Modeling the Impact of Extreme Droughts on Agriculture under Current and Future Climate Conditions Using a Spatialized Climatic Index
Abstract
:1. Introduction
1.1. Consequences of Climate Change on Agriculture
- Annual temperatures are expected to increase [12,13]. As a consequence, the crop-growing period will be shorter and the grain protein concentration will decrease [14,15]. In addition, a high frequency of severe drought events during summer periods is to be expected [7,11,16]. These events may cause crop yield reduction or stagnation (depending on areas and species) [17,18]. Some studies show that in the Mediterranean region, yields could greatly decrease compared to historical yield trends [2,19].
- A decrease in annual precipitation, especially in the Mediterranean region, such as the South of France, will contribute to an increase in winter droughts [11].
- Standardized Precipitation Index (SPI) developed by [30] and based on precipitation data to determine the exact period and duration of meteorological droughts. The values of the index are fitted to a log-logistic distribution for standardization.
- Standardized Precipitation Evaporation Index (SPEI) developed by [31] and based on the difference between precipitation and reference evapotranspiration (ET0).
1.2. Objectives of This Study
- Analyze the climate and its evolution between the years 2000 and 2050;
- Detect extreme events and analyze their frequency and intensity;
- Simulate their consequences on crop yield losses.
- Do the historic records contain the most extreme events and, if not, how can we characterize them?
- What is the probability of occurrence in the current climate conditions?
- Will the intensity and/or frequency of these events evolve in the future?
2. Materials and Methods
2.1. Modeling Extreme Droughts and Their Consequences on Yield Losses
2.1.1. DOWKI Computation on the SAFRAN Reanalysis
- To reduce the uncertainties of the model;
- To match with the output scale of the ARPEGE-Climat model using a quantile–quantile downscaling method on the SAFRAN daily reanalysis data (1981–2010 for rainfall and 1989–2018 for potential evapotranspiration).
2.1.2. Computing Yield Losses
- The most significant soft winter wheat and winter barley yield losses were registered for the 2016 excess water event (27% and 17%, respectively) and the 2003 drought (14% and 16%, respectively).
- The most important grassland yield losses were registered for the 2003 drought (32%) and the 2011 drought (21%).
2.1.3. Analyzing the Link between DOWKI and Yield Losses
- The period over which the annual value of the index was computed. This period corresponded to the vulnerability period of the crop and was different for each crop;
- The extreme event threshold at the departmental scale;
- The minimum cultivation area to be taken into account to rule out small areas in which yields are very volatile.
- Average error at the national scale over the entire historical period;
- Average error at the departmental scale over the entire historical period.
2.2. Modelling Climate Scenarios with ARPEGE-Climat
2.2.1. General Methodology
2.2.2. Targeting the Year 2050
2.2.3. Choice of RCP 8.5
2.2.4. ARPEGE-Climat Model Description and Parameterization
- Fixed greenhouse gases concentrations accorded with the choice of Representative Concentration Pathway (RCP) for the fixed year (here, 2000 or 2050);
- Stationary sea-surface temperature series (adapted to each RCP with a quantile mapping method);
- Fixed stratospheric ozone concentrations;
- Fixed aerosol concentrations.
2.2.5. Model Outputs
2.2.6. Downscaling and Post-Processing
2.3. Uncertainty Analysis
- The simulation of 400 repeats of the same target year (years 2000 and 2050) will include a large part of the climatic uncertainty;
- The comparison between the target year 2000 produced by ARPEGE-Climat and the historical reanalysis of SAFRAN in the 2000–2018 period will complete this analysis.
3. Results
3.1. Historical Reanalysis
- Prediction of the occurrence of a claim, i.e., yield loss exceeding 5% at the department scale;
- Prediction of the yield loss value at the department scale.
3.2. Agro-Climatic Model Results in 2000 and 2050
3.2.1. Comparison of DOWKI Distributions between 2000 and 2050
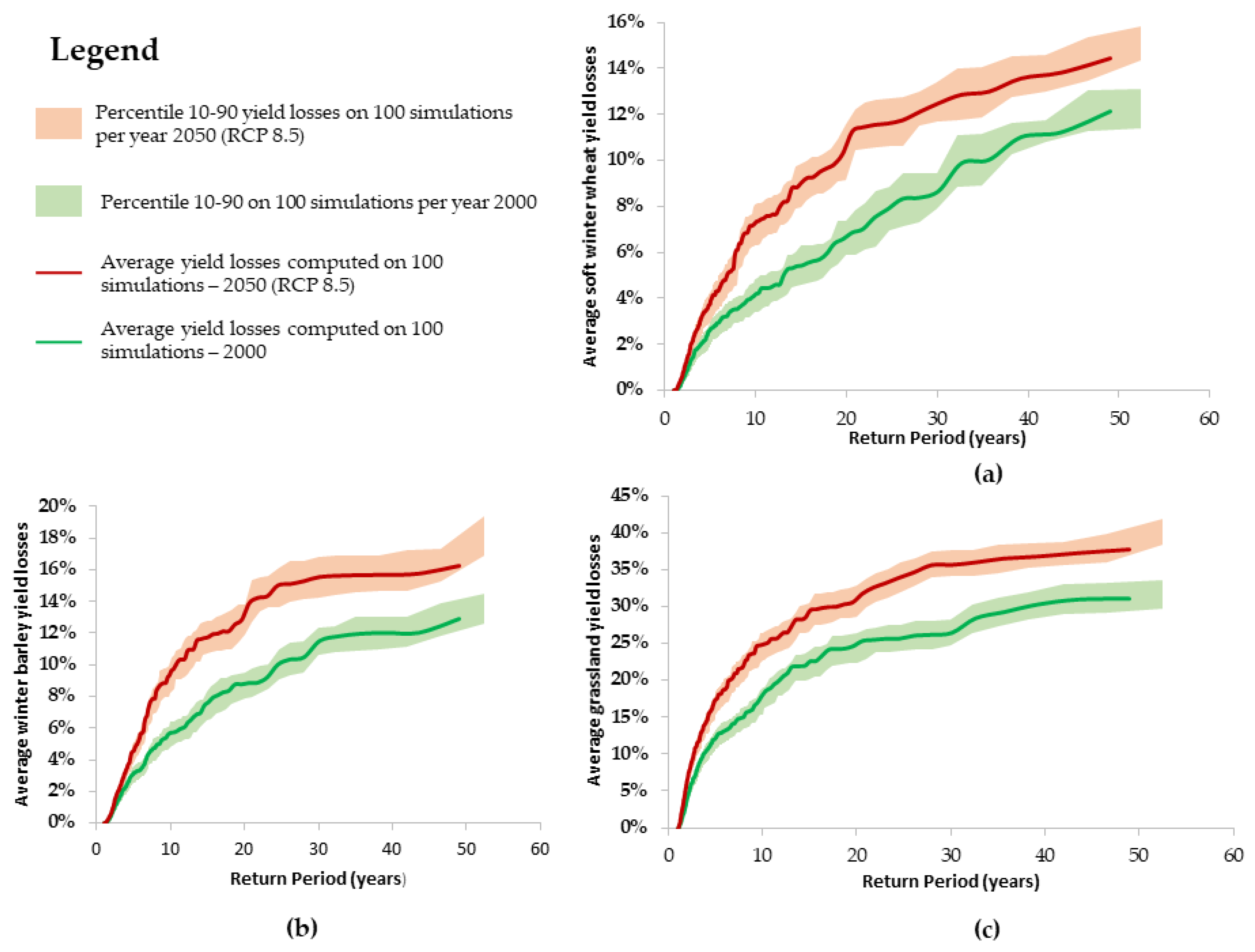
3.2.2. National Analysis
- -
- 40% for grasslands;
- -
- 47% for winter barley;
- -
- 45% for soft winter wheat.
- -
- 35% for grassland;
- -
- 75% for soft winter wheat;
- -
- 79% for winter barley (Table 3).
- -
- 4.5 million metric tons and a deficit of EUR 745 million (with an average price of EUR 168/T) for soft winter wheat;
- -
- 1 million metric tons and a deficit of EUR 163 million (with an average price of EUR 164/T) for winter barley;
- -
- 8.8 million metric tons of dry matter and an indirect deficit of EUR 1.3 billion (with an average price estimated at EUR 150/T of dry matter).
3.2.3. Regional Analysis
4. Discussion
4.1. Comparison of the Results with Others Studies
4.2. Limits of This Study
5. Conclusions
Author Contributions
Funding
Institutional Review Board Statement
Informed Consent Statement
Data Availability Statement
Acknowledgments
Conflicts of Interest
Appendix A
- The years 1985–2005 for the current climate;
- The years 2040–2060 for the future climate according to RCP 8.5.


References
- Ministère de l’Agriculture et de l’Alimentation. AGRESTE-Chiffres et Données. Statistique Agricole Annuelle 2018–2019; Ministère de l’Agriculture et de l’Alimentation: Paris, France, 2020; p. 64. [Google Scholar]
- Bindi, M.; Olesen, J. The Responses of Agriculture in Europe to Climate Change. Reg. Environ. Chang. 2010, 11, 151–158. [Google Scholar] [CrossRef]
- Ministère de l’Agriculture et de l’Alimentation. Mémento de La Statistique Agricole 2020|Agreste, La Statistique Agricole; Ministère de l’Agriculture et de l’Alimentation: Paris, France, 2020. [Google Scholar]
- COPA COGECA. Assessment of the Impact of the Heat Wave and Drought of the Summer 2003 on Agriculture and Forestry; Committee of Agricultural Organisations in the European Union and General Committee for Agricultural cooperation in the European Union: Brussels, Belgium, 2003; pp. 1–15. [Google Scholar]
- Amigues, J.P.; Debaeke, P.; Itier, B.; Lemaire, G.; Seguin, B.; Tardieu, F.; Thomas, A. Sécheresse et Agriculture. Réduire La Vulnérabilité de L’agriculture à Un Risque Accru Du Manque d’eau; INRA: Paris, France, 2006; p. 72. [Google Scholar]
- Ciais, P.; Reichstein, M.; Viovy, N.; Granier, A.; Ogée, J.; Allard, V.; Aubinet, M.; Buchmann, N.; Bernhofer, C.; Carrara, A. Europe-Wide Reduction in Primary Productivity Caused by the Heat and Drought in 2003. Nature 2005, 437, 529–533. [Google Scholar] [CrossRef] [PubMed]
- IPCC. Climate Change 2014: Impacts, Adaptation, and Vulnerability. Part A: Global and Sectoral Aspects; Cambridge University Press Cambridge: Cambridge, UK, 2014; p. 1132. [Google Scholar]
- IPCC. Managing the Risks of Extreme Events and Disasters to Advance Climate Change Adaptation; Cambridge University Press: Cambridge, UK, 2012; p. 582. [Google Scholar]
- IMFREX. Impact Des Changements Anthropiques Sur La Fréquence Des Phénomènes Extrêmes de Vent de Température et de Précipitations, Rapport final. 2002; 49.
- IPCC. Climate Change 2007: Impacts, Adaptation and Vulnerability. Contribution of Working Group II to the Fourth Assessment Report of the Intergovernmental Panel on Climate Change; Cambridge University Press: Cambridge, UK; New York, NY, USA, 2007; p. 976. [Google Scholar]
- Vert, J.; Schaller, N.; Villien, C.; Portet, F.; Mahé, T.; Sergent, A.-S.; Alexandre, S.; Nathalie, B.; Cloppet, E.; Dhôte, J.-F.; et al. Agriculture, Forêt et Climat: Vers des stratégies d’adaptation Centre d’étude et de prospectives; Ministère de l’Agriculture et de l’Alimentation: Paris, France, 2013. [Google Scholar]
- Asseng, S.; Foster, I.; Turner, N.C. The Impact of Temperature Variability on Wheat Yields. Glob. Chang. Biol. 2011, 17, 997–1012. [Google Scholar] [CrossRef]
- Alexandrov, V.; Eitzinger, J.; Cajic, V.; Oberforster, M. Potential Impact of Climate Change on Selected Agricultural Crops in North-Eastern Austria. Glob. Chang. Biol. 2002, 8, 372–389. [Google Scholar] [CrossRef]
- Asseng, S.; Milroy, S.P. Simulation of Environmental and Genetic Effects on Grain Protein Concentration in Wheat. Eur. J. Agron. 2006, 25, 119–128. [Google Scholar] [CrossRef]
- Spiertz, J.H.J. The Influence of Temperature and Light Intensity on Grain Growth in Relation to the Carbohydrate and Nitrogen Economy of the Wheat Plant. Neth. J. Agric. Sci. 1977, 25, 182–197. [Google Scholar] [CrossRef]
- Vicente-Serrano, S.M.; Lopez-Moreno, J.-I.; Beguería, S.; Lorenzo-Lacruz, J.; Sanchez-Lorenzo, A.; García-Ruiz, J.M.; Azorin-Molina, C.; Morán-Tejeda, E.; Revuelto, J.; Trigo, R. Evidence of Increasing Drought Severity Caused by Temperature Rise in Southern Europe. Environ. Res. Lett. 2014, 9, 044001. [Google Scholar] [CrossRef]
- Brisson, N.; Levrault, F. Livre Vert du Projet CLIMATOR: 2007–2010: Changement Climatique, Agriculture et Forêt en France: Simulations D’impacts sur les Principales Espèces; ADEME: Angers, France, 2012; ISBN 978-2-35838-278-6. [Google Scholar]
- Porter, J.R.; Gawith, M. Temperatures and the Growth and Development of Wheat: A Review. Eur. J. Agron. 1999, 10, 23–36. [Google Scholar] [CrossRef]
- Ciscar, J.-C.; Iglesias, A.; Feyen, L.; Szabo, L.; Van Regemorter, D.; Amelung, B.; Nicholls, R.; Watkiss, P.; Christensen, O.B.; Dankers, R.; et al. Physical and Economic Consequences of Climate Change in Europe. Proc. Natl. Acad. Sci. USA 2011, 108, 2678–2683. [Google Scholar] [CrossRef] [PubMed] [Green Version]
- Schlenker, W.; Roberts, M.J. Nonlinear Temperature Effects Indicate Severe Damages to U.S. Crop Yields under Climate Change. Proc. Natl. Acad. Sci. USA 2009, 106, 15594–15598. [Google Scholar] [CrossRef] [PubMed] [Green Version]
- Semenov, M. Simulation of Extreme Weather Events by a Stochastic Weather Generator. Clim. Res. 2008, 35, 203–212. [Google Scholar] [CrossRef] [Green Version]
- Teixeira, E.I.; Fischer, G.; van Velthuizen, H.; Walter, C.; Ewert, F. Global Hot-Spots of Heat Stress on Agricultural Crops Due to Climate Change. Agric. For. Meteorol. 2013, 170, 206–215. [Google Scholar] [CrossRef]
- Challinor, A.J.; Watson, J.; Lobell, D.B.; Howden, S.M.; Smith, D.R.; Chhetri, N. A Meta-Analysis of Crop Yield under Climate Change and Adaptation. Nat. Clim. Chang. 2014, 4, 287–291. [Google Scholar] [CrossRef]
- André, G.; Engel, B.; Berentsen, P.B.M.; Vellinga, T.V.; Oude Lansink, A.G.J.M. Quantifying the Effect of Heat Stress on Daily Milk Yield and Monitoring Dynamic Changes Using an Adaptive Dynamic Model. J. Dairy Sci. 2011, 94, 4502–4513. [Google Scholar] [CrossRef] [PubMed]
- Dikmen, S.; Hansen, P.J. Is the Temperature-Humidity Index the Best Indicator of Heat Stress in Lactating Dairy Cows in a Subtropical Environment? J. Dairy Sci. 2009, 92, 109–116. [Google Scholar] [CrossRef] [Green Version]
- Jacobs, C.; Berglund, M.; Kurnik, B.; Dworak, T.; Marras, S.; Mereu, V.; Michetti, M. Climate Change Adaptation in the Agriculture Sector in Europe; European Environment Agency (EEA): Copenhagen, Denmark, 2019. [Google Scholar]
- Fink, A.H.; Brücher, T.; Krüger, A.; Leckebusch, G.C.; Pinto, J.G.; Ulbrich, U. The 2003 European Summer Heatwaves and Drought -Synoptic Diagnosis and Impacts: European Heatwave—Impacts. Weather 2004, 59, 209–216. [Google Scholar] [CrossRef] [Green Version]
- Van der Velde, M.; Tubiello, F.N.; Vrieling, A.; Bouraoui, F. Impacts of Extreme Weather on Wheat and Maize in France: Evaluating Regional Crop Simulations against Observed Data. Clim. Change 2012, 113, 751–765. [Google Scholar] [CrossRef] [Green Version]
- Tank, A.M.G.K.; Können, G.P. Trends in Indices of Daily Temperature and Precipitation Extremes in Europe, 1946–1999. J. Clim. 2003, 16, 3665–3680. [Google Scholar] [CrossRef]
- McKee, T.B.; Doesken, N.J.; Kleist, J. The Relationship of Drought Frequency and Duration to Time Scales. In Proceedings of the Eighth Conference on Applied Climatology, Anaheim, California, 17–22 January 1993; American Meteorological Society: Boston, MA, USA, 1993; pp. 179–184. [Google Scholar]
- Vicente-Serrano, S.; Beguería, S.; Lopez-Moreno, J. A Multiscalar Drought Index Sensitive to Global Warming: The Standardized Precipitation Evapotranspiration Index. J. Clim. 2010, 23, 1696–1718. [Google Scholar] [CrossRef] [Green Version]
- LIU, X.; Zhu, X.; Pan, Y.; Li, S.; Liu, Y.; Ma, Y. Agricultural Drought Monitoring: Progress, Challenges, and Prospects. J. Geogr. Sci. 2016, 26, 750–767. [Google Scholar] [CrossRef] [Green Version]
- Tian, L.; Yuan, S.; Quiring, S.M. Evaluation of Six Indices for Monitoring Agricultural Drought in the South-Central United States. Agric. For. Meteorol. 2018, 249, 107–119. [Google Scholar] [CrossRef]
- Quiring, S.M.; Papakryiakou, T.N. An Evaluation of Agricultural Drought Indices for the Canadian Prairies. Agric. For. Meteorol. 2003, 118, 49–62. [Google Scholar] [CrossRef]
- Woli, P.; Jones, J.W.; Ingram, K.T.; Fraisse, C.W. Agricultural Reference Index for Drought (ARID). Agron. J. 2012, 104, 287–300. [Google Scholar] [CrossRef]
- Beguería, S.; Vicente-Serrano, S.M.; Reig, F.; Latorre, B. Standardized Precipitation Evapotranspiration Index (SPEI) Revisited: Parameter Fitting, Evapotranspiration Models, Tools, Datasets and Drought Monitoring. Int. J. Climatol. 2014, 34, 3001–3023. [Google Scholar] [CrossRef] [Green Version]
- Potop, V.; Možný, M.; Soukup, J. Drought Evolution at Various Time Scales in the Lowland Regions and Their Impact on Vegetable Crops in the Czech Republic. Agric. For. Meteorol. 2012, 156, 121–133. [Google Scholar] [CrossRef]
- Rebetez, M.; Mayer, H.; Dupont, O.; Schindler, D.; Gartner, K.; Kropp, J.P.; Menzel, A. Heat and Drought 2003 in Europe: A Climate Synthetis. Ann. For. Sci. 2006, 63, 569–577. [Google Scholar] [CrossRef] [Green Version]
- Vidal, J.-P.; Martin, E.; Franchistéguy, L.; Habets, F.; Soubeyroux, J.-M.; Blanchard, M.; Baillon, M. Multilevel and Multiscale Drought Reanalysis over France with the Safran-Isba-Modcou Hydrometeorological Suite. Hydrol. Earth Syst. Sci. Discuss. 2010, 14, 459–478. [Google Scholar] [CrossRef] [Green Version]
- Gate, P. Le Blé Face Au Changement Climatique. Perspect. Agric. 2007, 336, 20–56. [Google Scholar]
- Ben-Ari, T.; Adrian, J.; Klein, T.; Calanca, P.; Van der Velde, M.; Makowski, D. Identifying Indicators of Extreme Wheat and Maize Yield Losses. Agric. For. Meteorol. 2016, 220, 130–140. [Google Scholar] [CrossRef]
- Kapsambelis, D.; Moncoulon, D.; Cordier, J. An Innovative Damage Model for Crop Insurance, Combining Two Hazards into a Single Climatic Index. Climate 2019, 7, 125. [Google Scholar] [CrossRef] [Green Version]
- Ministère de l’Agriculture, de l’Agroalimentaire et de la Foret, Ministère de l’Economie et des Finances. Cahier Des Charges Applicable Aux Entreprises D’assurance Pour La Prise En Charge Partielle de Primes et Cotisations D’assurance Récolte 2016. Pris En Application Des Articles 1, 2 et 10 Du Décret Fixant Pour Les Années 2016–2020 Les Modalités D’application de L’article L. 361-4 Du Code Rural et de La Pêche Maritime En Vue de Favoriser Le Développement de L’assurance Contre Certains Risques Agricoles; Ministère de l’Agriculture et de l’Alimentation: Paris, France, 2016. [Google Scholar]
- IPCC. Climate Change 2021: The Physical Science Basis. Contribution of Working Group I to the Sixth Assessment Report of the Intergovernmental Panel on Climate Change; Cambridge University Press: Cambridge, UK, 2021. [Google Scholar]
- IPCC. Regional Fact Sheet—Europe; Cambridge University Press: Cambridge, UK; New York, NY, USA, 2021. [Google Scholar]
- Kapsambelis, D.; Moncoulon, D.; Cordier, J. Modélisation de l’impact des sécheresses et excès d’eau sur les productions végétales à horizon 2050. In Rapport Scientifique CCR 2021; CCR: Paris, France, 2021; pp. 62–66. [Google Scholar]
- Forzieri, G.; Feyen, L.; Russo, S.; Vousdoukas, M.; Alfieri, L.; Outten, S.; Migliavacca, M.; Bianchi, A.; Rojas, R.; Cid, A. Multi-Hazard Assessment in Europe under Climate Change. Clim. Chang. 2016, 137, 105–119. [Google Scholar] [CrossRef] [Green Version]
- Jacob, D.; Petersen, J.; Eggert, B.; Alias, A.; Christensen, O.B.; Bouwer, L.M.; Braun, A.; Colette, A.; Déqué, M.; Georgievski, G.; et al. EURO-CORDEX: New High-Resolution Climate Change Projections for European Impact Research. Reg. Env. Chang. 2014, 14, 563–578. [Google Scholar] [CrossRef]
- Russo, S.; Dosio, A.; Graversen, R.G.; Sillmann, J.; Carrao, H.; Dunbar, M.B.; Singleton, A.; Montagna, P.; Barbola, P.; Vogt, J.V. Magnitude of Extreme Heat Waves in Present Climate and Their Projection in a Warming World. J. Geophys. Res. Atmos. 2014, 119, 12500–12512. [Google Scholar] [CrossRef] [Green Version]
- Spinoni, J.; Vogt, J.V.; Naumann, G.; Barbosa, P.; Dosio, A. Will Drought Events Become More Frequent and Severe in Europe? Int. J. Climatol. 2018, 38, 1718–1736. [Google Scholar] [CrossRef] [Green Version]
- Loukas, A.; Vasiliades, L.; Tzabiras, J. Climate Change Effects on Drought Severity. Adv. Geosci. 2008, 17, 23–29. [Google Scholar] [CrossRef] [Green Version]
- Mavromatis, T. Drought Index Evaluation for Assessing Future Wheat Production in Greece. Int. J. Climatol. 2007, 27, 911–924. [Google Scholar] [CrossRef]
- Gaitán, E.; Monjo, R.; Pórtoles, J.; Pino-Otín, M.R. Impact of Climate Change on Drought in Aragon (NE Spain). Sci. Total Environ. 2020, 740, 140094. [Google Scholar] [CrossRef] [PubMed]
- Zhang, Q.; Zhang, J. Drought Hazard Assessment in Typical Corn Cultivated Areas of China at Present and Potential Climate Change. Nat. Hazards J. Int. Soc. Prev. Mitig. Nat. Hazards 2016, 81, 1323–1331. [Google Scholar] [CrossRef]
- Sun, C.X.; Huang, G.; Fan, Y.; Zhou, X.; Lu, C.; Wang, X.Q. Drought Occurring with Hot Extremes: Changes under Future Climate Change on Loess Plateau, China. Earth’s Future 2019, 7, 587–604. [Google Scholar] [CrossRef] [Green Version]
- Strzepek, K.; Yohe, G.; Neumann, J.; Boehlert, B. Characterizing Changes in Drought Risk for the United States from Climate Change. Environ. Res. Lett. 2010, 5, 044012. [Google Scholar] [CrossRef]
- Beniston, M.; Stephenson, D.B.; Christensen, O.B.; Ferro, C.A.; Frei, C.; Goyette, S.; Halsnaes, K.; Holt, T.; Jylhä, K.; Koffi, B. Future Extreme Events in European Climate: An Exploration of Regional Climate Model Projections. Clim. Chang. 2007, 81, 71–95. [Google Scholar] [CrossRef] [Green Version]
- Blenkinsop, S.; Fowler, H.J. Changes in European Drought Characteristics Projected by the PRUDENCE Regional Climate Models. Int. J. Climatol. 2007, 27, 1595–1610. [Google Scholar] [CrossRef]
- Vidal, J.P.; Martin, E.; Kitova, N.; Najac, J.; Soubeyroux, J.-M. Evolution of Spatio-Temporal Drought Characteristics: Validation, Projections and Effect of Adaptation Scenarios. Hydrol. Earth Syst. Sci. 2012, 16, 2935–2955. [Google Scholar] [CrossRef] [Green Version]
- Deque, M. Frequency of Precipitation and Temperature Extremes over France in an Anthropogenic Scenario: Model Results and Statistical Correction According to Observed Values. Glob. Planet. Chang. 2007, 57, 16–26. [Google Scholar] [CrossRef]
- Planton, S.; Déqué, M.; Chauvin, F.; Terray, L. Expected Impacts of Climate Change on Extreme Climate Events. Geoscience 2008, 340, 564–574. [Google Scholar] [CrossRef]
- Soubeyroux, J.M.; Vidal, J.-P.; Najac, J.; Kitova, N.; Blanchard, M.; Dandin, P.; Martin, E.; Pagé, C.; Habets, F. Projet ClimSec. Impact du Changement Climatique en FRANCE sur la Sécheresse et l’eau du Sol. Rapport Final; irstea: Gennes, France, 2011; p. 73. [Google Scholar]
- Soubeyroux, J.-M.; Kitova, N.; Blanchard, M.; Vidal, J.P.; Martin, E.; Dandin, P. Caractérisation Des Sècheresses Des Sols En France et Changement Climatique: Résultats et Applications Du Projet ClimSec. La Météorologie 2012, 78, 21–30. [Google Scholar] [CrossRef] [Green Version]
- Hatfield, J.; Takle, G.; Grotjahn, R.; Holden, P.; Izaurralde, R.C.; Mader, T.; Marshall, E.; Liverman, D.; Melillo, J.M.; Richmond, T.C.; et al. Chapter 6: Agriculture. Climate Change Impacts in the United States: The Third National Climate Assessment; Melillo, J.M., Richmond, Terese (T.C.), Yohe, G.W., Eds.; U.S. Global Change Research Program: Sydney, NSW, Australia, 2014. [Google Scholar] [CrossRef]
- Létard, V.; Flandre, H.; Lepeltier, S. La France et les Français Face à la Canicule: Les Leçons D’une Crise; Rapport d’information au Sénat: Paris, France, 2004. [Google Scholar]
- Dercon, S. Growth and Shocks: Evidence from Rural Ethiopia. J. Dev. Econ. 2004, 74, 309–329. [Google Scholar] [CrossRef]
- Christidis, N.; Stott, P.A.; Brown, S.; Hegerl, G.C.; Caesar, J. Detection of Changes in Temperature Extremes during the Second Half of the 20th Century. Geophys. Res. Lett. 2005, 32. [Google Scholar] [CrossRef] [Green Version]
- Brisson, N.; Gate, P.; Gouache, D.; Charmet, G.; Oury, F.-X.; Huard, F. Why Are Wheat Yields Stagnating in Europe? A Comprehensive Data Analysis for France. Filed Crops Res. 2010, 119, 201–212. [Google Scholar]
- Peltonen-Sainio, P.; Jauhiainen, L.; Laurila, I.P. Cereal Yield Trends in Northern European Conditions: Changes in Yield Potential and Its Realisation. Field Crops Res. 2009, 110, 85–90. [Google Scholar] [CrossRef]
- Harsányi, E.; Bashir, B.; Alsilibe, F.; Alsafadi, K.; Alsalman, A.; Széles, A.; Bácskai, I.; Juhász, C.; Ratonyi, T.; Mohammed, S. Impact of Agricultural Drought on Sunflower Production across Hungary. Atmosphere 2021, 12, 1339. [Google Scholar] [CrossRef]
- Mokhtar, A.; He, H.; Alsafadi, K.; Mohammed, S.; Ayantobo, O.; Elbeltagi, A.; Abdelwahab, O.; Hongfei, Z.; Quan, Y.; Abdo, H.; et al. Assessment of the Effects of Spatiotemporal Characteristics of Drought on Crop Yields in Southwest China. Int. J. Climatol. 2021, 1–20. [Google Scholar] [CrossRef]
- Ministère de l’Agriculture et de l’Alimentation. Conjoncture Agreste 2003. Ministère de l’Agriculture et de l’Alimentation: Paris, France, 2003; p. 3. [Google Scholar]
- CCR. Note de Synthèse Sur Le Suivi de l’aide à l’assurance Multirisques Climatique Pour l’exercice 2019 Par CCR Pour Le Ministère de l’Agriculture et de l’Alimentation; CCR: Paris, France, 2003; p. 43. [Google Scholar]






| Parameters | Annual Index Period Computation | Extreme Event Threshold | Minimum Cultivation Area |
|---|---|---|---|
| Grassland | 3rd 10 days in April–2nd 10 days in September | −200 mm | 2 × 104 |
| Winter barley | 3rd 10 days in April–1st 10 days in August | −200 mm | 2 × 104 |
| Soft winter wheat North of France | 3rd 10 days in April–1st 10 days in August | −200 mm | 9 × 104 |
| Soft winter wheat South of France | 3rd 10 days in April–1st 10 days in August | −200 mm | 1.1 × 104 |
| False Positives | False Negatives |
|---|---|
| Adaptation of agricultural practices: modifying the sowing period or harvest period, choice of varieties | Development and propagation of disease |
| Protection measures (irrigation) | Combination of several climatic events, including droughts |
| 10-Year Droughts | Average Yield Losses at the National Scale—Climate in 2000 | Average Yield Losses at the National Scale—Climate in 2050 |
|---|---|---|
| Soft winter wheat | 4.2% | 7.4% |
| Winter barley | 5.3% | 9.5% |
| Grassland | 18.5% | 25.0% |
Publisher’s Note: MDPI stays neutral with regard to jurisdictional claims in published maps and institutional affiliations. |
© 2022 by the authors. Licensee MDPI, Basel, Switzerland. This article is an open access article distributed under the terms and conditions of the Creative Commons Attribution (CC BY) license (https://creativecommons.org/licenses/by/4.0/).
Share and Cite
Kapsambelis, D.; Moncoulon, D.; Veysseire, M.; Soubeyroux, J.-M.; Cordier, J. Modeling the Impact of Extreme Droughts on Agriculture under Current and Future Climate Conditions Using a Spatialized Climatic Index. Appl. Sci. 2022, 12, 2481. https://doi.org/10.3390/app12052481
Kapsambelis D, Moncoulon D, Veysseire M, Soubeyroux J-M, Cordier J. Modeling the Impact of Extreme Droughts on Agriculture under Current and Future Climate Conditions Using a Spatialized Climatic Index. Applied Sciences. 2022; 12(5):2481. https://doi.org/10.3390/app12052481
Chicago/Turabian StyleKapsambelis, Dorothée, David Moncoulon, Martine Veysseire, Jean-Michel Soubeyroux, and Jean Cordier. 2022. "Modeling the Impact of Extreme Droughts on Agriculture under Current and Future Climate Conditions Using a Spatialized Climatic Index" Applied Sciences 12, no. 5: 2481. https://doi.org/10.3390/app12052481
APA StyleKapsambelis, D., Moncoulon, D., Veysseire, M., Soubeyroux, J.-M., & Cordier, J. (2022). Modeling the Impact of Extreme Droughts on Agriculture under Current and Future Climate Conditions Using a Spatialized Climatic Index. Applied Sciences, 12(5), 2481. https://doi.org/10.3390/app12052481

