Influence of Unburned Carbon on Environmental-Technical Behaviour of Coal Fly Ash Fired Clay Bricks
Abstract
1. Introduction
2. Materials and Methods
2.1. Materials
2.2. Processing Method
2.3. Characterisation of Raw Materials
2.4. Characterisation of Fired Samples
3. Results and Discussion
3.1. Characterisation of Raw Materials
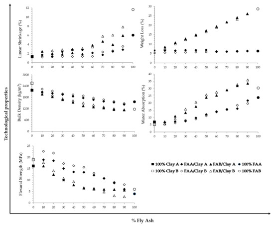
3.2. Technological Properties of Fired Products
3.3. Leaching Behaviour of Fired Bricks
3.4. Microstructural Characterisation of Fired Clay Bricks
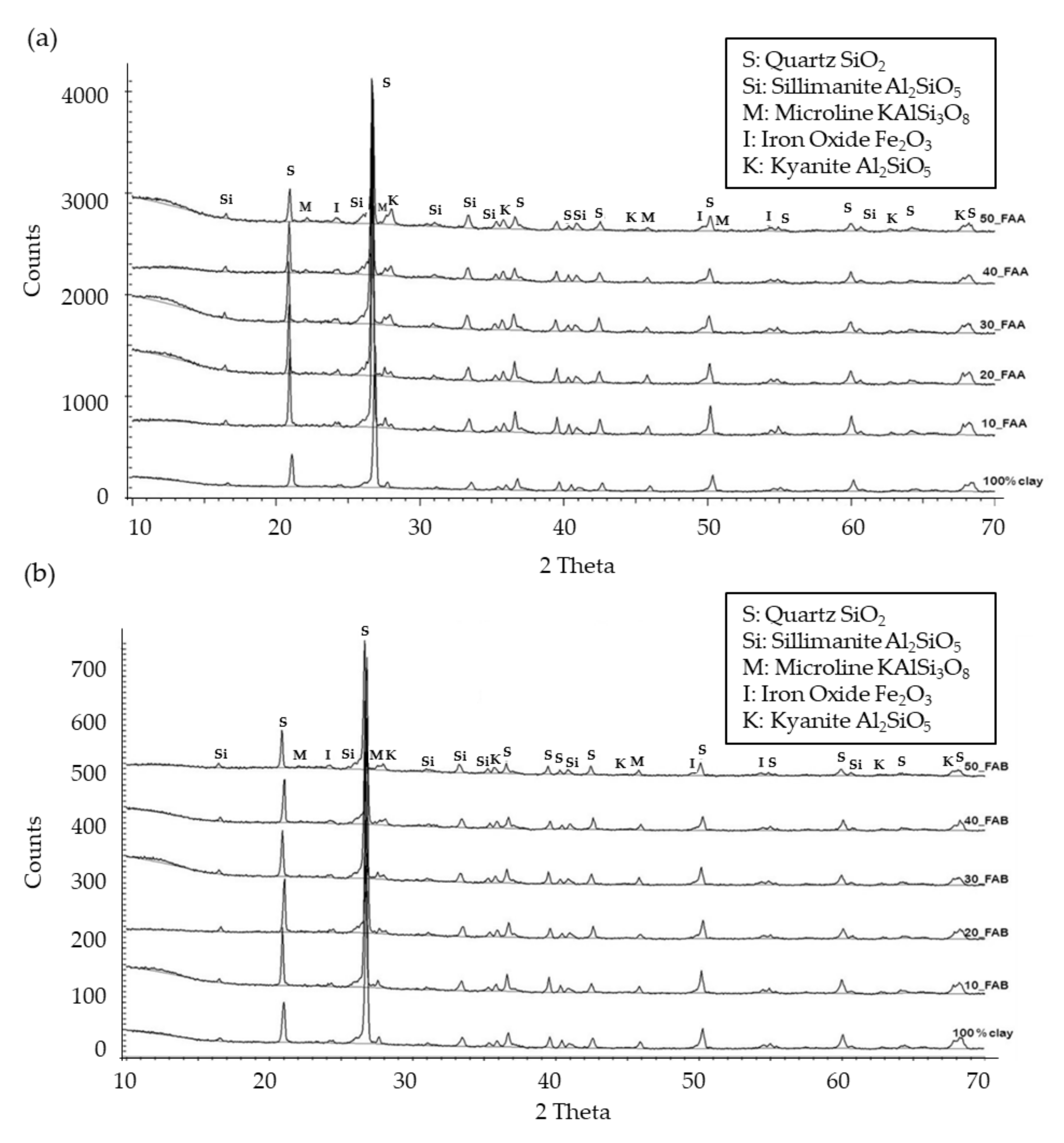
3.4.1. XRD Characterisation
3.4.2. SEM
3.5. Estimation of Gas Emissions during Firing Process
4. Conclusions
Author Contributions
Funding
Institutional Review Board Statement
Informed Consent Statement
Data Availability Statement
Acknowledgments
Conflicts of Interest
References
- Vincevica-gaile, Z.; Teppand, T.; Kriipsalu, M.; Krievans, M.; Jani, Y.; Klavins, M.; Hendroko Setyobudi, R.; Grinfelde, I.; Rudovica, V.; Tamm, T.; et al. Towards Sustainable Soil Stabilization in Peatlands: Secondary Raw Materials as an Alternative. Sustainability 2021, 13, 6726. [Google Scholar] [CrossRef]
- Ozola, R.; Krauklis, A.; Burlakovs, J.; Klavins, M.; Vincevica-Gaile, Z.; Hogland, W. Surfactant-Modified Clay Sorbents for the Removal of p-Nitrophenol. Clays Clay Miner. 2019, 67, 132–142. [Google Scholar] [CrossRef]
- Krūmiņš, J.; Kļaviņš, M.; Ozola-Davidāne, R.; Ansone-Bērtiņa, L. The Prospects of Clay Minerals from the Baltic States for Industrial-Scale Carbon Capture: A Review. Minerals 2022, 12, 349. [Google Scholar] [CrossRef]
- European Commission, Joint Research Centre; Borchardt, S.; Buscaglia, D.; Barbero Vignola, G.; Maroni, M.; Marelli, L. A Sustainable Recovery for the EU: A Text Mining Approach to Map the EU Recovery Plan to the Sustainable Development Goals; Publications Office of the European Union: Luxembourg, 2020; Available online: https://publications.jrc.ec.europa.eu/repository/handle/JRC122301 (accessed on 19 March 2022).
- Del Rio, D.D.F.; Sovacool, B.K.; Foley, A.M.; Griffiths, S.; Bazilian, M.; Kim, J.; Rooney, D. Decarbonizing the ceramics industry: A systematic and critical review of policy options, developments and sociotechnical systems. Renew. Sustain. Energy Rev. 2022, 157, 112081. [Google Scholar] [CrossRef]
- Zhang, Z.; Wong, Y.C.; Arulrajah, A.; Horpibulsuk, S. A Review of Studies on Bricks Using Alternative Materials and Approaches. Constr. Build. Mater. 2018, 188, 1101–1118. [Google Scholar] [CrossRef]
- Muñoz Velasco, P.; Morales Ortíz, M.P.; Mendívil Giró, M.A.; Muñoz Velasco, L. Fired clay bricks manufactured by adding wastes as sustainable construction material—A review. Constr. Build. Mater. 2014, 63, 97–107. [Google Scholar] [CrossRef]
- Contreras, M.; Gázquez, M.J.; Romero, M.; Bolívar, J.P. Recycling of industrial wastes for value-added applications in clay-based ceramic products: A global review (2015–19). In New Materials in Civil Engineering; Samui, P., Kim, D., Iyer, N.R., Chaudhary, S., Eds.; Butterworth-Heinemann: Oxford, UK, 2020; pp. 155–219. ISBN 9780128189610. [Google Scholar]
- Eliche-Quesada, D.; Leite-Costa, J. Use of bottom ash from olive pomace combustion in the production of eco-friendly fired clay bricks. Waste Manag. 2016, 48, 323–333. [Google Scholar] [CrossRef]
- Beshah, D.A.; Tiruye, G.A.; Mekonnen, Y.S. Characterization and recycling of textile sludge for energy-efficient brick production in Ethiopia. Environ. Sci. Pollut. Res. 2021, 28, 16272–16281. [Google Scholar] [CrossRef]
- Amin, S.H.K.; Elmahgary, M.G.; Abadir, M.F. Preparation and characterization of dry pressed ceramic tiles incorporating ceramic sludge waste. Ceram. Silik. 2019, 63, 11–20. [Google Scholar] [CrossRef]
- Belmonte, L.J.; Ottosen, L.M.; Kirkelund, G.M.; Jensen, P.E.; Vestbø, A.P. Screening of heavy metal containing waste types for use as raw material in Arctic clay-based bricks. Environ. Sci. Pollut. Res. 2018, 25, 32831–32843. [Google Scholar] [CrossRef]
- Sharif, N.M.; Lim, C.Y.; Teo, P.T.; Seman, A.A. Effects of body formulation and firing temperature to properties of ceramic tile incorporated with electric arc furnace (EAF) slag waste. AIP Conf. Proc. 2017, 1865, 1–7. [Google Scholar] [CrossRef]
- Sena Da Fonseca, B.; Vilão, A.; Galhano, C.; Simão, J.A.R. Reusing coffee waste in manufacture of ceramics for construction. Adv. Appl. Ceram. 2014, 113, 159–166. [Google Scholar] [CrossRef]
- Demir, I.; Baspinar, M.S.; Orhan, M. Utilization of kraft pulp production residues in clay brick production. Build. Environ. 2005, 40, 1533–1537. [Google Scholar] [CrossRef]
- Eliche-Quesada, D.; Corpas-Iglesias, F.A.; Pérez-Villarejo, L.; Iglesias-Godino, F.J. Recycling of sawdust, spent earth from oil filtration, compost and marble residues for brick manufacturing. Constr. Build. Mater. 2012, 34, 275–284. [Google Scholar] [CrossRef]
- Sutcu, M.; Erdogmus, E.; Gencel, O.; Gholampour, A.; Atan, E.; Ozbakkaloglu, T. Recycling of bottom ash and fly ash wastes in eco-friendly clay brick production. J. Clean. Prod. 2019, 233, 753–764. [Google Scholar] [CrossRef]
- Brunner, P.H.; Rechberger, H. Waste to Energy—Key Element for Sustainable Waste Management. Waste Manag. 2015, 37, 3–12. [Google Scholar] [CrossRef]
- Vassilev, S.V.; Baxter, D.; Andersen, L.K.; Vassileva, C.G. An Overview of the Composition and Application of Biomass Ash. Part 1. Phase–Mineral and Chemical Composition and Classification. Fuel 2013, 105, 40–76. [Google Scholar] [CrossRef]
- CEDEX Catálogo de Residuos Utilizables en Construcción. Available online: http://www.cedexmateriales.es/catalogo-de-residuos/24/diciembre-2011/ (accessed on 16 January 2021).
- Vecor Australia Pty Ltd. Company Profile/Rozelle, New South Wales, Australia/Competitors, Financials & Contacts—Dun & Bradstreet. Available online: https://www.dnb.com/business-directory/company-profiles.vecor_australia_pty_ltd.aefefd25a2d9ed847d91b85bf5085cfc.html (accessed on 20 March 2021).
- Xu, G.; Shi, X. Characteristics and Applications of Fly Ash as a Sustainable Construction Material: A State-of-the-Art Review. Resour. Conserv. Recycl. 2018, 136, 95–109. [Google Scholar] [CrossRef]
- Hower, J.C.; Groppo, J.G.; Graham, U.M.; Ward, C.R.; Kostova, I.J.; Maroto-Valer, M.M.; Dai, S. Coal-Derived Unburned Carbons in Fly Ash: A Review. Int. J. Coal Geol. 2017, 179, 11–27. [Google Scholar] [CrossRef]
- Jayaranjan, M.L.D.; van Hullebusch, E.D.; Annachhatre, A.P. Reuse options for coal fired power plant bottom ash and fly ash. Rev. Environ. Sci. Biotechnol. 2014, 13, 467–486. [Google Scholar] [CrossRef]
- EPA, Environmental Protection Agency. Coal Combustion Residuals—Proposed Rule. 2008. Available online: http://www.epa.gov/osw/nonhaz/industrial/special/fossil/ccr-rule/ (accessed on 18 June 2021).
- Elías, X. Reciclaje de Residuos Industriales: Residuos Solidos Urbanos y Fangos de Depuradora. Residuos Sólidos Urbanos y Fangos de Depurador; Ediciones Díaz de Santos: Madrid, Spain, 2009. [Google Scholar]
- ECOBA European Coal Combustion Products Association. Available online: https://www.gem.wiki/European_Coal_Combustion_Products_Association (accessed on 16 January 2021).
- Akhtar, M.N.; Hattamleh, O.; Akhtar, J.N. Feasibility of coal fly ash based bricks and roof tiles as construction materials: A review. In Proceedings of the MATEC Web of Conferences, Taichung, Taiwan, 4 August 2017; Volume 120. [Google Scholar]
- Leiva, C.; Arenas, C.; Alonso-Fariñas, B.; Vilches, L.F.; Peceño, B.; Rodriguez-Galán, M.; Baena, F. Characteristics of fired bricks with co-combustion fly ashes. J. Build. Eng. 2016, 5, 114–118. [Google Scholar] [CrossRef]
- Wang, L.; Sun, H.; Sun, Z.; Ma, E. New Technology and Application of Brick Making with Coal Fly Ash. J. Mater. Cycles Waste Manag. 2016, 18, 763–770. [Google Scholar] [CrossRef]
- Kockal, N.U. Utilisation of Different Types of Coal Fly Ash in the Production Of Ceramic Tiles; Sociedad Española de Cerámica y Vidrio: Madrid, Spain, 2012; Volume 51, pp. 297–304. [Google Scholar] [CrossRef]
- Eliche-Quesada, D.; Sandalio-Pérez, J.A.; Martínez-Martínez, S.; Pérez-Villarejo, L.; Sánchez-Soto, P.J. Investigation of Use of Coal Fly Ash in Eco-Friendly Construction Materials: Fired Clay Bricks and Silica-Calcareous Non Fired Bricks. Ceram. Int. 2018, 44, 4400–4412. [Google Scholar] [CrossRef]
- Andreola, F.; Barbieri, L.; Lancellotti, I.; Leonelli, C.; Manfredini, T. Recycling of Industrial Wastes in Ceramic Manufacturing: State of Art and Glass Case Studies. Ceram. Int. 2016, 42, 13333–13338. [Google Scholar] [CrossRef]
- Vasić, M.V.; Goel, G.; Vasić, M.; Radojević, Z. Recycling of Waste Coal Dust for the Energy-Efficient Fabrication of Bricks: A Laboratory to Industrial-Scale Study. Environ. Technol. Innov. 2021, 21, 101350. [Google Scholar] [CrossRef]
- Garcia-Ubaque, C.A.; Giraldo, L.; Moreno-Piraján, J.C. Quality Study of Ceramic Bricks Manufacture with Clay and Ashes from the Incineration of Municipal Solid Wastes. Afinidad 2013, 561, 60–66. [Google Scholar]
- Singh, I.B.; Chaturvedi, K.; Morchhale, R.K.; Yegneswaran, A.H. Thermal Treatment of Toxic Metals of Industrial Hazardous Wastes with Fly Ash and Clay. J. Hazard. Mater. 2007, 141, 215–222. [Google Scholar] [CrossRef]
- Galán-Arboledas, R.J.; Álvarez de Diego, J.; Dondi, M.; Bueno, S. Energy, Environmental and Technical Assessment for the Incorporation of EAF Stainless Steel Slag in Ceramic Building Materials. J. Clean. Prod. 2017, 142, 1778–1788. [Google Scholar] [CrossRef]
- Fernández-Pereira, C.; de La Casa, J.A.; Gómez-Barea, A.; Arroyo, F.; Leiva, C.; Luna, Y. Application of Biomass Gasification Fly Ash for Brick Manufacturing. Fuel 2011, 90, 220–232. [Google Scholar] [CrossRef]
- Alonso-Santurde, R.; Andrés, A.; Viguri, J.R.; Raimondo, M.; Guarini, G.; Zanelli, C.; Dondi, M. Technological Behaviour and Recycling Potential of Spent Foundry Sands in Clay Bricks. J. Environ. Manag. 2011, 92, 994–1002. [Google Scholar] [CrossRef]
- Alonso-Santurde, R.; Coz, A.; Quijorna, N.; Viguri, J.R.; Andrés, A. Valorization of Foundry Sand in Clay Bricks at Industrial Scale. J. Ind. Ecol. 2010, 14, 217–230. [Google Scholar] [CrossRef]
- Quijorna, N.; Miguel, G.S.S.; Andrés, A. Incorporation of Waelz Slag into Commercial Ceramic Bricks: A Practical Example of Industrial Ecology. Ind. Eng. Chem. Res. 2011, 50, 5806–5814. [Google Scholar] [CrossRef]
- Quijorna, N.; Coz, A.; Andres, A.; Cheeseman, C. Recycling of Waelz Slag and Waste Foundry Sand in Red Clay Bricks. Resour. Conserv. Recycl. 2012, 65, 1–10. [Google Scholar] [CrossRef]
- Little, M.R.; Adell, V.; Boccaccini, A.R.; Cheeseman, C.R. Production of Novel Ceramic Materials from Coal Fly Ash and Metal Finishing Wastes. Resour. Conserv. Recycl. 2008, 52, 1329–1335. [Google Scholar] [CrossRef]
- Gupta, N.; Gedam, V.V.; Moghe, C.; Labhasetwar, P. Comparative Assessment of Batch and Column Leaching Studies for Heavy Metals Release from Coal Fly Ash Bricks and Clay Bricks. Environ. Technol. Innov. 2019, 16, 100461. [Google Scholar] [CrossRef]
- European Comission. European Comission Reference Document on Best Available Techniques in the Ceramic Manufacturing Industry; European Comission: Brussels, Belgium, 2007. [Google Scholar]
- Hamer, K.; Karius, V. Brick Production with Dredged Harbour Sediments. An Industrial-Scale Experiment. Waste Manag. 2002, 22, 521–530. [Google Scholar] [CrossRef]
- Anderson, M.; Elliott, M.; Hickson, C. Factory-scale proving trials using combined mixtures of three by-product wastes (including incinerated sewage sludge ash) in clay building bricks. J. Chem. Technol. Biotechnol. 2002, 77, 345–351. [Google Scholar] [CrossRef]
- García-Ubaque, C.A.; Moreno-Piraján, J.C.; Giraldo-Gutierrez, L.; Sapag, K. Stabilization/Solidification of Ashes in Clays Used in the Manufacturing of Ceramic Bricks. Waste Manag. Res. 2007, 25, 352–362. [Google Scholar] [CrossRef]
- Dondi, M.; Guarini, G.; Raimondo, M.; Ruffini, A. Orimulsion Fly Ash in Clay Bricks—Part 3: Chemical Stability of Ash-Bearing Products. J. Eur. Ceram. Soc. 2002, 22, 1749–1758. [Google Scholar] [CrossRef]
- Souza, V.P.; Toledo, R.; Holanda, J.N.F.; Vargas, H.; Faria, R.T. Pollutant Gas Analysis Evolved during Firing of Red Ceramic Incorporated with Water Treatment Plant Sludge. Ceramica 2008, 54, 351–355. [Google Scholar] [CrossRef][Green Version]
- Coronado, M.; Andrés, A.; Cheeseman, C.R. Acid Gas Emissions from Structural Clay Products Containing Secondary Resources: Foundry Sand Dust and Waelz Slag. J. Clean. Prod. 2016, 115, 191–202. [Google Scholar] [CrossRef]
- Zanelli, C.; Conte, S.; Molinari, C.; Soldati, R.; Dondi, M. Waste recycling in ceramic tiles: A technological outlook. Resour. Conserv. Recycl. 2021, 168, 105289. [Google Scholar] [CrossRef]
- Cultrone, G.; Sebastián, E. Fly ash addition in clayey materials to improve the quality of solid bricks. Constr. Build. Mater. 2009, 23, 1178–1184. [Google Scholar] [CrossRef]
- Naganathan, S.; Mohamed, A.Y.O.; Mustapha, K.N. Performance of bricks made using fly ash and bottom ash. Constr. Build. Mater. 2015, 96, 576–580. [Google Scholar] [CrossRef]
- McKenzie, R.M. The Adsorption of Molybdenum on Oxide Surfaces. Aust. J. Soil Res. 1983, 21, 505–513. [Google Scholar] [CrossRef]
- Amorós, J.L.; Orts, M.J.; García-Ten, J.; Gozalbo, A.; Sánchez, E. Effect of the green porous texture on porcelain tile properties. J. Eur. Ceram. Soc. 2007, 27, 2295–2301. [Google Scholar] [CrossRef]
- Romero, M.; Pérez, J.M. Relation between the microstructure and technological properties of porcelain stoneware. A review. Mater. Constr. 2015, 65, e065. [Google Scholar] [CrossRef]
- González, I.; Galán, E.; Miras, A.; Vázquez, M.A. CO2 emissions derived from raw materials used in brick factories. Applications to Andalusia (Southern Spain). Appl. Clay Sci. 2011, 52, 193–198. [Google Scholar] [CrossRef]
- Uaciquete, D.L.E.; Sakusabe, K.; Kato, T.; Okawa, H.; Sugawara, K.; Nonaka, R. Influence of unburned carbon on mercury chemical forms in fly ash produced from a coal-fired power plant. Fuel 2021, 300, 120802. [Google Scholar] [CrossRef]












| Sample | Coal Fly Ash (A/B) | Clay (A/B) |
|---|---|---|
| P1 | 100 | 0 |
| P2 | 90 | 10 |
| P3 | 80 | 20 |
| P4 | 70 | 30 |
| P5 | 60 | 40 |
| P6 | 50 | 50 |
| P7 | 40 | 60 |
| P8 | 30 | 70 |
| P9 | 20 | 80 |
| P10 | 10 | 90 |
| P11 | 0 | 100 |
| Major Oxide, Wt (%) | Clay A | Clay B | FAA | FAB |
|---|---|---|---|---|
| SiO2 | 63.35 | 63.7 | 52.53 | 40.20 |
| Al2O3 | 17.11 | 15.69 | 22.23 | 16.62 |
| Fe2O3 | 5.89 | 6.26 | 8.38 | 5.26 |
| MnO | 0.054 | 0.079 | 0.103 | 0.057 |
| MgO | 0.85 | 0.86 | 2.25 | 1.71 |
| CaO | 0.47 | 0.58 | 4.70 | 3.37 |
| Na2O | 0.61 | 0.69 | 1.11 | 0.88 |
| K2O | 3.08 | 2.67 | 2.03 | 1.82 |
| TiO2 | 0.843 | 0.762 | 0.898 | 0.681 |
| P2O5 | 0.10 | 0.10 | 0.61 | 0.56 |
| LOI (Loss of ignition) 1 | 6.15 | 7.40 | 5.43 | 27.03 |
| Trace elements (ppm) | ||||
| As | 23 | 25 | 31 | 39 |
| Ba | 634 | 1597 | 1965 | 1800 |
| Cd | <0.5 | <0.5 | <0.5 | <0.5 |
| Cr | 80 | 80 | 170 | 120 |
| Cu | 30 | 20 | 50 | 40 |
| Mo | <2 | <2 | 17 | 11 |
| Ni | 40 | 40 | 80 | 60 |
| Pb | 28 | 37 | 27 | < 5 |
| Sb | 0.007 | 0.008 | 2.6 | 2.2 |
| Zn | 80 | 140 | 140 | <30 |
| Leaching Concentrations (mg/kg) | Landfill Limits 1 | |||||
|---|---|---|---|---|---|---|
| Clay A | Clay B | FAA | FAB | Inert | Non-Hazardous | |
| pH | 7.72 | 9.35 | 11.01 | 12.52 | - | - |
| As | 0.461 ± 0.02 | 0.296 ± 0.01 | 0.146 ± 0.16 | 0.110 ± 0.03 | 0.5 | 2 |
| Ba | 1.075 ± 0.036 | 11.337 ± 0.036 | 4.668 ± 0.220 | 2.163 ± 0.099 | 20 | 100 |
| Cd | 0.003 ± 0.0001 | 0.013 ± 0.0002 | 0.006 ± 0.004 | 0.004 ± 0.001 | 0.04 | 1 |
| Cr | 0.006 ± 0.005 | 0.008 ± 0.0002 | 1.375 ± 0.13 | 1.998 ± 0.128 | 0.5 | 10 |
| Cu | 0.106 ± 0.003 | 0.095 ± 0.001 | 0.046 ± 0.004 | 0.059 ± 0.005 | 2 | 50 |
| Hg | 0.002 ± 0.0001 | 0.0013 ± 0.0002 | 0.008 ± 0.007 | 0.009 ± 0.006 | 0.01 | 0.2 |
| Mo | 0.0183 ± 0.0001 | 0.004 ± 0.001 | 5.450 ± 0.065 | 5.196 ± 0.007 | 0.5 | 10 |
| Ni | 0.047 ± 0.005 | 0.016 ± 0.001 | 0.015 ± 0.001 | 0.011 ± 0.001 | 0.4 | 10 |
| Pb | 0.046 ± 0.001 | 0.057 ± 0.002 | 0.035 ± 0.01 | 0.021 ± 0.01 | 0.5 | 10 |
| Sb | 0.008 ± 0.0002 | 0.008 ± 0.0002 | 0.021 ± 0.001 | 0.013 ± 0.001 | 0.06 | 0.7 |
| Se | 0.021 ± 0.007 | 0.087 ± 0.0007 | 2.617 ± 0.255 | 0.619 ± 0.053 | 0.1 | 0.5 |
| Zn | 1.599 ± 0.035 | 1.60 ± 0.012 | 0.943 ± 0.044 | 0.370 ± 0.019 | 4 | 50 |
| Raw Materials | Initial Content (%) | Emissions (mg/kg) * | ||||||||
|---|---|---|---|---|---|---|---|---|---|---|
| Cl | F | S | C | N | HCl | HF | SO2 | CO2 | N | |
| Clay B | 0.02 | 0.02 | 0.02 | 0.3 | - | 119.28 | 122.14 | 31.93 | 454.27 | - |
| FAA (low LOI) | 0.02 | 0.01 | 0.17 | 4.7 | - | 11.81 | 6.05 | 2992 | 17,844 | - |
| FAB (high LOI) | 0.02 | 0.01 | 0.31 | 24.4 | - | 76.19 | 39.01 | 6090 | 122,160 | - |
Publisher’s Note: MDPI stays neutral with regard to jurisdictional claims in published maps and institutional affiliations. |
© 2022 by the authors. Licensee MDPI, Basel, Switzerland. This article is an open access article distributed under the terms and conditions of the Creative Commons Attribution (CC BY) license (https://creativecommons.org/licenses/by/4.0/).
Share and Cite
Dacuba, J.; Cifrian, E.; Romero, M.; Llano, T.; Andrés, A. Influence of Unburned Carbon on Environmental-Technical Behaviour of Coal Fly Ash Fired Clay Bricks. Appl. Sci. 2022, 12, 3765. https://doi.org/10.3390/app12083765
Dacuba J, Cifrian E, Romero M, Llano T, Andrés A. Influence of Unburned Carbon on Environmental-Technical Behaviour of Coal Fly Ash Fired Clay Bricks. Applied Sciences. 2022; 12(8):3765. https://doi.org/10.3390/app12083765
Chicago/Turabian StyleDacuba, Juan, Eva Cifrian, Maximina Romero, Tamara Llano, and Ana Andrés. 2022. "Influence of Unburned Carbon on Environmental-Technical Behaviour of Coal Fly Ash Fired Clay Bricks" Applied Sciences 12, no. 8: 3765. https://doi.org/10.3390/app12083765
APA StyleDacuba, J., Cifrian, E., Romero, M., Llano, T., & Andrés, A. (2022). Influence of Unburned Carbon on Environmental-Technical Behaviour of Coal Fly Ash Fired Clay Bricks. Applied Sciences, 12(8), 3765. https://doi.org/10.3390/app12083765

