Acute Effects of Different Intensities during Bench Press Exercise on the Mechanical Properties of Triceps Brachii Long Head
Abstract
1. Introduction
2. Materials and Methods
2.1. Experimental Approach to the Problem
2.2. Subjects
2.3. Procedures
2.3.1. Familiarization Session and 1RM Strength Tests
2.3.2. Experimental Sessions
2.3.3. Measurement of Barbell Velocity during the Bench Press Exercise
2.3.4. Measurement of Muscle Mechanical Properties
3. Statistical Analyses
4. Results
4.1. Muscle Mechanical Properties
4.1.1. Oscillation Frequency
4.1.2. Stiffness
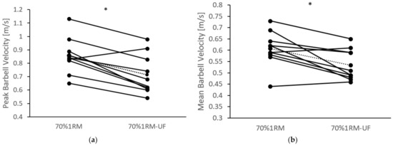
4.2. Bench Press Performance
5. Discussion
6. Conclusions
Author Contributions
Funding
Institutional Review Board Statement
Informed Consent Statement
Data Availability Statement
Conflicts of Interest
References
- Kraemer, W.J.; Ratamess, N.A. Fundamentals of Resistance Training: Progression and Exercise Prescription. Med. Sci. Sports Exerc. 2004, 36, 674–688. [Google Scholar] [CrossRef] [PubMed]
- da Conceição, R.R.; Simão, R.; Silveira, A.L.B.; Silva, G.C.; Nobre, M.; Salerno, V.P.; Novaes, J. Acute Endocrine Responses to Different Strength Exercise Order in Men. J. Hum. Kinet. 2014, 44, 111–120. [Google Scholar] [CrossRef] [PubMed][Green Version]
- Wilk, M.; Petr, M.; Krzysztofik, M.; Zajac, A.; Stastny, P. Endocrine Response to High Intensity Barbell Squats Performed with Constant Movement Tempo and Variable Training Volume. Neuroendocrinol. Lett. 2018, 39, 342–348. [Google Scholar] [PubMed]
- Krzysztofik, M.; Wilk, M. The Effects of Plyometric Conditioning on Post-Activation Bench Press Performance. J. Hum. Kinet. 2020, 74, 99–108. [Google Scholar] [CrossRef]
- Wilk, M.; Krzysztofik, M.; Filip, A.; Zajac, A.; Bogdanis, G.C.; Lockie, R.G. Short-Term Blood Flow Restriction Increases Power Output and Bar Velocity during the Bench Press. J. Strength Cond. Res. 2020. Publish Ahead of Print. [Google Scholar] [CrossRef]
- Stastny, P.; Gołaś, A.; Blazek, D.; Maszczyk, A.; Wilk, M.; Pietraszewski, P.; Petr, M.; Uhlir, P.; Zając, A. A Systematic Review of Surface Electromyography Analyses of the Bench Press Movement Task. PLoS ONE 2017, 12, e0171632. [Google Scholar] [CrossRef]
- Krzysztofik, M.; Wilk, M.; Golas, A.; Lockie, R.G.; Maszczyk, A.; Zajac, A. Does Eccentric-Only and Concentric-Only Activation Increase Power Output? Med. Sci. Sports Exerc. 2020, 52, 484–489. [Google Scholar] [CrossRef]
- McMaster, D.T.; Gill, N.; Cronin, J.; McGuigan, M. A Brief Review of Strength and Ballistic Assessment Methodologies in Sport. Sports Med. 2014, 44, 603–623. [Google Scholar] [CrossRef]
- Newton, R.U.; Murphy, A.J.; Humphries, B.J.; Wilson, G.J.; Kraemer, W.J.; Hakkinen, K. Influence of Load and Stretch Shortening Cycle on the Kinematics, Kinetics and Muscle Activation That Occurs during Explosive Upper-Body Movements. Eur. J. Appl. Physiol. 1997, 75, 333–342. [Google Scholar] [CrossRef]
- Jandacka, D.; Uchytil, J. Optimal Load Maximizes the Mean Mechanical Power Output during Upper Extremity Exercise in Highly Trained Soccer Players. J. Strength Cond. Res. 2011, 25, 2764–2772. [Google Scholar] [CrossRef]
- Legaz-Arrese, A.; Reverter-Masía, J.; Munguía-Izquierdo, D.; Ceballos-Gurrola, O. An Analysis of Resistance Training Based on the Maintenance of Mechanical Power. J. Sports Med. Phys. Fitness 2007, 47, 427–436. [Google Scholar]
- Fry, A.C. The Role of Resistance Exercise Intensity on Muscle Fibre Adaptations. Sports Med. 2004, 34, 663–679. [Google Scholar] [CrossRef]
- Dimitrova, N.A.; Dimitrov, G.V. Interpretation of EMG Changes with Fatigue: Facts, Pitfalls, and Fallacies. J. Electromyogr. Kinesiol. 2003, 13, 13–36. [Google Scholar] [CrossRef]
- Enoka, R.M.; Duchateau, J. Muscle Fatigue: What, Why and How It Influences Muscle Function: Muscle Fatigue. J. Physiol. 2008, 586, 11–23. [Google Scholar] [CrossRef]
- Krzysztofik, M.; Jarosz, J.; Matykiewicz, P.; Wilk, M.; Bialas, M.; Zajac, A.; Golas, A. A Comparison of Muscle Activity of the Dominant and Non-Dominant Side of the Body during Low versus High Loaded Bench Press Exercise Performed to Muscular Failure. J. Electromyogr. Kinesiol. 2021, 56, 102513. [Google Scholar] [CrossRef]
- Hicks, A.L.; Kent-Braun, J.; Ditor, D.S. Sex Differences in Human Skeletal Muscle Fatigue. Exerc. Sport Sci. Rev. 2001, 29, 109–112. [Google Scholar] [CrossRef]
- Chiu, L.Z.F.; Barnes, J.L. The Fitness-Fatigue Model Revisited: Implications for Planning Short- and Long-Term Training. Strength Cond. J. 2003, 25, 42–51. [Google Scholar] [CrossRef]
- Hargreaves, M.; Spriet, L.L. Skeletal Muscle Energy Metabolism during Exercise. Nat. Metab. 2020, 2, 817–828. [Google Scholar] [CrossRef]
- Hunter, A.M.; Galloway, S.D.; Smith, I.J.; Tallent, J.; Ditroilo, M.; Fairweather, M.M.; Howatson, G. Assessment of Eccentric Exercise-Induced Muscle Damage of the Elbow Flexors by Tensiomyography. J. Electromyogr. Kinesiol. 2012, 22, 334–341. [Google Scholar] [CrossRef]
- de Paula Simola, R.Á.; Harms, N.; Raeder, C.; Kellmann, M.; Meyer, T.; Pfeiffer, M.; Ferrauti, A. Assessment of Neuromuscular Function After Different Strength Training Protocols Using Tensiomyography. J. Strength Cond. Res. 2015, 29, 1339–1348. [Google Scholar] [CrossRef]
- Hill, M.; Rosicka, K.; Wdowski, M. Effect of Sex and Fatigue on Quiet Standing and Dynamic Balance and Lower Extremity Muscle Stiffness. Eur. J. Appl. Physiol. 2021. [Google Scholar] [CrossRef] [PubMed]
- García-Manso, J.M.; Rodríguez-Matoso, D.; Sarmiento, S.; de Saa, Y.; Vaamonde, D.; Rodríguez-Ruiz, D.; Da Silva-Grigoletto, M.E. Effect of High-Load and High-Volume Resistance Exercise on the Tensiomyographic Twitch Response of Biceps Brachii. J. Electromyogr. Kinesiol. 2012, 22, 612–619. [Google Scholar] [CrossRef][Green Version]
- Pereira, L.A.; Ramirez-Campillo, R.; Martín-Rodríguez, S.; Kobal, R.; Abad, C.C.C.; Arruda, A.F.S.; Guerriero, A.; Loturco, I. Is Tensiomyography-Derived Velocity of Contraction a Sensitive Marker to Detect Acute Performance Changes in Elite Team-Sport Athletes? Int. J. Sports Physiol. Perform. 2020, 15, 31–37. [Google Scholar] [CrossRef] [PubMed]
- Herring, C.H.; Goldstein, E.R.; Fukuda, D.H. Use of Tensiomyography in Evaluating Sex-Based Differences in Resistance-Trained Individuals After Plyometric and Isometric Midthigh Pull Postactivation Potentiation Protocols. J. Strength Cond. Res. 2021, 35, 1527–1534. [Google Scholar] [CrossRef]
- Redd, M.J.; Starling-Smith, T.M.; Herring, C.H.; Stock, M.S.; Wells, A.J.; Stout, J.R.; Fukuda, D.H. Tensiomyographic Responses to Warm-Up Protocols in Collegiate Male Soccer Athletes. JFMK 2021, 6, 80. [Google Scholar] [CrossRef] [PubMed]
- Pożarowszczyk, B.; Gołaś, A.; Chen, A.; Zając, A.; Kawczyński, A. The Impact of Post Activation Potentiation on Achilles Tendon Stiffness, Elasticity and Thickness among Basketball Players. Sports 2018, 6, 117. [Google Scholar] [CrossRef]
- Tous-Fajardo, J.; Moras, G.; Rodríguez-Jiménez, S.; Usach, R.; Doutres, D.M.; Maffiuletti, N.A. Inter-Rater Reliability of Muscle Contractile Property Measurements Using Non-Invasive Tensiomyography. J. Electromyogr. Kinesiol. 2010, 20, 761–766. [Google Scholar] [CrossRef]
- Chen, G.; Wu, J.; Chen, G.; Lu, Y.; Ren, W.; Xu, W.; Xu, X.; Wu, Z.; Guan, Y.; Zheng, Y.; et al. Reliability of a Portable Device for Quantifying Tone and Stiffness of Quadriceps Femoris and Patellar Tendon at Different Knee Flexion Angles. PLoS ONE 2019, 14, e0220521. [Google Scholar] [CrossRef]
- Feng, Y.N.; Li, Y.P.; Liu, C.L.; Zhang, Z.J. Assessing the Elastic Properties of Skeletal Muscle and Tendon Using Shearwave Ultrasound Elastography and MyotonPRO. Sci. Rep. 2018, 8, 17064. [Google Scholar] [CrossRef]
- Kelly, J.P.; Koppenhaver, S.L.; Michener, L.A.; Proulx, L.; Bisagni, F.; Cleland, J.A. Characterization of Tissue Stiffness of the Infraspinatus, Erector Spinae, and Gastrocnemius Muscle Using Ultrasound Shear Wave Elastography and Superficial Mechanical Deformation. J. Electromyogr. Kinesiol. 2018, 38, 73–80. [Google Scholar] [CrossRef]
- Lohr, C.; Braumann, K.-M.; Reer, R.; Schroeder, J.; Schmidt, T. Reliability of Tensiomyography and Myotonometry in Detecting Mechanical and Contractile Characteristics of the Lumbar Erector Spinae in Healthy Volunteers. Eur. J. Appl. Physiol. 2018, 118, 1349–1359. [Google Scholar] [CrossRef]
- Klich, S.; Ficek, K.; Krymski, I.; Klimek, A.; Kawczyński, A.; Madeleine, P.; Fernández-de-las-Peñas, C. Quadriceps and Patellar Tendon Thickness and Stiffness in Elite Track Cyclists: An Ultrasonographic and Myotonometric Evaluation. Front. Physiol. 2020, 11, 607208. [Google Scholar] [CrossRef]
- Wilk, M.; Golas, A.; Zmijewski, P.; Krzysztofik, M.; Filip, A.; Coso, J.D.; Tufano, J.J. The Effects of the Movement Tempo on the One-Repetition Maximum Bench Press Results. J. Hum. Kinet. 2020, 72, 151–159. [Google Scholar] [CrossRef]
- Wilk, M.; Gepfert, M.; Krzysztofik, M.; Mostowik, A.; Filip, A.; Hajduk, G.; Zajac, A. Impact of Duration of Eccentric Movement in the One-Repetition Maximum Test Result in the Bench Press among Women. J. Sports Sci. Med. 2020, 19, 317–322. [Google Scholar]
- Banyard, H.G.; Nosaka, K.; Sato, K.; Haff, G.G. Validity of Various Methods for Determining Velocity, Force, and Power in the Back Squat. Int. J. Sports Physiol. Perform. 2017, 12, 1170–1176. [Google Scholar] [CrossRef]
- Chuang, L.-L.; Lin, K.-C.; Wu, C.-Y.; Chang, C.-W.; Chen, H.-C.; Yin, H.-P.; Wang, L. Relative and Absolute Reliabilities of the Myotonometric Measurements of Hemiparetic Arms in Patients with Stroke. Arch. Phys. Med. Rehabil. 2013, 94, 459–466. [Google Scholar] [CrossRef] [PubMed]
- Cè, E.; Longo, S.; Limonta, E.; Coratella, G.; Rampichini, S.; Esposito, F. Peripheral Fatigue: New Mechanistic Insights from Recent Technologies. Eur. J. Appl. Physiol. 2020, 120, 17–39. [Google Scholar] [CrossRef]
- Koo, T.K.; Li, M.Y. A Guideline of Selecting and Reporting Intraclass Correlation Coefficients for Reliability Research. J. Chiropr. Med. 2016, 15, 155–163. [Google Scholar] [CrossRef] [PubMed]
- Campbell, M.J.; Walters, S.J.K.; Machin, D. Medical Statistics: A Textbook for the Health Sciences, 5th ed.; John Wiley Blackwell: Hoboken, NJ, USA, 2021; ISBN 978-1-119-42364-5. [Google Scholar]
- Klich, S.; Pietraszewski, B.; Zago, M.; Galli, M.; Lovecchio, N.; Kawczyński, A. Ultrasonographic and Myotonometric Evaluation of the Shoulder Girdle After an Isokinetic Muscle Fatigue Protocol. J. Sport Rehabil. 2020, 29, 1047–1052. [Google Scholar] [CrossRef]
- Wang, J.-S. Therapeutic Effects of Massage and Electrotherapy on Muscle Tone, Stiffness and Muscle Contraction Following Gastrocnemius Muscle Fatigue. J. Phys. Ther. Sci. 2017, 29, 144–147. [Google Scholar] [CrossRef]
- Wang, D.; De Vito, G.; Ditroilo, M.; Delahunt, E. Effect of Sex and Fatigue on Muscle Stiffness and Musculoarticular Stiffness of the Knee Joint in a Young Active Population. J. Sports Sci. 2016, 1–10. [Google Scholar] [CrossRef] [PubMed]
- Sleboda, D.A.; Wold, E.S.; Roberts, T.J. Passive Muscle Tension Increases in Proportion to Intramuscular Fluid Volume. J. Exp. Biol. 2019, 222, jeb.209668. [Google Scholar] [CrossRef] [PubMed]
- Sánchez-Medina, L.; González-Badillo, J.J. Velocity Loss as an Indicator of Neuromuscular Fatigue during Resistance Training. Med. Sci. Sports Exerc. 2011, 43, 1725–1734. [Google Scholar] [CrossRef] [PubMed]


| Variable | ICC (95%CI) | CV (%) | SEM |
|---|---|---|---|
| Oscillation Frequency Stiffness | 0.94 (0.77–0.98) | 2.8 | 0.3 Hz |
| 0.96 (0.84–0.99) | 3.4 | 7.9 N/m | |
| Decrement Relaxation Time | 0.83 (0.28–0.96) | 6.6 | 0.1 |
| 0.83 (0.18–0.96) | 5.2 | 0.65 ms | |
| Creep | 0.82 (0.24–0.96) | 4.3 | 0.06 |
| PRE 50% 1RM | POST 50% 1RM | PRE 70% 1RM | POST 70% 1RM | PRE 90% 1RM | POST 90% 1RM | PRE 70% 1RM-UF | POST 70% 1RM-UF | |
|---|---|---|---|---|---|---|---|---|
| Oscillation Frequency (Hz) | ||||||||
| EXP | 12.86 ± 1.05 | 13.07 ± 1.37 | 12.72 ± 0.95 | 13.11 ± 1.32 * | 12.77 ± 1.11 | 13.43 ± 1.15 * | 13.17 ± 1.53 | 13.5 ± 1.59 |
| (12.11 to 13.61) | (12.09 to 14.06) | (12.04 to 13.39) | (12.16 to 14.05) | (11.98 to 13.56) | (12.61 to 14.25) | (12.08 to 14.26) | (12.36 to 14.63) | |
| CTRL | 12.81 ± 1.15 | 12.85 ± 0.99 | 12.87 ± 1.39 | 12.66 ± 1.18 | 12.86 ± 1.05 | 12.95 ± 1.25 | 12.78 ± 1.13 | 12.99 ± 1.18 |
| (11.98 to 13.63) | (12.14 to 13.57) | (11.87 to 13.87) | (11.81 to 13.5) | (12.11 to 13.61) | (12.06 to 13.84) | (11.97 to 13.59) | (12.14 to 13.83) | |
| Stiffness (N/m) | ||||||||
| EXP | 187 ± 26 | 189 ± 24 | 192 ± 20 | 196 ± 24 | 203 ± 33 | 209 ± 39 | 197 ± 26 | 206 ± 27 |
| (168 to 205) | (172 to 207) | (177 to 206) | (179 to 214) | (179 to 227) | (181 to 237) | (178 to 215) | (187 to 225) | |
| CTRL | 187 ± 28 | 187 ± 28 | 189 ± 27 | 186 ± 27 | 188 ± 21 | 190 ± 30 | 188 ± 28 | 189 ± 30 |
| (167 to 208) | (167 to 207) | (170 to 209) | (167 to 205) | (173 to 203) | (168 to 212) | (167 to 208) | (168 to 211) | |
Publisher’s Note: MDPI stays neutral with regard to jurisdictional claims in published maps and institutional affiliations. |
© 2022 by the authors. Licensee MDPI, Basel, Switzerland. This article is an open access article distributed under the terms and conditions of the Creative Commons Attribution (CC BY) license (https://creativecommons.org/licenses/by/4.0/).
Share and Cite
Trybulski, R.; Wojdała, G.; Alexe, D.I.; Komarek, Z.; Aschenbrenner, P.; Wilk, M.; Zając, A.; Krzysztofik, M. Acute Effects of Different Intensities during Bench Press Exercise on the Mechanical Properties of Triceps Brachii Long Head. Appl. Sci. 2022, 12, 3197. https://doi.org/10.3390/app12063197
Trybulski R, Wojdała G, Alexe DI, Komarek Z, Aschenbrenner P, Wilk M, Zając A, Krzysztofik M. Acute Effects of Different Intensities during Bench Press Exercise on the Mechanical Properties of Triceps Brachii Long Head. Applied Sciences. 2022; 12(6):3197. https://doi.org/10.3390/app12063197
Chicago/Turabian StyleTrybulski, Robert, Grzegorz Wojdała, Dan Iulian Alexe, Zuzanna Komarek, Piotr Aschenbrenner, Michał Wilk, Adam Zając, and Michał Krzysztofik. 2022. "Acute Effects of Different Intensities during Bench Press Exercise on the Mechanical Properties of Triceps Brachii Long Head" Applied Sciences 12, no. 6: 3197. https://doi.org/10.3390/app12063197
APA StyleTrybulski, R., Wojdała, G., Alexe, D. I., Komarek, Z., Aschenbrenner, P., Wilk, M., Zając, A., & Krzysztofik, M. (2022). Acute Effects of Different Intensities during Bench Press Exercise on the Mechanical Properties of Triceps Brachii Long Head. Applied Sciences, 12(6), 3197. https://doi.org/10.3390/app12063197

