A Preliminary Neutron Imaging Study of Moisture Transport in Cement-Based Materials on PKUNIFTY (A Compact Accelerator Based Neutron Imaging Facility at Peking University)
Abstract
:1. Introduction
2. Materials and Methods
3. Results and Discussion
3.1. The Shape of the Water Front
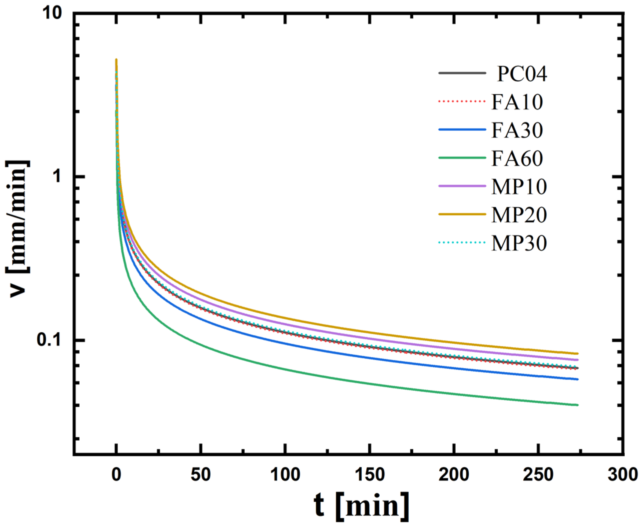
3.2. The Average Height of the Water Front
4. Conclusions
Author Contributions
Funding
Institutional Review Board Statement
Informed Consent Statement
Data Availability Statement
Acknowledgments
Conflicts of Interest
References
- Zhang, P.; Wittmann, F.H.; Lura, P.; Mueller, H.S.; Han, S.; Zhao, T. Application of neutron imaging to investigate fundamental aspects of durability of cement -based materials: A review. Cem. Concr. Res. 2018, 108, 152–166. [Google Scholar] [CrossRef]
 - Strobl, M.; Manke, I.; Kardjilov, N.; Hilger, A.; Dawson, M.; Banhart, J. Advances in neutron radiography and tomography. J. Phys. D Appl. Phys. 2009, 42, 243001. [Google Scholar] [CrossRef]
 - Banhart, J.; Borbely, A.; Dzieciol, K.; Garcia-Moreno, F.; Manke, I.; Kardjilov, N.; Kaysser-Pyzalla, A.R.; Strobl, M.; Treimer, W. X-ray and neutron imaging-Complementary techniques for materials science and engineering. Int. J. Mater. Res. 2010, 101, 1069–1079. [Google Scholar] [CrossRef]
 - Kang, M.; Bilheux, H.Z.; Voisin, S.; Cheng, C.L.; Perfect, E.; Horita, J.; Warren, J.M. Water calibration measurements for neutron radiography: Application to water content quantification in porous media. Nucl. Instrum. Methods Phys. Res. Sect. A Accel. Spectrom. Dect. Assoc. Equip. 2013, 708, 24–31. [Google Scholar] [CrossRef]
 - Cheng, C.L.; Perfect, E.; Donnelly, B.; Bilheux, H.Z.; Tremsin, A.S.; McKay, L.D.; DiStefano, V.H.; Cai, J.C.; Santodonato, L.J. Rapid imbibition of water in fractures within unsaturated sedimentary rock. Adv. Water Resour. 2015, 77, 82–89. [Google Scholar] [CrossRef] [Green Version]
 - McGlinn, P.J.; de Beer, F.C.; Aldridge, L.P.; Radebe, M.J.; Nshimirimana, R.; Brew, D.R.M.; Payne, T.E.; Olufson, K.P. Appraisal of a cementitious material for waste disposal: Neutron imaging studies of pore structure and sorptivity. Cem. Concr. Res. 2010, 40, 1320–1326. [Google Scholar] [CrossRef]
 - Kanematsu, M.; Maruyama, I.; Noguchi, T.; Iikura, H.; Tsuchiya, N. Quantification of water penetration into concrete through cracks by neutron radiography. Nucl. Instrum. Methods Phys. Res. Sect. A Accel. Spectrom. Dect. Assoc. Equip. 2009, 605, 154–158. [Google Scholar] [CrossRef]
 - Hanzic, L.; Kosec, L.; Anzel, I. Capillary absorption in concrete and the Lucas-Washbum equation. Cem. Concr. Compos. 2010, 32, 84–91. [Google Scholar] [CrossRef]
 - Zhang, P.; Wittmann, F.H.; Zhao, T.-j.; Lehmann, E.H.; Vontobel, P. Neutron radiography, a powerful method to determine time-dependent moisture distributions in concrete. Nucl. Eng. Des. 2011, 241, 4758–4766. [Google Scholar] [CrossRef]
 - Zhang, P.; Liu, Z.; Wang, Y.; Yang, J.; Han, S.; Zhao, T. 3D neutron tomography of steel reinforcement corrosion in cement-based composites. Constr. Build. Mater. 2018, 162, 561–565. [Google Scholar] [CrossRef]
 - Xu, K.; Tremsin, A.S.; Li, J.; Ushizima, D.M.; Davy, C.A.; Bouterf, A.; Su, Y.T.; Marroccoli, M.; Mauro, A.M.; Osanna, M.; et al. Microstructure and water absorption of ancient concrete from Pompeii: An integrated synchrotron microtomography and neutron radiography characterization. Cem. Concr. Res. 2021, 139, 106282. [Google Scholar] [CrossRef]
 - Tremsin, A.S.; Shinohara, T.; Oikawa, K.; Li, J.; Monteiro, P.J.M. Non-destructive mapping of water distribution through white-beam and energy-resolved neutron imaging. Nucl. Instrum. Methods Phys. Res. Sect. A Accel. Spectrom. Dect. Assoc. Equip. 2019, 927, 174–183. [Google Scholar] [CrossRef]
 - Losko, A.S.; Daemen, L.; Hosemann, P.; Nakotte, H.; Tremsin, A.; Vogel, S.C.; Wang, P.; Wittmann, F.H. Separation of Uptake of Water and Ions in Porous Materials Using Energy Resolved Neutron Imaging. JOM 2020, 72, 3288–3295. [Google Scholar] [CrossRef]
 - Wang, H.; Zou, Y.; Wen, W.; Lu, Y.; Guo, Z. Preliminary energy-filtering neutron imaging with time-of-flight method on PKUNIFTY: A compact accelerator based neutron imaging facility at Peking University. Nucl. Instrum. Methods Phys. Res. Sect. A Accel. Spectrom. Dect. Assoc. Equip. 2016, 823, 65–71. [Google Scholar] [CrossRef]
 - Zou, Y.; Wen, W.; Guo, Z.; Lu, Y.; Peng, S.; Zhu, K.; Yan, X.; Gao, S.; Zhao, J.; Li, H.; et al. PKUNIFTY: A neutron imaging facility based on an RFQ accelerator. Nucl. Instrum. Methods Phys. Res. Sect. A Accel. Spectrom. Dect. Assoc. Equip. 2011, 651, 62–66. [Google Scholar] [CrossRef]
 - Wen, W.; Li, H.; Zou, Y.; Tang, G.; Mo, D.; Lu, Y.; Guo, Z. Neutronic design and simulated performance of Peking University Neutron Imaging Facility (PKUNIFTY). Nucl. Instrum. Methods Phys. Res. Sect. A Accel. Spectrom. Dect. Assoc. Equip. 2011, 651, 67–72. [Google Scholar] [CrossRef]
 - ImageJ. Available online: http://rsb.info.nih.gov/ij/ (accessed on 25 December 2021).
 - Bartyzel, K. Adaptive Kuwahara filter. Signal Image Video Process. 2016, 10, 663–670. [Google Scholar] [CrossRef] [Green Version]
 - Papari, G.; Petkov, N.; Campisi, P. Artistic edge and corner enhancing smoothing. IEEE Trans. Image Process. 2007, 16, 2449–2462. [Google Scholar] [CrossRef] [Green Version]
 - Kyprianidis, J.E.; Kang, H.; Doellner, J. Image and video abstraction by anisotropic Kuwahara filtering. Comput. Graph. Forum. 2009, 28, 1955–1963. [Google Scholar] [CrossRef]
 - Young, I.T.; Vanvliet, L.J. Recursive implementation of the Gaussian filter. Signal Process. 1995, 44, 139–151. [Google Scholar] [CrossRef] [Green Version]
 - Martys, N.S.; Ferraris, C.F. Capillary transport in mortars and concrete. Cem. Concr. Res. 1997, 27, 747–760. [Google Scholar] [CrossRef]
 - Schoelkopf, J.; Gane, P.A.C.; Ridgway, C.J.; Matthews, G.P. Practical observation of deviation from Lucas-Washburn scaling in porous media. Colloid Surf. A Physicochem. Eng. Asp. 2002, 206, 445–454. [Google Scholar] [CrossRef]
 - Hanzic, L.; Ilic, R. Relationship between liquid sorptivity and capillarity in concrete. Cem. Concr. Res. 2003, 33, 1385–1388. [Google Scholar] [CrossRef]
 - Brew, D.R.M.; de Beer, F.C.; Radebe, M.J.; Nshimirimana, R.; McGlinn, P.J.; Aldridge, L.P.; Payne, T.E. Water transport through cement-based barriers-A preliminary study using neutron radiography and tomography. Nucl. Instrum. Methods Phys. Res. Sect. A Accel. Spectrom. Dect. Assoc. Equip. 2009, 605, 163–166. [Google Scholar] [CrossRef]
 - Wang, A.Q.; Zhang, C.Z.; Sun, W. Fly ash effects - II. The active effect of fly ash. Cem. Concr. Res. 2004, 34, 2057–2060. [Google Scholar] [CrossRef]
 - Hall, C.; Hoff, W.D.; Taylor, S.C.; Wilson, M.A.; Yoon, B.G.; Reinhardt, H.W.; Sosoro, M.; Meredith, P.; Donald, A.M. Water anomaly in capillary liquid absorption by cement-based materials. J. Mater. Sci. Lett. 1995, 14, 1178–1181. [Google Scholar] [CrossRef]
 - Hall, C. Anomalous diffusion in unsaturated flow: Fact or fiction? Cem. Concr. Res. 2007, 37, 378–385. [Google Scholar] [CrossRef]
 - Villagran Zaccardi, Y.A.; Alderete, N.M.; De Belie, N. Improved model for capillary absorption in cementitious materials: Progress over the fourth root of time. Cem. Concr. Res. 2017, 100, 153–165. [Google Scholar] [CrossRef]
 - Alderete, N.M.; Villagran Zaccardi, Y.A.; De Belie, N. Physical evidence of swelling as the cause of anomalous capillary water uptake by cementitious materials. Cem. Concr. Res. 2019, 120, 256–266. [Google Scholar] [CrossRef]
 - McDonald, P.J.; Istok, O.; Janota, M.; Gajewicz-Jaromin, A.M.; Faux, D.A. Sorption, anomalous water transport and dynamic porosity in cement paste: A spatially localised H-1 NMR relaxation study and a proposed mechanism. Cem. Concr. Res. 2020, 133, 106045. [Google Scholar] [CrossRef]
 - Alderete, N.M.; Villagran Zaccardi, Y.A.; De Belie, N. Mechanism of long-term capillary water uptake in cementitious materials. Cem. Concr. Compos. 2020, 106, 103448. [Google Scholar] [CrossRef]
 















| Sample | W/C | Cement/g | Fly Ash/g | Marble Powder/g | Water/g | 
|---|---|---|---|---|---|
| PC04 | 0.4 | 100 | - | - | 40 | 
| FA10 | 0.4 | 90 | 10 | 40 | |
| FA30 | 0.4 | 70 | 30 | - | 40 | 
| FA60 | 0.4 | 40 | 60 | - | 40 | 
| MP10 | 0.4 | 90 | - | 10 | 40 | 
| MP20 | 0.4 | 80 | - | 20 | 40 | 
| MP30 | 0.4 | 70 | - | 30 | 40 | 
| Sample | k/mm min−1/2 | k/mm h−1/2 | 
|---|---|---|
| PC04 | 2.232 | 17.289 | 
| FA10 | 2.197 | 17.018 | 
| FA30 | 1.908 | 14.779 | 
| FA60 | 1.327 | 10.279 | 
| MP10 | 2.506 | 19.411 | 
| MP20 | 2.734 | 21.177 | 
| MP30 | 2.284 | 17.691 | 
Publisher’s Note: MDPI stays neutral with regard to jurisdictional claims in published maps and institutional affiliations.  | 
© 2022 by the authors. Licensee MDPI, Basel, Switzerland. This article is an open access article distributed under the terms and conditions of the Creative Commons Attribution (CC BY) license (https://creativecommons.org/licenses/by/4.0/).
Share and Cite
Wang, D.; Zou, Y.; Zhang, P.; Zhao, J.; Zhao, K.; Han, M.; Wei, T.; Xia, Y.; Lu, Y. A Preliminary Neutron Imaging Study of Moisture Transport in Cement-Based Materials on PKUNIFTY (A Compact Accelerator Based Neutron Imaging Facility at Peking University). Appl. Sci. 2022, 12, 1725. https://doi.org/10.3390/app12031725
Wang D, Zou Y, Zhang P, Zhao J, Zhao K, Han M, Wei T, Xia Y, Lu Y. A Preliminary Neutron Imaging Study of Moisture Transport in Cement-Based Materials on PKUNIFTY (A Compact Accelerator Based Neutron Imaging Facility at Peking University). Applied Sciences. 2022; 12(3):1725. https://doi.org/10.3390/app12031725
Chicago/Turabian StyleWang, Dongyang, Yubin Zou, Peng Zhang, Jie Zhao, Kaiyue Zhao, Meiyun Han, Tianhao Wei, Yin Xia, and Yuanrong Lu. 2022. "A Preliminary Neutron Imaging Study of Moisture Transport in Cement-Based Materials on PKUNIFTY (A Compact Accelerator Based Neutron Imaging Facility at Peking University)" Applied Sciences 12, no. 3: 1725. https://doi.org/10.3390/app12031725
APA StyleWang, D., Zou, Y., Zhang, P., Zhao, J., Zhao, K., Han, M., Wei, T., Xia, Y., & Lu, Y. (2022). A Preliminary Neutron Imaging Study of Moisture Transport in Cement-Based Materials on PKUNIFTY (A Compact Accelerator Based Neutron Imaging Facility at Peking University). Applied Sciences, 12(3), 1725. https://doi.org/10.3390/app12031725
        
                                                
