Antioxidant, Antimicrobial and Antibiofilm Properties of Glechoma hederacea Extracts Obtained by Supercritical Fluid Extraction, Using Different Extraction Conditions
Abstract
:Featured Application
Abstract
1. Introduction
2. Materials and Methods
2.1. Material and Sample Extraction
2.2. Chemicals
2.3. Total Phenolic Content of G. hederacea Extracts
2.4. Evaluation of Antioxidant Activity
2.4.1. Ferric Reducing Antioxidant Power (FRAP) Assay
2.4.2. Free Radical Scavenging by ABTS Assay
2.4.3. Free Radical Scavenging Ability by DPPH Assay
2.5. Antimicrobial Activity of G. hederacea Extracts
2.5.1. Indicator Microorganisms
2.5.2. Inoculum Preparation and Standardization
2.5.3. Minimal Inhibitory Concentration (MIC), Minimal Bactericidal Concentration (MBC), Minimal Fungicidal Concentration (MFC) Determination
2.6. Antibiofilm Activity of G. hederacea Extracts
2.6.1. Biofilm Formation
2.6.2. Assessment of Antibiofilm Activity of G. hederacea Extracts
2.6.3. Biofilm Staining and Quantifying
2.7. Statistical Analysis
3. Results
3.1. Phenolic Content of G. hederacea Extracts Obtained at Different Extraction Variants
3.2. Antioxidant Effect of G. hederacea Extracts
3.3. Antibacterial Activity
3.4. Fungistatic Activity—MIC and MFC Values
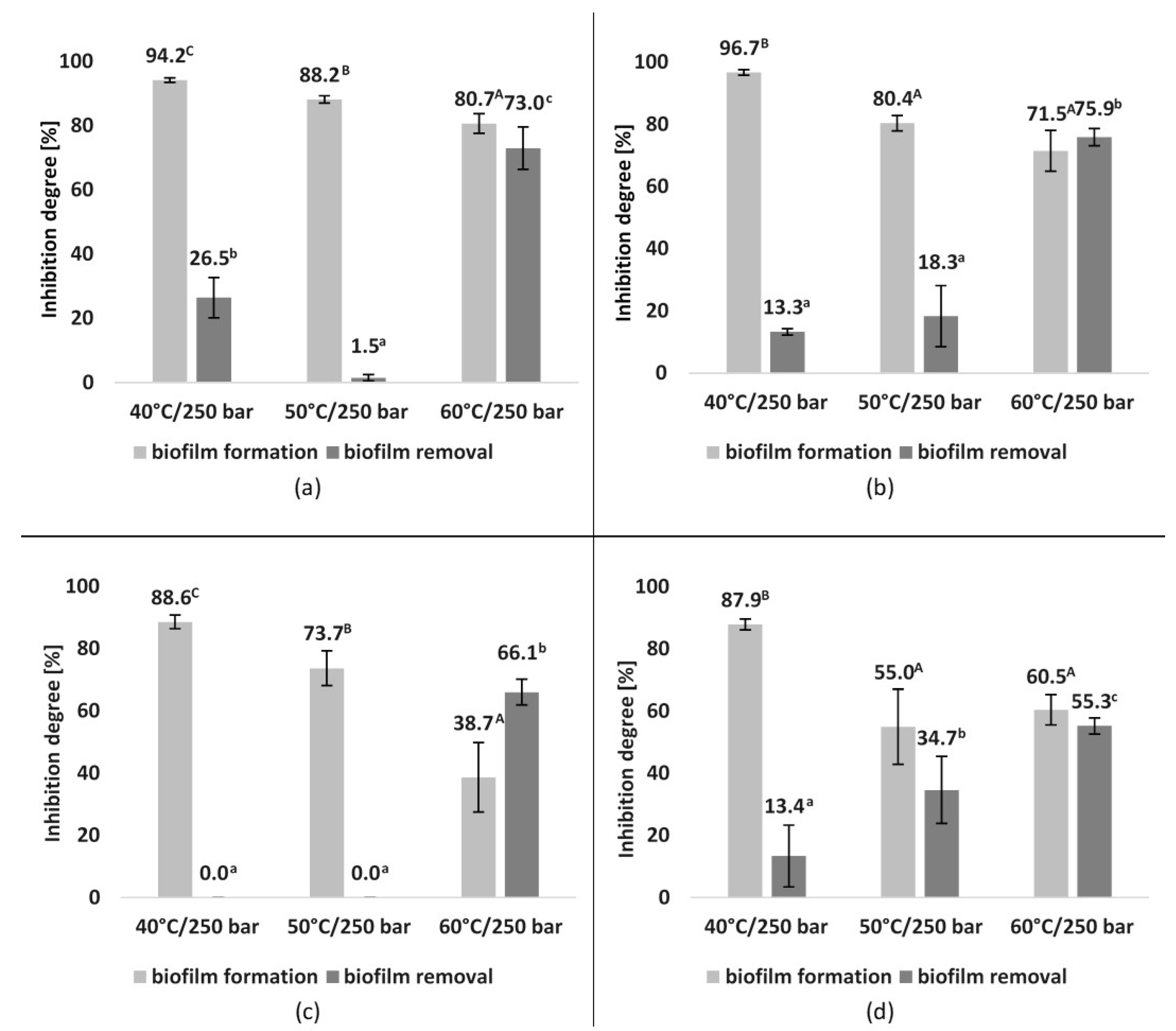
3.5. Antibiofilm Activity
4. Conclusions
Supplementary Materials
Author Contributions
Funding
Institutional Review Board Statement
Informed Consent Statement
Data Availability Statement
Conflicts of Interest
References
- Uyttendaele, M.; Franz, E.; Schlüter, O. Food Safety, a Global Challenge. Int. J. Environ. Res. Public Health 2016, 13, 67. [Google Scholar] [CrossRef]
- World Health Organization. Estimates of the Global Burden of Foodborne Diseases: Food Borne Disease Burden Epidemiology Reference Group 2007–2015; WHO: Geneva, Switzerland, 2015. [Google Scholar]
- Soares, L.S.; Almeida, R.C.; Cerqueira, E.S.; Carvalho, J.S.; Nunes, I.L. Knowledge, attitudes and practices in food safety and the presence of coagulase-positive staphylococci on hands of food handlers in the schools of Camaçari, Brazil. Food Control 2012, 27, 206–213. [Google Scholar] [CrossRef] [Green Version]
- Mostafa, A.A.; Al-Askar, A.A.; Almaary, K.S.; Dawoud, T.M.; Sholkamy, E.; Bakri, M.M. Antimicrobial activity of some plant extracts against bacterial strains causing food poisoning diseases. Saudi J. Biol. Sci. 2017, 25, 361–366. [Google Scholar] [CrossRef] [PubMed]
- Pandey, A.; Singh, P. Antibacterial activity of Syzygium aromaticum (clove) with metal ion effect against food borne pathogens. Asian J. Plant Sci. 2011, 1, 69–80. [Google Scholar]
- European Food Safety Authority (EFSA); European Centre for Disease Prevention and Control (ECDC). The European Union summary report on trends and sources of zoonoses, zoonotic agents and food-borne outbreaks in 2017. EFSA J. 2018, 16, e05500. [Google Scholar] [CrossRef]
- Galiè, S.; García-Gutiérrez, C.; Miguélez, E.M.; Villar, C.J.; Lombó, F. Biofilms in the Food Industry: Health Aspects and Control Methods. Front. Microbiol. 2018, 9, 898. [Google Scholar] [CrossRef]
- Chilaka, C.A.; De Boevre, M.; Atanda, O.O.; De Saeger, S. The Status of Fusarium Mycotoxins in Sub-Saharan Africa: A Review of Emerging Trends and Post-Harvest Mitigation Strategies towards Food Control. Toxins 2017, 9, 19. [Google Scholar] [CrossRef] [Green Version]
- Wild, C.P.; Gong, Y.Y. Mycotoxins and human disease: A largely ignored global health issue. Carcinogenesis 2009, 31, 71–82. [Google Scholar] [CrossRef]
- Zain, M.E. Impact of mycotoxins on humans and animals. J. Saudi Chem. Soc. 2011, 15, 129–144. [Google Scholar] [CrossRef] [Green Version]
- Khaneghah, A.M.; Farhadi, A.; Nematollahi, A.; Vasseghian, Y.; Fakhri, Y. A systematic review and meta-analysis to investigate the concentration and prevalence of trichothecenes in the cereal-based food. Trends Food Sci. Technol. 2020, 102, 193–202. [Google Scholar] [CrossRef]
- Sales, M.D.C.; Costa, H.B.; Fernandes, P.M.B.; Ventura, J.A.; Meira, D.D. Antifungal activity of plant extracts with potential to control plant pathogens in pineapple. Asian Pac. J. Trop. Biomed. 2016, 6, 26–31. [Google Scholar] [CrossRef]
- Gnat, S.; Majer-Dziedzic, B.; Nowakiewicz, A.; Trościańczyk, A.; Ziółkowska, G.; Jesionek, W.; Choma, I.; Dziedzic, R.; Zięba, P. Antimicrobial activity of some plant extracts against bacterial pathogens isolated from faeces of red deer (Cervus elaphus). Pol. J. Vet. Sci. 2017, 20, 697–706. [Google Scholar] [CrossRef] [PubMed]
- Gonelimali, F.D.; Lin, J.; Miao, W.; Xuan, J.; Charles, F.; Chen, M.; Hatab, S.R. Antimicrobial Properties and Mechanism of Action of Some Plant Extracts Against Food Pathogens and Spoilage Microorganisms. Front. Microbiol. 2018, 9, 1639. [Google Scholar] [CrossRef] [PubMed]
- Manandhar, S.; Luitel, S.; Dahal, R.K. In Vitro Antimicrobial Activity of Some Medicinal Plants against Human Pathogenic Bacteria. J. Trop. Med. 2019, 2019, 1–5. [Google Scholar] [CrossRef] [PubMed] [Green Version]
- Kim, J.; Song, S.; Lee, I.; Kim, Y.; Yoo, I.; Ryoo, I.; Bae, K. Anti-inflammatory activity of constituents from Glechoma hederacea var. longituba. Bioorgan. Med. Chem. Lett. 2011, 21, 3483–3487. [Google Scholar] [CrossRef]
- An, H.-J.; Jeong, H.-J.; Um, J.-Y.; Kim, H.-M.; Hong, S.-H. Glechoma hederacea inhibits inflammatory mediator release in IFN-γ and LPS-stimulated mouse peritoneal macrophages. J. Ethnopharmacol. 2006, 106, 418–424. [Google Scholar] [CrossRef]
- Chou, S.T.; Chan, Y.R.; Chung, Y.C. Studies on the Antimutagenicity and Antioxidant Activity of the Hot Water Extract of Glechoma hederacea. J. Food Drug Anal. 2012, 20, 637–645. [Google Scholar] [CrossRef]
- Belščak-Cvitanović, A.; Durgo, K.; Bušić, A.; Franekić, J.; Komes, D. Phytochemical Attributes of Four Conventionally Extracted Medicinal Plants and Cytotoxic Evaluation of Their Extracts on Human Laryngeal Carcinoma (HEp2) Cells. J. Med. Food 2014, 17, 206–217. [Google Scholar] [CrossRef]
- Chao, W.; Chan, W.; Ma, H.; Chou, S. Phenolic acids and flavonoids-rich Glechoma hederacea L. (Lamiaceae) water extract against H2O2—Induced apoptosis in PC12 cells. J. Food Biochem. 2021, 46, e14032. [Google Scholar] [CrossRef]
- Cho, K.; Choi, Y.-J.; Ahn, Y.H. Identification of Polyphenol Glucuronide Conjugates in Glechoma hederacea var. longituba Hot Water Extracts by High-Performance Liquid Chromatography-Tandem Mass Spectrometry (HPLC-MS/MS). Molecules 2020, 25, 4713. [Google Scholar] [CrossRef]
- Zhou, Y.; He, Y.-J.; Wang, Z.-J.; Hu, B.-Y.; Xie, T.-Z.; Xiao, X.; Zhou, Z.-S.; Sang, X.-Y.; Luo, X.-D. A review of plant characteristics, phytochemistry and bioactivities of the genus Glechoma. J. Ethnopharmacol. 2021, 271, 113830. [Google Scholar] [CrossRef] [PubMed]
- Chou, S.-T.; Lin, T.-H.; Peng, H.-Y.; Chao, W.-W. Phytochemical profile of hot water extract of Glechoma hederacea and its antioxidant, and anti-inflammatory activities. Life Sci. 2019, 231, 116519. [Google Scholar] [CrossRef] [PubMed]
- Kumarasamy, Y.; Cox, P.J.; Jaspars, M.; Nahar, L.; Sarker, S.D. Isolation, structure elucidation and biological activity of hederacine A and B, two unique alkaloids from Glechoma hederaceae. Tetrahedron 2003, 59, 6403–6407. [Google Scholar] [CrossRef]
- Zhu, Q.-F.; Wang, Y.-Y.; Jiang, W.; Qu, H.-B. Three new norlignans from Glechoma longituba. J. Asian Nat. Prod. Res. 2013, 15, 258–264. [Google Scholar] [CrossRef]
- Grabowska, K.; Żmudzki, P.; Wróbel-Biedrawa, D.; Podolak, I. Simultaneous Quantification of Ursolic and Oleanolic Acids in Glechoma hederacea and Glechoma hirsuta by UPLC/MS/MS. Planta Medica 2021, 87, 305–313. [Google Scholar] [CrossRef]
- Chou, S.-T.; Lai, C.-C.; Lai, C.-P.; Chao, W.-W. Chemical composition, antioxidant, anti-melanogenic and anti-inflammatory activities of Glechoma hederacea (Lamiaceae) essential oil. Ind. Crop. Prod. 2018, 122, 675–685. [Google Scholar] [CrossRef]
- Hwang, J.; Erkhembaatar, M.; Gu, D.; Lee, S.; Lee, C.; Shin, D.M.; Lee, Y.; Kim, M. Glechoma hederacea Suppresses RANKL-mediated Osteoclastogenesis. J. Dent. Res. 2014, 93, 685–690. [Google Scholar] [CrossRef] [Green Version]
- Oalđe, M.; Kolarević, S.; Živković, J.; Aradski, A.A.; Marić, J.J.; Kolarević, M.K.; Đorđević, J.; Marin, P.D.; Šavikin, K.; Vuković-Gačić, B.; et al. A comprehensive assessment of the chemical composition, antioxidant, genoprotective and antigenotoxic activities of Lamiaceae species using different experimental models in vitro. Food Funct. 2021, 12, 3233–3245. [Google Scholar] [CrossRef]
- Milovanovic, M.; Zivkovic, D.; Vucelic-Radovic, B. Antioxidant Effects of Glechoma hederacea as a Food Additive. Nat. Prod. Commun. 2010, 5. [Google Scholar] [CrossRef] [Green Version]
- Chao, W.W.; Liou, Y.J.; Ma, H.T.; Chen, Y.H.; Chou, S. Phytochemical composition and bioactive effects of ethyl acetate fraction extract (EAFE) of Glechoma hederacea L. J. Food Biochem. 2021, 45, e13815. [Google Scholar] [CrossRef]
- Varga, L.; Engel, R.; Szabo, K.; Abrankó, L.; Gosztola, B.; Németh, Z.; Sárosi, S. Seasonal Variation in Phenolic Content and Antioxidant Activity of Glechoma hederacea L. Harvested from Six Hungarian Populations. Acta Aliment. 2016, 45, 268–276. [Google Scholar] [CrossRef] [Green Version]
- Benito-Román, O.; Rodríguez-Perrino, M.; Sanz, M.T.; Melgosa, R.; Beltrán, S. Supercritical carbon dioxide extraction of quinoa oil: Study of the influence of process parameters on the extraction yield and oil quality. J. Supercrit. Fluids 2018, 139, 62–71. [Google Scholar] [CrossRef] [Green Version]
- Fornari, T.; Vicente, G.; Vázquez, E.; Garcia-Risco, M.R.; Reglero, G. Isolation of essential oil from different plants and herbs by supercritical fluid extraction. J. Chromatogr. A 2012, 1250, 34–48. [Google Scholar] [CrossRef] [PubMed] [Green Version]
- Uwineza, P.A.; Waśkiewicz, A. Recent Advances in Supercritical Fluid Extraction of Natural Bioactive Compounds from Natural Plant Materials. Molecules 2020, 25, 3847. [Google Scholar] [CrossRef]
- Bai, X.; Aimila, A.; Aidarhan, N.; Duan, X.; Maiwulanjiang, M. Chemical constituents and biological activities of essential oil from Mentha longifolia: Effects of different extraction methods. Int. J. Food Prop. 2020, 23, 1951–1960. [Google Scholar] [CrossRef]
- Gonçalves, R.M.; Lemos, C.O.T.; Leal, I.C.R.; Nakamura, C.V.; Cortez, D.A.G.; Da Silva, E.A.; Cabral, V.F.; Cardozo-Filho, L. Comparing Conventional and Supercritical Extraction of (−)-Mammea A/BB and the Antioxidant Activity of Calophyllum brasiliense Extracts. Molecules 2013, 18, 6215–6229. [Google Scholar] [CrossRef]
- Uwineza, P.A.; Gramza-Michałowska, A.; Bryła, M.; Waśkiewicz, A. Antioxidant Activity and Bioactive Compounds of Lamium album Flower Extracts Obtained by Supercritical Fluid Extraction. Appl. Sci. 2021, 11, 7419. [Google Scholar] [CrossRef]
- Arabshahi-Delouee, S.; Urooj, A. Antioxidant properties of various solvent extracts of mulberry (Morus indica L.) leaves. Food Chem. 2007, 102, 1233–1240. [Google Scholar] [CrossRef]
- Li, H.-B.; Cheng, K.-W.; Wong, C.-C.; Fan, K.-W.; Chen, F.; Jiang, Y. Evaluation of antioxidant capacity and total phenolic content of different fractions of selected microalgae. Food Chem. 2007, 102, 771–776. [Google Scholar] [CrossRef]
- Mabrouki, H.; Duarte, C.; Akretche, D.E. Estimation of Total Phenolic Contents and In Vitro Antioxidant and Antimicrobial Activities of Various Solvent Extracts of Melissa officinalis L. Arab. J. Sci. Eng. 2017, 43, 3349–3357. [Google Scholar] [CrossRef]
- Benzie, I.F.; Devaki, M. The ferric reducing/antioxidant power (FRAP) assay for non-enzymatic antioxidant capacity: Concepts, procedures, limitations and applications. Meas. Antioxid. Act. Capacit. 2018, 77–106. [Google Scholar] [CrossRef]
- Tomasina, F.; Carabio, C.; Celano, L.; Thomson, L. Analysis of two methods to evaluate antioxidants. Biochem. Mol. Biol. Educ. 2012, 40, 266–270. [Google Scholar] [CrossRef] [PubMed]
- Re, R.; Pellegrini, N.; Proteggente, A.; Pannala, A.; Yang, M.; Rice-Evans, C. Antioxidant activity applying an improved ABTS radical cation decolorization assay. Free Radic. Biol. Med. 1999, 26, 1231–1237. [Google Scholar] [CrossRef]
- Xiao, F.; Xu, T.; Lu, B.; Liu, R. Guidelines for antioxidant assays for food components. Food Front. 2020, 1, 60–69. [Google Scholar] [CrossRef] [Green Version]
- Moradi, M.-T.; Karimi, A.; Alidadi, S.; Hashemi, L. In Vitro Anti-adenovirus Activity, Antioxidant Potential and total Phenolic Compounds of Melissa officinalis L. (Lemon Balm) Extract. Int. J. Pharmacogn. Phytochem. Res. 2016, 8, 1471–1477. [Google Scholar]
- Gwiazdowski, R.; Gwiazdowska, D.; Marchwińska, K.; Juś, K.; Szutowska, J.; Bednarek-Bartsch, A.; Danielewicz, B. Fungistatic activity of essential oils towards selected oilseed rape pathogens. Prog. Plant Prot. 2018, 58, 300–305. [Google Scholar] [CrossRef]
- Rzemieniecki, T.; Gwiazdowska, D.; Rybak, K.; Materna, K.; Juś, K.; Pernak, J. Synthesis, Properties, and Antimicrobial Activity of 1-Alkyl-4-hydroxy-1-methylpiperidinium Ionic Liquids with Mandelate Anion. ACS Sustain. Chem. Eng. 2019, 7, 15053–15063. [Google Scholar] [CrossRef]
- Somrani, M.; Inglés, M.-C.; Debbabi, H.; Abidi, F.; Palop, A. Garlic, Onion, and Cinnamon Essential Oil Anti-Biofilms’ Effect against Listeria monocytogenes. Foods 2020, 9, 567. [Google Scholar] [CrossRef]
- O’Toole, G.A. Microtiter Dish Biofilm Formation Assay. J. Vis. Exp. 2011, 47, e2437. [Google Scholar] [CrossRef]
- Silva, S.G.; de Oliveira, M.S.; Cruz, J.N.; da Costa, W.A.; da Silva, S.H.M.; Maia, A.A.B.; de Sousa, R.L.; Junior, R.N.C.; Andrade, E.H.D.A. Supercritical CO2 extraction to obtain Lippia thymoides Mart. & Schauer (Verbenaceae) essential oil rich in thymol and evaluation of its antimicrobial activity. J. Supercrit. Fluids 2020, 168, 105064. [Google Scholar] [CrossRef]
- Bezerra, F.; de Oliveira, M.; Bezerra, P.; Cunha, V.; Silva, M.; da Costa, W.; Pinto, R.; Cordeiro, R.; da Cruz, J.; Neto, A.C.; et al. Extraction of bioactive compounds. In Green Sustainable Process for Chemical and Environmental Engineering and Science; Elsevier: Amsterdam, The Netherlands, 2020; pp. 149–167. [Google Scholar]
- Hahm, Y.H.; Cho, K.; Ahn, Y.H. Compositional Characteristics of Glucuronide Conjugates in Regional Glechoma hederacea var. longituba Herbal Extracts Using a Set of Polyphenolic Marker Compounds. Plants 2021, 10, 2353. [Google Scholar] [CrossRef] [PubMed]
- De Melo, M.M.R.; Silvestre, A.J.D.; Silva, C.M. Supercritical fluid extraction of vegetable matrices: Applications, trends and future perspectives of a convincing green technology. J. Supercrit. Fluids 2014, 92, 115–176. [Google Scholar] [CrossRef]
- Feliciano, R.P.; Meudt, J.J.; Shanmuganayagam, D.; Metzger, B.T.; Krueger, C.G.; Reed, J.D. Supercritical Fluid Extraction (SFE) of Cranberries Does Not Extract Oligomeric Proanthocyanidins (PAC) but Does Alter the Chromatography and Bioactivity of PAC Fractions Extracted from SFE Residues. J. Agric. Food Chem. 2014, 62, 7730–7737. [Google Scholar] [CrossRef]
- García-Abarrio, S.; Martin, L.; Burillo, J.; Della Porta, G.; Mainar, A. Supercritical fluid extraction of volatile oil from Lippia alba (Mill.) cultivated in Aragón (Spain). J. Supercrit. Fluids 2014, 94, 206–211. [Google Scholar] [CrossRef]
- Akowuah, G.; Mariam, A.; Chin, J. The effect of extraction temperature on total phenols and antioxidant activity of Gynura procumbens leaf. Pharmacogn. Mag. 2009, 5, 81. [Google Scholar]
- Shahidi, F.; Zhong, Y. Measurement of antioxidant activity. J. Funct. Foods 2015, 18, 757–781. [Google Scholar] [CrossRef]
- Matkowski, A. Antioxidant activity of extracts and different solvent fractions of Glechoma hederacea L. and Orthosiphon stamineus (Benth.) Kudo. Adv. Clin. Exp. Med. 2008, 17, 615–624. [Google Scholar]
- Cadena-Carrera, S.; Tramontin, D.P.; Cruz, A.B.; Cruz, R.C.B.; Müller, J.M.; Hense, H. Biological activity of extracts from guayusa leaves (Ilex guayusa Loes.) obtained by supercritical CO2 and ethanol as cosolvent. J. Supercrit. Fluids 2019, 152, 104543. [Google Scholar] [CrossRef]
- Mendiola, J.A.; Santoyo, S.; Cifuentes, A.; Reglero, G.; Ibáñez, E.; Señoráns, F.J. Antimicrobial Activity of Sub- and Supercritical CO2 Extracts of the Green Alga Dunaliella salina. J. Food Prot. 2008, 71, 2138–2143. [Google Scholar] [CrossRef]
- Tian, F.M.; Huang, Z.H.; Wang, H.; Chen, Q.; Zhuo, P.Q.; Chen, W.D. The study of antibacterial activity of Glechoma Alcohol extraction in vitro. J. Gansu Norm. Coll. 2016, 21, 42–45. [Google Scholar]
- Coss, E.; Kealey, C.; Brady, D.; Walsh, P. A laboratory investigation of the antimicrobial activity of a selection of western phytomedicinal tinctures. Eur. J. Integr. Med. 2018, 19, 80–83. [Google Scholar] [CrossRef]
- Confortin, T.C.; Todero, I.; Soares, J.F.; Luft, L.; Brun, T.; Rabuske, J.E.; Nogueira, C.U.; Mazutti, M.A.; Zabot, G.L.; Tres, M.V. Extracts from Lupinus albescens: Antioxidant power and antifungal activity in vitro against phytopathogenic fungi. Environ. Technol. 2018, 40, 1668–1675. [Google Scholar] [CrossRef] [PubMed]
- Al-Maqtari, Q.A.; Al-Ansi, W.; Mahdi, A.A.; Al-Gheethi, A.A.S.; Mushtaq, B.S.; Al-Adeeb, A.; Wei, M.; Yao, W. Supercritical fluid extraction of four aromatic herbs and assessment of the volatile compositions, bioactive compounds, antibacterial, and anti-biofilm activity. Environ. Sci. Pollut. Res. 2021, 28, 25479–25492. [Google Scholar] [CrossRef] [PubMed]
- Abdullah; Asghar, A.; Algburi, A.; Huang, Q.; Ahmad, T.; Zhong, H.; Javed, H.U.; Ermakov, A.M.; Chikindas, M.L. Anti-biofilm Potential of Elletaria cardamomum Essential Oil against Escherichia coli O157:H7 and Salmonella Typhimurium JSG 1748. Front. Microbiol. 2021, 12, 620227. [Google Scholar] [CrossRef] [PubMed]
- Santos, L.M.; Rodrigues, D.M.; Kalil, M.A.; Azevedo, V.; Meyer, R.; Umsza-Guez, M.A.; Machado, B.A.; Seyffert, N.; Portela, R.W. Activity of Ethanolic and Supercritical Propolis Extracts in Corynebacterium pseudotuberculosis and Its Associated Biofilm. Front. Vet. Sci. 2021, 8, 965. [Google Scholar] [CrossRef]
- Davenport, E.K.; Call, D.R.; Beyenal, H. Differential Protection from Tobramycin by Extracellular Polymeric Substances from Acinetobacter baumannii and Staphylococcus aureus Biofilms. Antimicrob. Agents Chemother. 2014, 58, 4755–4761. [Google Scholar] [CrossRef] [PubMed] [Green Version]


| Extraction Conditions | TPC (mg GAE/g Extract) |
|---|---|
| 40 °C | 138.33 a ± 5.00 |
| 50 °C | 43.00 b ± 3.04 |
| 60 °C | 46.00 b ± 9.26 |
| Extraction Conditions | DPPH (%) | ABTS (µg TE/g) | FRAP (µmol TE/g) |
|---|---|---|---|
| 40 °C | 56.48 a ± 3.98 | 36.58 a ± 1.20 | 18.15 a ± 0.21 |
| 50 °C | 25.74 b ± 0.43 | 7.60 b ± 0.69 | 13.06 b ± 0.04 |
| 60 °C | 22.21 c ± 0.39 | 4.66 c ± 0.12 | 12.88 b ± 0.07 |
| Microorganism | MIC/ MBC/ (mg/mL) | Glechoma hederacea Extracts, Extraction Conditions: | ||
|---|---|---|---|---|
| 40 °C | 50 °C | 60 °C | ||
| Gram-positive bacteria | ||||
| S. aureus ATCC 33862 | MIC | 0.3 | 2.5 | 2.5 |
| MBC | 0.6 | >5.0 | 2.5 | |
| B. subtilis ATCC 11774 | MIC | 0.6 | 5.0 | >5.0 |
| MBC | 1.25 | >5.0 | >5.0 | |
| E. faecalis ATCC 19433 | MIC | 0.6 | 2.5 | 2.5 |
| MBC | 1.25 | 5.0 | 2.5 | |
| Micrococcus luteus ATCC 4698 | MIC | 1.25 | 1.25 | 1.25 |
| MBC | 5.0 | >5.0 | >5.0 | |
| Gram-negative bacteria | ||||
| P. aeruginosa ATCC 9027 | MIC | 1.25 | 1.25 | 1.25 |
| MBC | 2.5 | 5.0 | 2.5 | |
| S. Enteritidis ATCC 13076 | MIC | 1.25 | 2.5 | 2.5 |
| MBC | 2.5 | 5.0 | 2.5 | |
| E. coli ATCC 8739 | MIC | 2.5 | 2.5 | 2.5 |
| MBC | 5.0 | 5.0 | 2.5 | |
| Microorganism | MIC/ MFC (mg/mL) | Glechoma hederacea Extracts, Extraction Conditions: | ||
|---|---|---|---|---|
| 40 °C | 50 °C | 60 °C | ||
| F. graminearum KZF 1 | MIC | 2.5 | 2.5 | 2.5 |
| MFC | 2.5 | 2.5 | 2.5 | |
| F. culmorum KZF 5 | MIC | 5.0 | 5.0 | 5.0 |
| MFC | 5.0 | 5.0 | 5.0 | |
| A. alternata KZF 13 | MIC | 5.0 | 5.0 | 5.0 |
| MFC | 5.0 | 5.0 | 5.0 | |
| S. sclerotiorum KZF 23 | MIC | 1.25 | 1.25 | 1.25 |
| MFC | 1.25 | 1.25 | 1.25 | |
| B. cinerea BPR 187 | MIC | 5.0 | >5.0 | >5.0 |
| MFC | 5.0 | >5.0 | >5.0 | |
| C. albicans ATCC 10231 | MIC | 1.25 | 2.5 | >5.0 |
| MFC | 1.25 | >5.0 | >5.0 | |
Publisher’s Note: MDPI stays neutral with regard to jurisdictional claims in published maps and institutional affiliations. |
© 2022 by the authors. Licensee MDPI, Basel, Switzerland. This article is an open access article distributed under the terms and conditions of the Creative Commons Attribution (CC BY) license (https://creativecommons.org/licenses/by/4.0/).
Share and Cite
Gwiazdowska, D.; Uwineza, P.A.; Frąk, S.; Juś, K.; Marchwińska, K.; Gwiazdowski, R.; Waśkiewicz, A. Antioxidant, Antimicrobial and Antibiofilm Properties of Glechoma hederacea Extracts Obtained by Supercritical Fluid Extraction, Using Different Extraction Conditions. Appl. Sci. 2022, 12, 3572. https://doi.org/10.3390/app12073572
Gwiazdowska D, Uwineza PA, Frąk S, Juś K, Marchwińska K, Gwiazdowski R, Waśkiewicz A. Antioxidant, Antimicrobial and Antibiofilm Properties of Glechoma hederacea Extracts Obtained by Supercritical Fluid Extraction, Using Different Extraction Conditions. Applied Sciences. 2022; 12(7):3572. https://doi.org/10.3390/app12073572
Chicago/Turabian StyleGwiazdowska, Daniela, Pascaline Aimee Uwineza, Szymon Frąk, Krzysztof Juś, Katarzyna Marchwińska, Romuald Gwiazdowski, and Agnieszka Waśkiewicz. 2022. "Antioxidant, Antimicrobial and Antibiofilm Properties of Glechoma hederacea Extracts Obtained by Supercritical Fluid Extraction, Using Different Extraction Conditions" Applied Sciences 12, no. 7: 3572. https://doi.org/10.3390/app12073572
APA StyleGwiazdowska, D., Uwineza, P. A., Frąk, S., Juś, K., Marchwińska, K., Gwiazdowski, R., & Waśkiewicz, A. (2022). Antioxidant, Antimicrobial and Antibiofilm Properties of Glechoma hederacea Extracts Obtained by Supercritical Fluid Extraction, Using Different Extraction Conditions. Applied Sciences, 12(7), 3572. https://doi.org/10.3390/app12073572

