and cell-free preparations of probiotics against Staphylococcus aureus and Staphylococcus epidermidis associated with conjunctivitis. Saudi. Pharm. J. 2020, 28, 1558–1565. [Google Scholar] [CrossRef]
- Fang, W.; Shi, M.; Huang, L.; Chen, J.; Wang, Y. Antagonism of lactic acid bacteria towards Staphylococcus aureus and Escherichia coli on agar plates and in milk. Vet. Res. 1996, 27, 3–12. [Google Scholar]
- Chan, C.L.; Gan, R.-Y.; Shah, N.; Corke, H. Polyphenols from selected dietary spices and medicinal herbs differentially affect common food-borne pathogenic bacteria and lactic acid bacteria. Food Control 2018, 92, 437–443. [Google Scholar] [CrossRef]
: LR system with the addition of crude extracts;
: LR system with the addition of purified extracts;
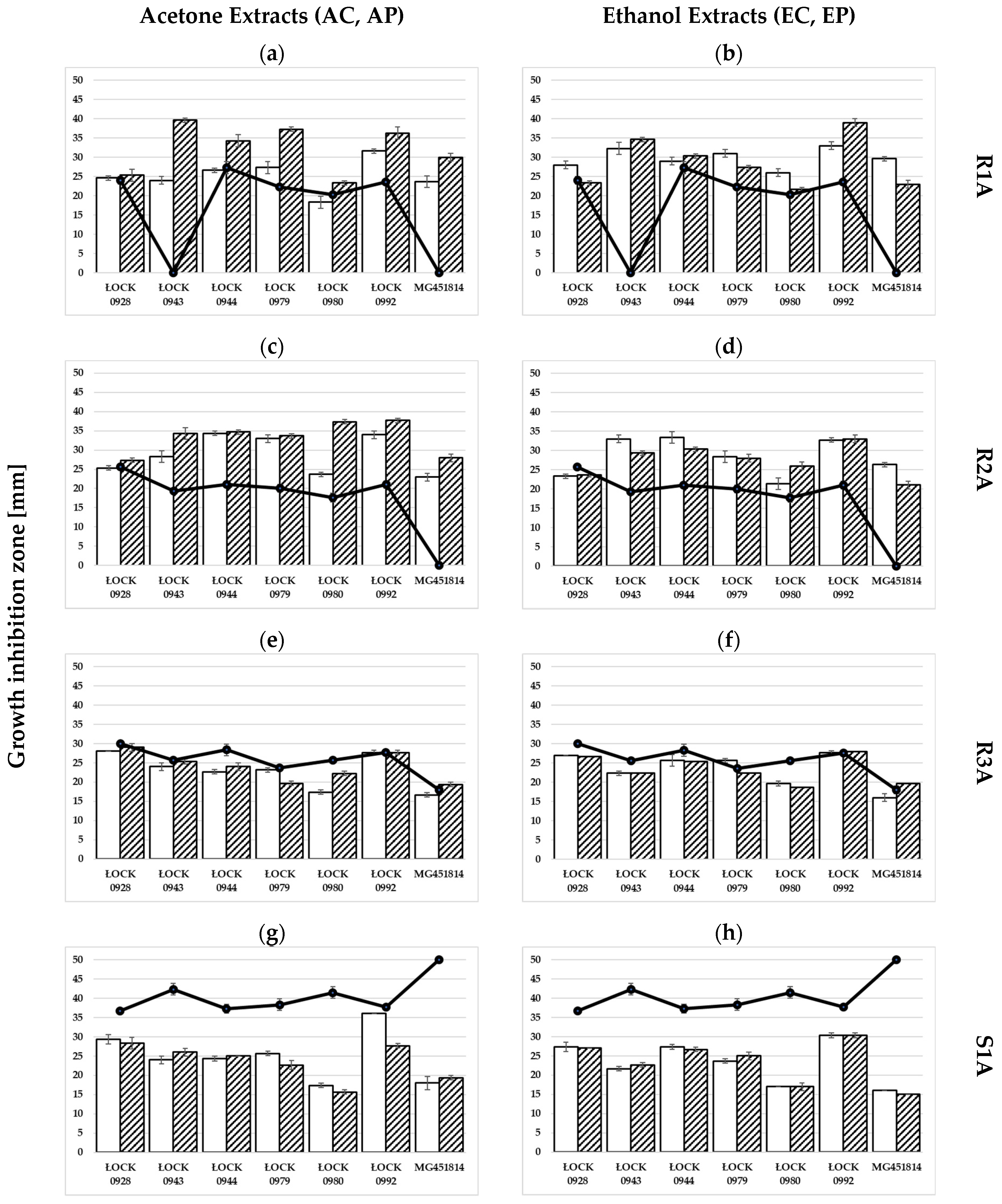
: LAB basic culture. AC = crude water-acetone extract, AO = purified water-acetone extract, EC = crude water-ethanol extract, and EO = purified water-ethanol extract. (a,c,e,g,i) Antagonistic activity of two-component LR systems with the addition of acetone extracts and antagonistic activity of LAB stock culture. (b,d,f,h,j) Antagonistic activity of two-component LR systems with the addition of ethanol extracts and antagonistic activity of LAB stock culture. Lactic acid bacteria: Lactobacillus acidophilus ŁOCK 0928, Lacticaseibacillus rhamnosus ŁOCK 0943, Levilactobacillus brevis ŁOCK 0944, Lacticaseibacillus casei ŁOCK 0979, Levilactobacillus brevis ŁOCK 0980, Levilactobacillus brevis ŁOCK 0992, and Levilactobacillus brevis MG451814. Bacteria of the genus Staphylococcus spp. R1A: S. epidermidis R1A; R2A: S. haemolyticus R2A; R3A: S. saprophyticus R3A; S1A: S. saprophyticus S1A; S2A: S. aureus S2A).
: LR system with the addition of crude extracts;
: LR system with the addition of purified extracts;
: LAB basic culture. AC = crude water-acetone extract, AO = purified water-acetone extract, EC = crude water-ethanol extract, and EO = purified water-ethanol extract. (a,c,e,g,i) Antagonistic activity of two-component LR systems with the addition of acetone extracts and antagonistic activity of LAB stock culture. (b,d,f,h,j) Antagonistic activity of two-component LR systems with the addition of ethanol extracts and antagonistic activity of LAB stock culture. Lactic acid bacteria: Lactobacillus acidophilus ŁOCK 0928, Lacticaseibacillus rhamnosus ŁOCK 0943, Levilactobacillus brevis ŁOCK 0944, Lacticaseibacillus casei ŁOCK 0979, Levilactobacillus brevis ŁOCK 0980, Levilactobacillus brevis ŁOCK 0992, and Levilactobacillus brevis MG451814. Bacteria of the genus Staphylococcus spp. R1A: S. epidermidis R1A; R2A: S. haemolyticus R2A; R3A: S. saprophyticus R3A; S1A: S. saprophyticus S1A; S2A: S. aureus S2A).

= statistically significant reduction in the size of the growth inhibition zone in the LR systems;
= statistically significant increase in the size of the zones of growth inhibition in the LR systems;
= no statistically significant differences in the size of the growth inhibition zones.
= statistically significant reduction in the size of the growth inhibition zone in the LR systems;
= statistically significant increase in the size of the zones of growth inhibition in the LR systems;
= no statistically significant differences in the size of the growth inhibition zones.
| Species Name (before Reclassification) | Species Name (after Reclassification) | ŁOCK ID pr NCBI No. * | Culture Temperature (°C) |
|---|---|---|---|
| Lactobacillus acidophilus | No change | ŁOCK 0928 | 37 |
| Lactobacillus brevis | Levilactobacillus brevis | ŁOCK 0944 | 30 |
| Lactobacillus brevis | Levilactobacillus brevis | ŁOCK 0980 | 30 |
| Lactobacillus brevis | Levilactobacillus brevis | ŁOCK 0992 | 30 |
| Lactobacillus casei | Lacticaseibacillus casei | ŁOCK 0979 | 30 |
| Lactobacillus rhamnosus | Lacticaseibacillus rhamnosus | ŁOCK 0943 | 37 |
| Lactobacillus brevis | Levilactobacillus brevis | MG451814 * | 30 |
| Species Nucleotide | Sequence Number | Isolate Symbol |
|---|---|---|
| Staphylococcus epidermidis | MW040703 | R1A |
| Staphylococcus haemolyticus | MW040704 | R2A |
| Staphylococcus saprophyticus | MW040705 | R3A |
| Staphylococcus saprophyticus | MW040701 | S1A |
| Staphylococcus aureus | MW040702 | S2A |
| Strain or Extract | MIC of Polyphenols (mg/mL) | |||
|---|---|---|---|---|
| AC | AP | EC | EP | |
| S. aureus ATCC 25923 | 0.313 | 0.156 | 0.625 | 0.156 |
| S. epidermidis DSMZ 3270 | 0.313 | 0.313 | 0.313 | 0.156 |
| S. epidermidis R1A | 0.313 | 0.156 | >2.5 | >2.5 |
| S. haemolyticus R2A | 0.313 | 0.313 | 0.156 | 0.313 |
| S. saprophyticus R3A | 0.625 | 0.313 | 0.625 | 0.313 |
| S. saprophyticus S1A | 0.313 | 0.156 | 0.156 | 0.156 |
| S. aureus S2A | 0.625 | 0.625 | 0.625 | 0.625 |
| Extract and Time (h) | Control | AC | AP | EC | EP |
| pH of Lactobacillus acidophilus ŁOCK 0928 culture | |||||
| 0 | 5.33 ± 0.05 Cα | 5.29 ± 0.04 ACa*α | 5.28 ± 0.04 ACa*α | 5.24 ± 0.03 ACa*α | 5.26 ± 0.04 ACa*α |
| 24 | 4.30 ± 0.02 Cβ | 3.99 ± 0.03 ADa*β | 4.03 ± 0.03 ADa*β | 4.09 ± 0.08 ADa*β | 4.10 ± 0.03 ADa*β |
| 48 | 4.20 ± 0.03 Cγ | 3.97 ± 0.02 ADa*β | 4.01 ± 0.02 ADa*β | 3.97 ± 0.03 ADa*β | 4.00 ± 0.03 ADa*γ |
| Time (h) | pH of Lacticaseibacillus rhamnosus ŁOCK 0943 culture | ||||
| 0 | 5.67 ± 0.04 Cα | 5.55 ± 0.08 ACa*α | 5.59 ± 0.03 ACa*α | 5.65 ± 0.02 ACa*α | 5.64 ±0.02 ACa*α |
| 24 | 4.24 ± 0.02 Cβ | 4.17 ± 0.03 ACa*β | 4.18 ± 0.04 ACa*β | 4.14 ± 0.02 ADa*β | 4.15 ± 0.03 ADa*β |
| 48 | 4.14 ± 0.02 Cγ | 4.08 ± 0.03 ACa*β | 4.11 ± 0.02 ACa*β | 4.10 ± 0.05 ACa*β | 4.09 ± 0.02 ACa*γ |
| Time (h) | pH of Levilactobacillus brevis ŁOCK 0944 culture | ||||
| 0 | 5.39 ± 0.03 Cα | 5.34 ± 0.03 ACa*α | 5.39 ± 0.03 ACa*α | 5.41 ± 0.03 ACa*α | 5.38 ± 0.03 ACa*α |
| 24 | 4.28 ± 0.02 Cβ | 4.07 ± 0.04 ADa*β | 4.19 ± 0.02 BDa*β | 4.17 ± 0.03 ADb*β | 4.25 ± 0.03 BCa#β |
| 48 | 4.16 ± 0.04 Cγ | 4.01 ± 0.03 ADa*β | 4.15 ± 0.03 BCa*β | 4.15 ± 0.03 ACb*β | 4.16 ± 0.02 ACa#γ |
| Time (h) | pH of Levilactobacillus casei ŁOCK 0979 culture | ||||
| 0 | 5.42 ± 0.03 Cα | 5.48 ± 0.03 ACa*α | 5.42 ± 0.02 ACa*α | 5.43 ± 0.03 ACa*α | 5.48 ± 0.02 ACa*α |
| 24 | 4.42 ± 0.03 Cβ | 4.24 ± 0.03 ADa*β | 4.36 ± 0.02 BCa*β | 4.38 ± 0.02 ACb*β | 4.17 ± 0.03 BDb#β |
| 48 | 4.31 ± 0.03 Cγ | 4.10 ± 0.03 ADa*γ | 4.34 ± 0.02 BCa* β | 4.24 ± 0.02 ACb#γ | 4.05 ± 0.04 BDb*γ |
| Time (h) | pH of Levilactobacillus brevis ŁOCK 0980 culture | ||||
| 0 | 5.52 ± 0.02 Cα | 5.55 ± 0.02 ACa*α | 5.54 ± 0.02 ACa*α | 5.52 ± 0.02 ACa*α | 5.56 ± 0.02 ACa*α |
| 24 | 4.65 ± 0.02 Cβ | 4.78 ± 0.03 ADa*β | 4.76 ± 0.03 ADa*β | 4.82 ± 0.02 ADa*β | 4.61 ± 0.02 BCb#β |
| 48 | 4.50 ± 0.03 Cγ | 4.54 ± 0.02 ACa*γ | 4.54 ± 0.03 ACa*γ | 4.57 ± 0.03 ADa*γ | 4.53 ± 0.01 ACa*γ |
| Time (h) | pH of Levilactobacillus brevis ŁOCK 0992 culture | ||||
| 0 | 5.42 ± 0.02 Cα | 5.41 ± 0.03 ACa*α | 5.42 ± 0.02 ACa*α | 5.42 ± 0.03 ACa*α | 5.46 ± 0.03 ACa*α |
| 24 | 4.02 ± 0.02 Cβ | 4.27 ± 0.02 ADa*β | 4.27 ± 0.02 ADa*β | 4.15 ± 0.02 ADb#β | 4.28 ± 0.03 BDa*β |
| 48 | 3.98 ± 0.02 Cβ | 4.14 ± 0.04 ADa*γ | 4.15 ± 0.02 ADa*γ | 4.07 ± 0.03 ADa#γ | 4.19 ± 0.02 BDa*γ |
| Time (h) | pH of Levilactobacillus brevis MG451814 culture | ||||
| 0 | 5.68 ± 0.04 Cα | 5.71 ± 0.02 ACa*α | 5.72 ± 0.02 ACa*α | 5.73 ± 0.03 ACa*α | 5.69 ± 0.01 ACa*α |
| 24 | 4.79 ± 0.05 Cβ | 4.76 ± 0.01 ACa*β | 4.72 ± 0.02 ACa*β | 4.65 ± 0.02 ADb#β | 4.79 ± 0.03 BCa*β |
| 48 | 4.55 ± 0.02 Cγ | 4.66 ± 0.02 ADa*γ | 4.57 ± 0.01 BCa*γ | 4.61 ± 0.02 ADb*β | 4.67 ± 0.03 BDb*γ |
Publisher’s Note: MDPI stays neutral with regard to jurisdictional claims in published maps and institutional affiliations. |
© 2022 by the authors. Licensee MDPI, Basel, Switzerland. This article is an open access article distributed under the terms and conditions of the Creative Commons Attribution (CC BY) license (https://creativecommons.org/licenses/by/4.0/).
Share and Cite
Klewicka, E.; Piekarska-Radzik, L.; Milala, J.; Klewicki, R.; Sójka, M.; Rosół, N.; Otlewska, A.; Matysiak, B. Antagonistic Activity of Lactic Acid Bacteria and Rosa rugosa Thunb. Pseudo-Fruit Extracts against Staphylococcus spp. Strains. Appl. Sci. 2022, 12, 4005. https://doi.org/10.3390/app12084005
Klewicka E, Piekarska-Radzik L, Milala J, Klewicki R, Sójka M, Rosół N, Otlewska A, Matysiak B. Antagonistic Activity of Lactic Acid Bacteria and Rosa rugosa Thunb. Pseudo-Fruit Extracts against Staphylococcus spp. Strains. Applied Sciences. 2022; 12(8):4005. https://doi.org/10.3390/app12084005
Chicago/Turabian StyleKlewicka, Elżbieta, Lidia Piekarska-Radzik, Joanna Milala, Robert Klewicki, Michał Sójka, Natalia Rosół, Anna Otlewska, and Bożena Matysiak. 2022. "Antagonistic Activity of Lactic Acid Bacteria and Rosa rugosa Thunb. Pseudo-Fruit Extracts against Staphylococcus spp. Strains" Applied Sciences 12, no. 8: 4005. https://doi.org/10.3390/app12084005
APA StyleKlewicka, E., Piekarska-Radzik, L., Milala, J., Klewicki, R., Sójka, M., Rosół, N., Otlewska, A., & Matysiak, B. (2022). Antagonistic Activity of Lactic Acid Bacteria and Rosa rugosa Thunb. Pseudo-Fruit Extracts against Staphylococcus spp. Strains. Applied Sciences, 12(8), 4005. https://doi.org/10.3390/app12084005

