Synthesis Characterization and X-ray Structure of 2-(2,6-Dichlorophenylamino)-2-imidazoline Tetraphenylborate: Computational Study
Abstract
:1. Introduction
2. Experimental
2.1. Materials and Instrument
2.2. 2-(2,6-Dichlorophenylamino)-2-imidazoline Hydrochloride Tetraphenylborate (3)
2.3. X-ray Analysis
2.4. Computational Study
2.4.1. Geometry Study
2.4.2. Interaction Energies (IE)
2.4.3. Non-Covalent Interaction (NCI) Index
2.4.4. Quantum Theory of Atoms in Molecules (QTAIM)
2.4.5. Reactivity Descriptors
Global Reactivity Descriptors
Molecular Electrostatic Potential (MESP)
3. Results and Discussion
3.1. Chemistry
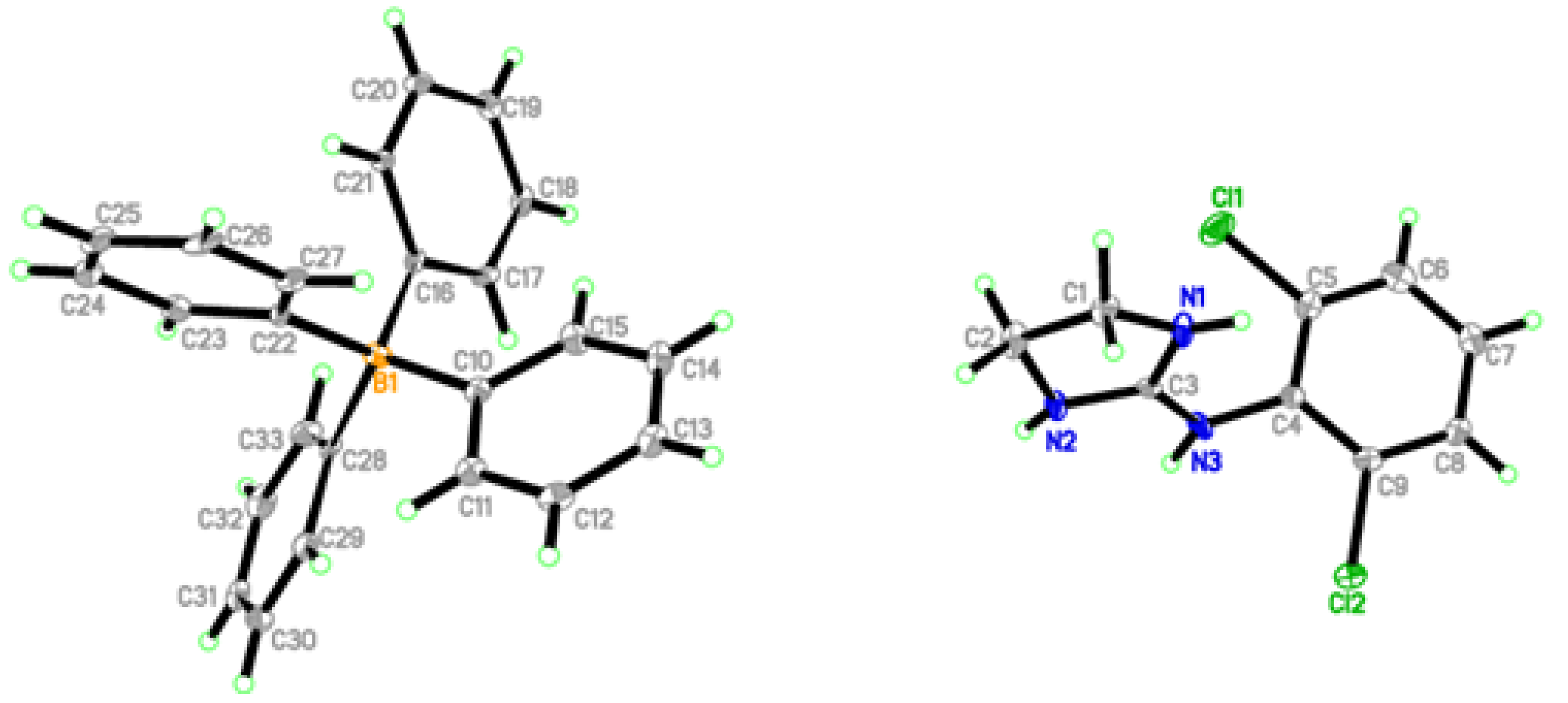
3.2. X-ray Crystallography
3.3. Computational Study
3.3.1. Geometry Data
3.3.2. Interaction Energies (IE)
3.3.3. Non-Covalent Interaction (NCI) Index
3.3.4. Quantum Theory of Atoms in Molecules (QTAIM)
3.3.5. Reactivity Descriptors
Global Reactivity Descriptors
Local Reactivity Descriptors
Molecular Electrostatic Potential (MESP)
4. Conclusions
Author Contributions
Funding
Acknowledgments
Conflicts of Interest
References
- Brayfield, A. Martindale: The Complete Drug Reference; Pharmaceutical Press: London, UK, 2014. [Google Scholar]
- Neil, M.J. Clonidine: Clinical Pharmacology and Therapeutic Use in Pain Management. Curr. Clin. Pharmacol. 2011, 6, 280–287. [Google Scholar] [CrossRef] [PubMed] [Green Version]
- Moffat, A.C.; Osselton, M.D.; Widdop, B.; Clarke, E. Clarke’s Analysis of Drugs and Poisons: In Pharmaceuticals, Body Fluids and Postmortem Materials; Pharmaceutical Press: London, UK, 2004; Volume 1. [Google Scholar]
- Ganjali, M.R.; Karimi, A.; Shahtaheri, S.J.; Norouzi, P. Determination of clonidine by potentiometry using PVC membrane electrode. Int. J. Electrochem. Sci. 2013, 8, 1999–2008. [Google Scholar]
- Wang, C.Y.; Hu, X.Y.; Leng, Z.Z.; Jin, G.D. Nanomolar detection of amitriptyline by potentiometry with ion exchanger based PVC membrane ISEs. Electroanal. Int. J. Devoted Fundam. Pract. Asp. Electroanal. 2003, 15, 709–714. [Google Scholar] [CrossRef]
- Faridbod, F.; Ganjali, M.R.; Norouzi, P. Potentiometric PVC membrane sensor for the determination of terbinafine. Int. J. Electrochem. Sci. 2013, 8, 6107. [Google Scholar]
- Hefnawy, M.M.; Homoda, A.M.; Abounassif, M.A.; Alanazi, A.M.; Al-Majed, A.; Mostafa, G.A. Potentiometric determination of moxifloxacin in some pharmaceutical formulation using PVC membrane sensors. Chem. Cent. J. 2014, 8, 1–8. [Google Scholar] [CrossRef] [Green Version]
- Ahmadi, F.; Asaadi, N. Performance Evaluation of a Novel Potentiometric Membrane Sensor for Determination of Atorvastatin in Pharmaceutical Preparations. Iran. J. Pharm. Res. IJPR 2013, 12, 645–657. [Google Scholar]
- Ganjali, M.R.; Larijani, B.; Faridbod, F.; Norouzi, P. Potentiometric Determination of Cyclizine by a PVC membrane Sensor. Int. J. Electrochem. Sci. 2013, 8, 10487–10497. [Google Scholar]
- Sheldrick, G.M. A short history of SHELX. Acta Crystallogr. Sect. A Found. Crystallogr. 2008, 64, 112–122. [Google Scholar] [CrossRef] [Green Version]
- Allen, F.H.; Kennard, O.; Watson, D.G.; Brammer, L.; Orpen, A.G.; Taylor, R. Tables of bond lengths determined by X-ray and neutron diffraction. Part 1. Bond lengths in organic compounds. J. Chem. Soc. Perkin Trans. 1987, 2, S1–S19. [Google Scholar] [CrossRef]
- de Sousa, J.A.; de Oliveira, M.L.A.; Lima, F.d.C.A.; Sa, J.L.S.; Neto, B.d.S.L.; Costa, L.T.; Carneiro, J.W.d.M. The structure of dichlorotris (tri-phenylphosphine) ruthenium (II): A DFT study of interaction energies and substitution mechanism. Mol. Simul. 2021, 47, 1–8. [Google Scholar] [CrossRef]
- Contreras-García, J.; Johnson, E.R.; Keinan, S.; Chaudret, R.; Piquemal, J.P.; Be-ratan, D.N.; Yang, W. NCIPLOT: A program for plotting noncovalent interaction regions. J. Chem. Theory Comput. 2011, 7, 625–632. [Google Scholar] [CrossRef] [PubMed]
- Tian, L. Multiwfn: A Multifunctional Wavefunction Analyzer, Version 3.1; Wiley: Hoboken, NJ, USA, 2015. [Google Scholar]
- Bader, R.F. Comment on: Revisiting the variational nature of the quantum theory of atoms in molecules. Chem. Phys. Lett. 2006, 426, 226–228. [Google Scholar] [CrossRef]
- Mohan, N.; Suresh, C.H.; Kumar, A.; Gadre, S.R. Molecular electrostatics for probing lone pair–π interactions. Phys. Chem. Chem. Phys. 2013, 15, 18401–18409. [Google Scholar] [CrossRef] [PubMed]
- Kashyap, C.; Ullah, S.S.; Mazumder, L.J.; Guha, A.K. Non-covalent interaction in benzene and substituted benzene: A theoretical study. Comput. Theor. Chem. 2018, 1130, 134–139. [Google Scholar] [CrossRef]
- Murray, J.S.; Paulsen, K.; Politzer, P. Molecular surface electrostatic potentials in the analysis of non-hydrogen-bonding noncovalent interactions. In Indian Academy of Sciences-Chemical Sciences; Springer: Berlin/Heidelberg, Germany, 1994. [Google Scholar]
- Joberg, P.; Politzer, P. Use of the electrostatic potential at the molecular surface to interpret and predict nucleophilic processes. J. Phys. Chem. 1990, 94, 3959–3961. [Google Scholar] [CrossRef]
- Politzer, P.; Laurence, P.R.; Jayasuriya, K. Molecular electrostatic potentials: An effective tool for the elucidation of biochemical phenomena. Environ. Health Perspect. 1985, 61, 191–202. [Google Scholar] [CrossRef]
- Murray, J.S.; Sen, K. Molecular Electrostatic Potentials: Concepts and Applications; Elsevier: Amsterdam, The Netherlands, 1996. [Google Scholar]
- Maksić, Z.B. Theoretical Models of Chemical Bonding; Springer: Berlin/Heidelberg, Germany, 1990. [Google Scholar]
- Politzer, P.; Murray, J.S. The fundamental nature and role of the electrostatic potential in atoms and molecules. Theor. Chem. Acc. 2002, 108, 134–142. [Google Scholar] [CrossRef]
- Politzer, P.; Murray, J.S.; Peralta-Inga, Z. Molecular surface electrostatic potentials in relation to noncovalent interactions in biological systems. Int. J. Quantum Chem. 2001, 85, 676–684. [Google Scholar] [CrossRef]
- Venkataramanan, N.S.; Suvitha, A.; Kawazoe, Y.Y. Unravelling the nature of binding of cubane and substituted cubanes within cucurbiturils: A DFT and NCI study. J. Mol. Liq. 2018, 260, 18–29. [Google Scholar] [CrossRef]
- Saloni, J.; Lipkowski, P.; Dasary, S.S.; Anjaneyulu, Y.; Yu, H.; Hill, G., Jr. Theoretical study of molecular interactions of TNT, acrylic acid, and ethylene glycol dimethacrylate–elements of molecularly imprinted polymer modeling process. Polymer 2011, 52, 1206–1216. [Google Scholar] [CrossRef]
- Xie, L.; Xiao, N.; Li, L.; Xie, X.; Li, Y. Theoretical Insight into the Interaction between Chloramphenicol and Functional Monomer (Methacrylic Acid) in Molecularly Imprinted Polymers. Int. J. Mol. Sci. 2020, 21, 4139. [Google Scholar] [CrossRef] [PubMed]












| Crystal Data | |
| Chemical formula | C33H30BCl2N3 |
| Mr | 550.31 |
| Crystal system, space group | Monoclinic, P21/c |
| Temperature (K) | 100 |
| a, b, c (Å) | 9.151 (3), 12.522 (3), 25.493 (6) |
| β (°) | 105.161 (13) |
| V (Å3) | 2819.5 (13) |
| Z | 4 |
| Radiation type | Mo Kα |
| µ (mm−1) | 0.26 |
| Crystal size (mm) | 0.57 × 0.25 × 0.11 |
| Data collection | |
| Diffractometer | Bruker APEX-II D8 venture diffractometer |
| Absorption correction | Multi-scan SADABS Bruker 2014 |
| Tmin, Tmax | 0.867, 0.971 |
| No. of measured, independent and observed [I > 2σ(I)] reflections | 32,394, 4958, 2969 |
| Rint | 0.229 |
| Refinement | |
| R [F2 > 2σ(F2)], wR(F2), S | 0.068, 0.164, 1.03 |
| No. of reflections | 4958 |
| No. of parameters | 355 |
| No. of restraints | 0 |
| H-atom treatment | H atoms treated by a mixture of independent and constrained refinement |
| Δρmax, Δρmin (e Å−3) | 0.43, −0.36 |
| Cl1—C5 | 1.734 (4) | N3—C3 | 1.333 (5) |
| Cl2—C9 | 1.724 (4) | N3—C4 | 1.416 (5) |
| N1—C1 | 1.475 (5) | C10—B1 | 1.653 (5) |
| N1—C3 | 1.311 (6) | C16—B1 | 1.661 (6) |
| N2—C3 | 1.328 (5) | C22—B1 | 1.647 (6) |
| N2—C2 | 1.467 (6) | C28—B1 | 1.655 (7) |
| C1—N1—C3 | 110.3 (3) | N1—C3—N2 | 111.5 (4) |
| C2—N2—C3 | 109.1 (4) | N1—C3—N3 | 125.9 (4) |
| C3—N3—C4 | 123.6 (4) | N3—C4—C5 | 121.2 (4) |
| C15—C10—B1 | 123.8 (3) | N3—C4—C9 | 120.9 (4) |
| C11—C10—B1 | 122.3 (3) | Cl1—C5—C6 | 119.2 (3) |
| C17—C16—B1 | 122.0 (3) | Cl1—C5—C4 | 119.8 (3) |
| C21—C16—B1 | 122.7 (3) | Cl2—C9—C8 | 119.3 (3) |
| C23—C22—B1 | 120.6 (3) | Cl2—C9—C4 | 119.5 (3) |
| C27—C22—B1 | 123.9 (3) | C16—B1—C28 | 109.7 (3) |
| C33—C28—B1 | 123.3 (4) | C22—B1—C28 | 107.2 (3) |
| C29—C28—B1 | 122.9 (3) | C16—B1—C22 | 109.8 (3) |
| N1—C1—C2 | 101.2 (3) | C10—B1—C16 | 107.6 (3) |
| N2—C2—C1 | 102.1 (3) | C10—B1—C22 | 108.4 (3) |
| N2—C3—N3 | 122.6 (4) | C10—B1—C28 | 114.0 (4) |
| D—H···A | D—H | H···A | D···A | D—H···A |
|---|---|---|---|---|
| C2—H2A···Cl2i | 0.9700 | 2.7300 | 3.648 (4) | 159.00 |
| Symmetry codes: (i) −x − 3, y + 1/2, −z − 3/2. | ||||
| Bond Distance | Exp. | DFT-B3LYP | Bond Distance | Exp. | DFT-B3LYP |
|---|---|---|---|---|---|
| Cl1—C5 | 1.734 (4) | 1.756 | N3—C3 | 1.333 (5) | 1.337 |
| Cl2—C9 | 1.724 (4) | 1.739 | N3—C4 | 1.416 (5) | 1.419 |
| N1—C1 | 1.475 (5) | 1.473 | C10—B1 | 1.653 (5) | 1.662 |
| N1—C3 | 1.311 (6) | 1.326 | C16—B1 | 1.661 (6) | 1.655 |
| N2—C3 | 1.328 (5) | 1.345 | C22—B1 | 1.647 (6) | 1.653 |
| N2—C2 | 1.467 (6) | 1.474 | C28—B1 | 1.655 (7) | 1.666 |
| Bond angle | |||||
| C1—N1—C3 | 110.3 (3) | 110.539 | N1—C3—N2 | 111.5 (4) | 111.402 |
| C2—N2—C3 | 109.1 (4) | 109.892 | N1—C3—N3 | 125.9 (4) | 123.444 |
| C3—N3—C4 | 123.6 (4) | 125.239 | N3—C4—C5 | 121.2 (4) | 121.628 |
| C15—C10—B1 | 123.8 (3) | 121.836 | N3—C4—C9 | 120.9 (4) | 120.495 |
| C11—C10—B1 | 122.3 (3) | 123.0899 | Cl1—C5—C6 | 119.2 (3) | 119.213 |
| C17—C16—B1 | 122.0 (3) | 119.0318 | Cl1—C5—C4 | 119.8 (3) | 119.851 |
| C21—C16—B1 | 122.7 (3) | 125.277 | Cl2—C9—C8 | 119.3 (3) | 118.237 |
| C23—C22—B1 | 120.6 (3) | 119.147 | Cl2—C9—C4 | 119.5 (3) | 120.234 |
| C27—C22—B1 | 123.9 (3) | 125.431 | C16—B1—C28 | 109.7 (3) | 105.195 |
| C33—C28—B1 | 123.3 (4) | 120.389 | C22—B1—C28 | 107.2 (3) | 105.913 |
| C29—C28—B1 | 122.9 (3) | 124.664 | C16—B1—C22 | 109.8 (3) | 111.056 |
| N1—C1—C2 | 101.2 (3) | 101.827 | C10—B1—C16 | 107.6 (3) | 110.477 |
| N2—C2—C1 | 102.1 (3) | 101.843 | C10—B1—C22 | 108.4 (3) | 111.494 |
| N2—C3—N3 | 122.6 (4) | 125.153 | C10—B1—C28 | 114.0 (4) | 112.802 |
| BCP | Bond | ρ(r) (a.u.) | K(r) (a.u.) | V(r) (a.u.) | H(r) (a.u.) | ∇2ρ(r) (a.u.) | G(r) (a.u.) | |V(r)|/G(r) |
|---|---|---|---|---|---|---|---|---|
| 147 | Cl(19)-H(54) ··· C(50) | 0.00567 | −0.00103 | −0.00262 | 0.00104 | 0.0188 | 0.00366 | 0.71658 |
| 140 | Cl(19) ··· H(8)-N(7) | 0.0151 | −0.00269 | −0.00961 | 0.00269 | 0.06 | 0.01230 | 0.78120 |
| 131 | N(7)-H(8) ··· C(50) | 0.00831 | −0.000929 | −0.00348 | 0.000929 | 0.0213 | 0.00441 | 0.78934 |
| 108 | N(7)-H(24) ··· C(63) | 0.0213 | −0.000864 | −0.011 | 0.000864 | 0.0508 | 0.01183 | 0.92994 |
| 84 | N(21)-H(22) ··· C(49) | 0.0101 | −0.00122 | −0.00444 | 0.00122 | 0.0275 | 0.00566 | 0.78479 |
| 77 | C(2)-H(5) ··· C(55) | 0.00668 | −0.000683 | −0.00306 | 0.000683 | 0.0177 | 0.0037 | 0.81746 |
| Compounds | 𝜀𝐻 | 𝜀𝐿 | 𝜀𝐿-𝜀𝐻 | 𝜒 | 𝜇 | 𝜂 | 𝑆 | 𝜔 |
| Tetraphenylborate | −0.284 | −0.145 | 0.139 | 0.214 | −0.214 | 0.07 | 7.191 | 0.165 |
| clonidine | −0.111 | 0.056 | 0.166 | 0.028 | −0.028 | 0.083 | 6.012 | 0.002 |
| N − 1 | N + 1 | N | f+ | f− | fo | Df | s+ | S− | ω+ | ω− | |
|---|---|---|---|---|---|---|---|---|---|---|---|
| B1 | 0.839456 | 0.836684 | 0.836112 | −0.00057 | 0.003344 | 0.001386 | −0.00392 | −0.00411 | 0.024046 | −0.00009 | 0.00055 |
| C2 | −0.2508 | −0.25196 | −0.25421 | −0.00226 | 0.003416 | 0.000579 | −0.00567 | −0.01623 | 0.024564 | −0.00037 | 0.00056 |
| C3 | −0.06902 | −0.10923 | −0.08563 | 0.023596 | 0.01661 | 0.020103 | 0.006986 | 0.169674 | 0.119439 | 0.00389 | 0.00274 |
| C4 | −0.07577 | −0.10353 | −0.09281 | 0.010722 | 0.017038 | 0.01388 | −0.00632 | 0.077099 | 0.122516 | 0.00177 | 0.00281 |
| C5 | −0.0487 | −0.11404 | −0.08427 | 0.029772 | 0.035572 | 0.032672 | −0.0058 | 0.214084 | 0.25579 | 0.0049 | 0.00586 |
| C6 | −0.0711 | −0.10162 | −0.08696 | 0.014663 | 0.015857 | 0.01526 | −0.00119 | 0.105438 | 0.114024 | 0.00242 | 0.00261 |
| C7 | −0.09032 | −0.09647 | −0.09426 | 0.002212 | 0.003942 | 0.003077 | −0.00173 | 0.015906 | 0.028346 | 0.00036 | 0.00065 |
| C8 | −0.24004 | −0.25191 | −0.24535 | 0.006559 | 0.005314 | 0.005937 | 0.001245 | 0.047164 | 0.038212 | 0.00108 | 0.00088 |
| C9 | −0.08348 | −0.1094 | −0.09278 | 0.016622 | 0.009298 | 0.01296 | 0.007324 | 0.119525 | 0.06686 | 0.00274 | 0.00153 |
| C10 | −0.06628 | −0.10348 | −0.08932 | 0.014161 | 0.023037 | 0.018599 | −0.00888 | 0.101829 | 0.165654 | 0.00233 | 0.00379 |
| C11 | −0.05648 | −0.11405 | −0.08681 | 0.027237 | 0.030339 | 0.028788 | −0.0031 | 0.195855 | 0.218161 | 0.00449 | 0.005 |
| C12 | −0.07361 | −0.10163 | −0.08875 | 0.012874 | 0.015143 | 0.014009 | −0.00227 | 0.092574 | 0.10889 | 0.00212 | 0.00249 |
| C13 | −0.08866 | −0.09674 | −0.09423 | 0.002509 | 0.005568 | 0.004039 | −0.00306 | 0.018042 | 0.040038 | 0.00041 | 0.00092 |
| C14 | −0.24005 | −0.25192 | −0.24534 | 0.006583 | 0.005291 | 0.005937 | 0.001292 | 0.047337 | 0.038046 | 0.00108 | 0.00087 |
| C15 | −0.08324 | −0.1092 | −0.09252 | 0.016683 | 0.009275 | 0.012979 | 0.007408 | 0.119964 | 0.066694 | 0.00275 | 0.00153 |
| C16 | −0.06643 | −0.1036 | −0.08944 | 0.014157 | 0.023013 | 0.018585 | −0.00886 | 0.1018 | 0.165481 | 0.00233 | 0.00379 |
| C17 | −0.05636 | −0.114 | −0.08669 | 0.027305 | 0.030331 | 0.028818 | −0.00303 | 0.196344 | 0.218103 | 0.0045 | 0.005 |
| C18 | −0.07361 | −0.10161 | −0.08875 | 0.012866 | 0.015134 | 0.014 | −0.00227 | 0.092516 | 0.108825 | 0.00212 | 0.00249 |
| C19 | −0.0886 | −0.09679 | −0.09419 | 0.002603 | 0.005588 | 0.004096 | −0.00299 | 0.018718 | 0.040182 | 0.00043 | 0.00092 |
| C20 | −0.25035 | −0.25162 | −0.25378 | −0.00216 | 0.003429 | 0.000635 | −0.00559 | −0.01552 | 0.024657 | −0.00036 | 0.00056 |
| C21 | −0.06924 | −0.10939 | −0.08581 | 0.023573 | 0.016578 | 0.020076 | 0.006995 | 0.169508 | 0.119209 | 0.00388 | 0.00273 |
| C22 | −0.07585 | −0.1036 | −0.09287 | 0.010725 | 0.017023 | 0.013874 | −0.0063 | 0.077121 | 0.122409 | 0.00177 | 0.0028 |
| C23 | −0.04866 | −0.114 | −0.08421 | 0.029785 | 0.035552 | 0.032669 | −0.00577 | 0.214177 | 0.255646 | 0.00491 | 0.00586 |
| C24 | −0.07098 | −0.10158 | −0.08687 | 0.014709 | 0.015891 | 0.0153 | −0.00118 | 0.105769 | 0.114269 | 0.00242 | 0.0034 |
| C25 | −0.09101 | −0.09715 | −0.09492 | 0.002233 | 0.003907 | 0.00307 | −0.00167 | 0.016057 | 0.028094 | 0.00048 | 0.00084 |
| N − 1 | N + 1 | N | f+ | f− | fo | Df | s+ | S− | ω+ | ω− | |
|---|---|---|---|---|---|---|---|---|---|---|---|
| C1 | −0.02712 | −0.08481 | −0.07787 | 0.006941 | 0.050748 | 0.028845 | −0.04381 | 0.041733 | 0.305121 | 0.00002 | 0.00012 |
| C2 | −0.00889 | −0.09302 | −0.08584 | 0.00718 | 0.076947 | 0.042064 | −0.06977 | 0.04317 | 0.462642 | 0.00002 | 0.00018 |
| N7 | −0.41227 | −0.44987 | −0.43231 | 0.017552 | 0.020048 | 0.0188 | −0.0025 | 0.105531 | 0.120538 | 0.00004 | 0.00005 |
| C9 | 0.097191 | 0.161876 | 0.102019 | −0.05986 | −0.00483 | −0.03234 | −0.05503 | −0.35989 | −0.02903 | −0.00014 | −0.00001 |
| C10 | −0.20574 | −0.20295 | −0.22272 | −0.01977 | 0.016981 | −0.00139 | −0.03675 | −0.11887 | 0.102098 | −0.00005 | 0.00004 |
| C11 | −0.22565 | −0.18438 | −0.21974 | −0.03536 | −0.00591 | −0.02063 | −0.02945 | −0.21259 | −0.03554 | −0.00008 | −0.00001 |
| C12 | −0.00928 | 0.035943 | 0.008042 | −0.0279 | −0.01732 | −0.02261 | −0.01058 | −0.16775 | −0.10416 | −0.00006 | −0.00004 |
| C13 | 0.011457 | 0.03894 | 0.019476 | −0.01946 | −0.00802 | −0.01374 | −0.01145 | −0.11703 | −0.04821 | −0.00004 | −0.00002 |
| C14 | −0.20549 | −0.05483 | −0.1533 | −0.09848 | −0.05219 | −0.07533 | −0.04629 | −0.59208 | −0.31379 | −0.00023 | −0.00012 |
| Cl18 | −0.17184 | −0.00223 | −0.12117 | −0.11894 | −0.05067 | −0.08481 | −0.06827 | −0.71512 | −0.30468 | −0.00027 | −0.00012 |
| Cl19 | −0.17958 | −0.00233 | −0.12537 | −0.12304 | −0.05421 | −0.08863 | −0.06883 | −0.7398 | −0.32595 | −0.00028 | −0.00012 |
| N20 | −0.39893 | −0.43217 | −0.43143 | 0.00074 | 0.032494 | 0.016617 | −0.03175 | 0.004449 | 0.195369 | 0.000002 | 0.00007 |
| N21 | −0.39135 | −0.44454 | −0.44651 | −0.00197 | 0.055164 | 0.026596 | −0.05714 | −0.01186 | 0.331672 | −0.000005 | 0.00013 |
| C23 | 0.728694 | 0.741153 | 0.720165 | −0.02099 | 0.008529 | −0.00623 | −0.02952 | −0.12619 | 0.05128 | −0.00005 | 0.00002 |
| Atom | N | N + 1 | N − 1 | f− | f+ | fo | Df | s+ | S− | ω+ | ω− |
|---|---|---|---|---|---|---|---|---|---|---|---|
| 1C | 0.003 | −0.0058 | 0.0083 | 0.0052 | 0.0088 | 0.007 | 0.0036 | 0.005 | 0.0084 | 0.000062 | 0.000036 |
| 2C | 0.007 | −0.0038 | 0.0083 | 0.0012 | 0.0108 | 0.006 | 0.0096 | 0.0012 | 0.0104 | 0.000076 | 0.000008 |
| 7N | 0.054 | 0.0405 | 0.0538 | −0.0002 | 0.0134 | 0.0066 | 0.0136 | −0.0002 | 0.0128 | 0.000094 | −1×10−6 |
| 9C | 0.0397 | −0.0597 | 0.035 | −0.0047 | 0.0995 | 0.0474 | 0.1042 | −0.0045 | 0.095 | 0.000697 | −3.3×10−6 |
| 10C | 0.0353 | −0.0295 | 0.0357 | 0.0005 | 0.0648 | 0.0326 | 0.0643 | 0.0004 | 0.0619 | 0.000454 | 0.000004 |
| 11C | 0.0334 | −0.0189 | 0.0327 | −0.0007 | 0.0523 | 0.0258 | 0.0529 | −0.0006 | 0.0499 | 0.000366 | −5×10−6 |
| 12C | −0.0286 | −0.0806 | −0.0225 | 0.0062 | 0.052 | 0.0291 | 0.0459 | 0.0059 | 0.0497 | 0.000364 | 0.000043 |
| 13C | −0.0285 | −0.0932 | −0.0244 | 0.0041 | 0.0646 | 0.0344 | 0.0606 | 0.0039 | 0.0618 | 0.000453 | 0.000029 |
| 14C | −0.009 | −0.1338 | −0.0021 | 0.0069 | 0.1248 | 0.0658 | 0.1179 | 0.0066 | 0.1192 | 0.000874 | 0.000048 |
| 18Cl | 0.0134 | −0.0926 | 0.0105 | −0.0028 | 0.106 | 0.0516 | 0.1088 | −0.0027 | 0.1013 | 0.000743 | −0.00002 |
| 19Cl | 0.0326 | −0.0644 | 0.0185 | −0.0141 | 0.097 | 0.0415 | 0.1111 | −0.0134 | 0.0927 | 0.000679 | −9.9×10−5 |
| 20N | −0.1986 | −0.2022 | −0.1918 | 0.0067 | 0.0036 | 0.0052 | −0.0031 | 0.0064 | 0.0034 | 0.000025 | 0.000047 |
| 21N | −0.108 | −0.1278 | −0.1193 | −0.0113 | 0.0197 | 0.0042 | 0.031 | −0.0108 | 0.0189 | 0.000138 | −7.6×10−5 |
| 23C | 0.1434 | 0.1376 | 0.1418 | −0.0016 | 0.0058 | 0.0021 | 0.0073 | −0.0015 | 0.0055 | 0.000041 | −1.1×10−5 |
| 25B | −0.0134 | −0.0105 | −0.0016 | 0.0118 | −0.0029 | 0.0045 | −0.0148 | 0.0113 | −0.0028 | −0.00002 | 0.000083 |
| 26C | −0.0527 | −0.0486 | −0.0008 | 0.0519 | −0.004 | 0.0239 | −0.0559 | 0.0496 | −0.0038 | −2.8×10−5 | 0.000364 |
| 27C | −0.0557 | −0.0565 | −0.0208 | 0.0348 | 0.0008 | 0.0178 | −0.034 | 0.0333 | 0.0008 | 0.000006 | 0.000244 |
| 28C | −0.046 | −0.0467 | −0.007 | 0.039 | 0.0008 | 0.0199 | −0.0382 | 0.0372 | 0.0007 | 0.000006 | 0.000273 |
| 29C | −0.0573 | −0.0647 | −0.019 | 0.0383 | 0.0074 | 0.0229 | −0.0309 | 0.0366 | 0.0071 | 0.000052 | 0.000268 |
| 31C | −0.0548 | −0.0633 | −0.0272 | 0.0276 | 0.0085 | 0.0181 | −0.0191 | 0.0264 | 0.0081 | 0.00006 | 0.000193 |
| 33C | −0.0611 | −0.0713 | 0.01 | 0.0711 | 0.0102 | 0.0406 | −0.061 | 0.068 | 0.0097 | 0.000071 | 0.000498 |
| 37C | −0.0528 | −0.0493 | −0.0003 | 0.0524 | −0.0035 | 0.0245 | −0.0559 | 0.0501 | −0.0033 | −2.5×10−5 | 0.000367 |
| 38C | −0.056 | −0.0561 | −0.0211 | 0.0349 | 0.0001 | 0.0175 | −0.0348 | 0.0334 | 0.0001 | 0.000001 | 0.000244 |
| 39C | −0.0452 | −0.048 | −0.0057 | 0.0395 | 0.0028 | 0.0212 | −0.0367 | 0.0378 | 0.0027 | 0.00002 | 0.000277 |
| 40C | −0.0572 | −0.0652 | −0.0183 | 0.0389 | 0.0079 | 0.0234 | −0.031 | 0.0372 | 0.0076 | 0.000055 | 0.000272 |
| 42C | −0.0544 | −0.0647 | −0.0267 | 0.0278 | 0.0103 | 0.019 | −0.0175 | 0.0265 | 0.0098 | 0.000072 | 0.000195 |
| 44C | −0.0608 | −0.0724 | 0.0109 | 0.0717 | 0.0116 | 0.0417 | −0.0601 | 0.0685 | 0.0111 | 0.000081 | 0.000502 |
| 48C | −0.0411 | −0.045 | −0.054 | −0.0129 | 0.0038 | −0.0045 | 0.0167 | −0.0123 | 0.0036 | 0.000027 | −0.00009 |
| 49C | −0.0448 | −0.054 | −0.0488 | −0.0041 | 0.0092 | 0.0026 | 0.0133 | −0.0039 | 0.0088 | 0.000064 | −2.9×10−5 |
| 50C | −0.0583 | −0.0531 | −0.0606 | −0.0023 | −0.0052 | −0.0037 | −0.0028 | −0.0022 | −0.0049 | −3.6×10−5 | −1.6×10−5 |
| 51C | −0.0463 | −0.0582 | −0.0373 | 0.0089 | 0.0119 | 0.0104 | 0.003 | 0.0085 | 0.0114 | 0.000083 | 0.000062 |
| 53C | −0.0579 | −0.0565 | −0.047 | 0.0109 | −0.0014 | 0.0048 | −0.0123 | 0.0104 | −0.0014 | −0.00001 | 0.000076 |
| 55C | −0.0587 | −0.0662 | −0.0439 | 0.0149 | 0.0075 | 0.0112 | −0.0074 | 0.0142 | 0.0071 | 0.000053 | 0.000104 |
| 59C | −0.0546 | −0.0507 | −0.0452 | 0.0094 | −0.004 | 0.0027 | −0.0134 | 0.009 | −0.0038 | −2.8×10−5 | 0.000066 |
| 60C | −0.0457 | −0.0522 | −0.05 | −0.0042 | 0.0065 | 0.0011 | 0.0107 | −0.004 | 0.0062 | 0.000046 | −2.9×10−5 |
| 61C | −0.0409 | −0.0513 | −0.0541 | −0.0132 | 0.0104 | −0.0014 | 0.0236 | −0.0126 | 0.01 | 0.000073 | −9.2×10−5 |
| 62C | −0.0435 | −0.054 | −0.0474 | −0.0039 | 0.0105 | 0.0033 | 0.0144 | −0.0037 | 0.01 | 0.000074 | −2.7×10−5 |
| 63C | −0.056 | −0.0592 | −0.0459 | 0.0101 | 0.0032 | 0.0066 | −0.0068 | 0.0096 | 0.0031 | 0.000022 | 0.000071 |
| 64C | −0.0641 | −0.0572 | −0.049 | 0.0151 | −0.0069 | 0.0041 | −0.022 | 0.0144 | −0.0066 | −4.8×10−5 | 0.000106 |
Publisher’s Note: MDPI stays neutral with regard to jurisdictional claims in published maps and institutional affiliations. |
© 2022 by the authors. Licensee MDPI, Basel, Switzerland. This article is an open access article distributed under the terms and conditions of the Creative Commons Attribution (CC BY) license (https://creativecommons.org/licenses/by/4.0/).
Share and Cite
Ghabbour, H.A.; Bakheit, A.H.; Ezzeldin, E.; Mostafa, G.A.E. Synthesis Characterization and X-ray Structure of 2-(2,6-Dichlorophenylamino)-2-imidazoline Tetraphenylborate: Computational Study. Appl. Sci. 2022, 12, 3568. https://doi.org/10.3390/app12073568
Ghabbour HA, Bakheit AH, Ezzeldin E, Mostafa GAE. Synthesis Characterization and X-ray Structure of 2-(2,6-Dichlorophenylamino)-2-imidazoline Tetraphenylborate: Computational Study. Applied Sciences. 2022; 12(7):3568. https://doi.org/10.3390/app12073568
Chicago/Turabian StyleGhabbour, Hazem A., Ahmed H. Bakheit, Essam Ezzeldin, and Gamal A. E. Mostafa. 2022. "Synthesis Characterization and X-ray Structure of 2-(2,6-Dichlorophenylamino)-2-imidazoline Tetraphenylborate: Computational Study" Applied Sciences 12, no. 7: 3568. https://doi.org/10.3390/app12073568
APA StyleGhabbour, H. A., Bakheit, A. H., Ezzeldin, E., & Mostafa, G. A. E. (2022). Synthesis Characterization and X-ray Structure of 2-(2,6-Dichlorophenylamino)-2-imidazoline Tetraphenylborate: Computational Study. Applied Sciences, 12(7), 3568. https://doi.org/10.3390/app12073568

