Hardware-In-the-Loop Simulation of Time-Delayed Anti-Swing Controller for Quadrotor with Suspended Load
Abstract
:1. Introduction
2. Quadrotor–Load Model
3. Quadrotor Controller
3.1. Tracking Controller
3.2. Anti-Swing Controller (ASC)
3.3. Swing Angle Sensor
4. HIL Simulation
- The quadrotor and load dynamics simulation;
- The autopilot sensors simulation;
- The communication and synchronization between the different parts.
4.1. Load Model
4.2. Gazebo Implementation
4.3. Sensor Details
4.4. MAVROS Plugin
4.5. Mavlink Message Definition
4.6. PX4 Application for Real-Time Data Viewing
4.7. Data Logging Interface
4.8. Controller Implementation
5. Simulation Results
5.1. Hover Flight
5.2. Travel Flight
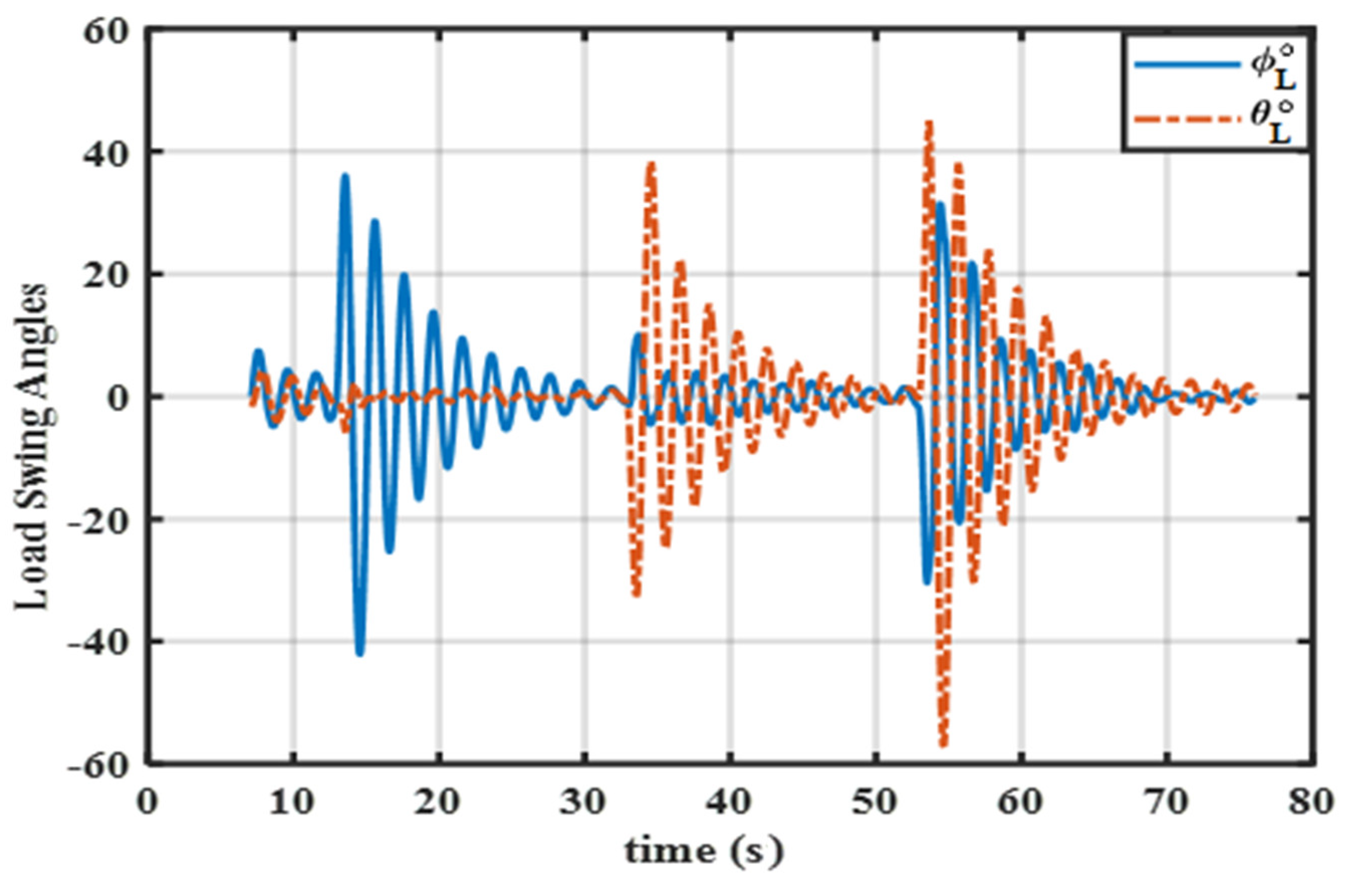
5.3. Numerical Simulation
6. Conclusions
Funding
Institutional Review Board Statement
Informed Consent Statement
Data Availability Statement
Acknowledgments
Conflicts of Interest
References
- Farid, G.; Hongwei, M.; Ali, S.M.; Liwei, Q. A review on linear and nonlinear control techniques for position and attitude control of a quadrotor. Control Intell. Syst. 2017, 45, 43–57. [Google Scholar]
- Gupte, S.; Mohandas, P.I.T.; Conrad, J.M. A survey of quadrotor unmanned aerial vehicles. In Proceedings of the 2012 Proceedings of IEEE Southeastcon, Orlando, FL, USA, 15–18 March 2012; pp. 1–6. [Google Scholar]
- Bucolo, M.; Buscarino, A.; Fortuna, L.; Gagliano, S. Bifurcation scenarios for pilot induced oscillations. Aerosp. Sci. Technol. 2020, 106, 106194. [Google Scholar] [CrossRef]
- Bernard, M.; Kondak, K.; Maza, I.; Ollero, A. Autonomous transportation and deployment with aerial robots for search and rescue missions. J. Field Robot. 2011, 28, 914–931. [Google Scholar] [CrossRef] [Green Version]
- Jung, S.; Kim, H. Analysis of amazon prime air UAV delivery service. J. Knowl. Inf. Technol. Syst. 2017, 12, 253–266. [Google Scholar]
- Qian, L.; Graham, S.; Liu, H.H.-T. Guidance and Control Law Design for a Slung Payload in Autonomous Landing: A Drone Delivery Case Study. IEEE/ASME Trans. Mechatron. 2020, 25, 1773–1782. [Google Scholar] [CrossRef]
- Nguyen, K.D.; Nguyen, T.-T. Vision-based software-in-the-loop-simulation for Unmanned Aerial Vehicles using gazebo and PX4 open source. In Proceedings of the 2019 International Conference on System Science and Engineering (ICSSE), Dong Hoi, Vietnam, 20–21 July 2019; pp. 429–432. [Google Scholar]
- Silano, G.; Oppido, P.; Iannelli, L. Software-in-the-loop simulation for improving flight control system design: A quadrotor case study. In Proceedings of the 2019 IEEE International Conference on Systems, Man and Cybernetics (SMC), Bari, Italy, 6–9 October 2019; pp. 466–471. [Google Scholar]
- Taimoor, M.; Aijun, L. Autonomous Flight of Unmanned Aerial Vehicle (UAV); LAP LAMBERT Academic Publishing: Saarbrücken, Germany, 2017. [Google Scholar]
- Khan, H.S.; Kadri, M.B. Position control of quadrotor by embedded PID control with hardware in loop simulation. In Proceedings of the 17th IEEE International Multi Topic Conference 2014, Karachi, Pakistan, 8–10 December 2014; pp. 395–400. [Google Scholar]
- Nguyen, K.D.; Ha, C. Development of Hardware-in-the-Loop Simulation Based on Gazebo and Pixhawk for Unmanned Aerial Vehicles. Int. J. Aeronaut. Space Sci. 2018, 19, 238–249. [Google Scholar] [CrossRef]
- Bhargava, A. Development of a Quadrotor Testbed for Control and Sensor Development. Master’s Thesis, Clemson University, Clemson, SC, USA, 2008. [Google Scholar]
- Hancer, M.; Bitirgen, R.; Bayezit, I. Designing 3-DOF hardware-in-the-loop test platform controlling multirotor vehicles. In IFAC PapersOnLine, Proceedings of the 3rd IFAC Conference on Advances in Proportional-Integral-Derivative Control PID 2018, Ghent, Belgium, 9–11 May 2018; Volume 51, pp. 119–124. [Google Scholar]
- Wang, H.; Azaizia, D.; Lu, C.; Zhang, B.; Zhao, X.; Liu, Y. Hardware in the loop based 6DoF test platform for multi-rotor UAV. In Proceedings of the 4th International Conference on Systems and Informatics (ICSAI) 2017, Hangzhou, China, 11–13 November 2017; pp. 1693–1697. [Google Scholar]
- Quan, Q.; Dai, X.; Wang, S. Multicopter Design and Control Practice: A Series Experiments Based on MATLAB and Pixhawk; Springer Nature: Singapore, 2020. [Google Scholar]
- Meyer, J.; Sendobry, A.; Kohlbrecher, S.; Klingauf, U.; Von Stryk, O. Comprehensive simulation of quadrotor UAVS using ROS and gazebo. In Simulation, Modeling, and Programming for Autonomous Robots, Proceedings of the International Conference on Simulation, Modeling, and Programming for Autonomous Robots, Tsukuba, Japan, 5–8 November 2012; Noda, I., Ando, N., Brugali, D., Kuffner, J.J., Eds.; Springer: Berlin, Germany, 2012; pp. 400–411. [Google Scholar]
- Zhang, M.; Qin, H.; Lan, M.; Lin, J.; Wang, S.; Liu, K.; Lin, F.; Chen, B.M. A high fidelity simulator for a quadrotor UAV using ROS and Gazebo. In Proceedings of the IECON 2015-41st Annual Conference of the IEEE Industrial Electronics Society, Yokohama, Japan, 9–12 November 2015; pp. 002846–002851. [Google Scholar]
- Alborzi, Y.; Jalal, B.S.; Najafi, E. ROS-based SLAM and navigation for a gazebo-simulated autonomous quadrotor. In Proceedings of the 2020 21st International Conference on Research and Education in Mechatronics (REM), Krakow, Poland, 9–11 December 2020; pp. 1–5. [Google Scholar]
- Takaya, K.; Asai, T.; Kroumov, V.; Smarandache, F. Simulation environment for mobile robots testing using ROS and Gazebo. In Proceedings of the 2016 20th International Conference on System Theory, Control and Computing (ICSTCC), Sinaia, Romania, 13–15 October 2016; pp. 96–101. [Google Scholar]
- El-Ferik, S.; Syed, A.H.; Omar, H.M.; Deriche, M.A. Nonlinear forward path tracking controller for helicopter with slung load. Aerosp. Sci. Technol. 2017, 69, 602–608. [Google Scholar] [CrossRef]
- Jazar, R.N. Advanced Dynamics: Rigid Body, Multibody, and Aerospace Applications; Wiley: Hoboken, NJ, USA, 2013. [Google Scholar]
- Omar, H.M. Designing anti-swing fuzzy controller for helicopter slung-load system near hover by particle swarms. Aerosp. Sci. Technol. 2013, 29, 223–234. [Google Scholar] [CrossRef]
- Freddi, A.; Lanzon, A.; Longhi, S. A Feedback Linearization Approach to Fault Tolerance in Quadrotor Vehicles. In IFAC Proceedings Volumes, Proceedings of the 18th IFAC World Congress, Milano, Italy, 28 August–2 September 2011; Volume 44, pp. 5413–5418. [Google Scholar] [CrossRef] [Green Version]
- Voos, H. Nonlinear control of a quadrotor micro-UAV using feedback-linearization. In Proceedings of the 2009 IEEE International Conference on Mechatronics, Malaga, Spain, 14–17 April 2009; pp. 1–6. [Google Scholar]
- Quan, Q. Introduction to Multicopter Design and Control; Springer Nature: Singapore, 2018. [Google Scholar]
- PX4. PX4-Autopilot. Available online: https://github.com/PX4/PX4-Autopilot (accessed on 16 October 2021).
- El Ferik, S.; Ahmed, G.; Omar, H.M. Load swing control for an Unmanned Aerial Vehicle with a slung load. In Proceedings of the IEEE 11th International Multi-Conference on Systems, Signals, and Devices, Barcelona, Spain, 11–14 February 2014; pp. 1–9. [Google Scholar]
- Hanafy, O.; Saad, M. Integrating Anti-Swing Controller with PX4 Autopilot for Quadrotor with Suspended Load. J. Mech. Sci. Technol. 2022, 36. not published. [Google Scholar]
- Gazebo. Gazebo Simulator. Available online: http://gazebosim.org (accessed on 15 October 2021).
- Lamping, A.P.; Ouwerkerk, J.N.; Cohen, K. Multi-UAV control and supervision with ROS. In Proceedings of the 2018 Aviation Technology, Integration, and Operations Conference, Atlanta, GA, USA, 25–29 June 2018; p. 4245. [Google Scholar]
- Lee, H.; Yoon, J.; Jang, M.-S.; Park, K.-J. A Robot Operating System Framework for Secure UAV Communications. Sensors 2021, 21, 1369. [Google Scholar] [CrossRef] [PubMed]
- Rviz. Robotic Operating System. Available online: http://wiki.ros.org/rviz (accessed on 16 October 2021).
- RQT. Robotic Operating System. Available online: http://wiki.ros.org/rqt (accessed on 16 October 2021).


























| Symbol | Description | Value | Unit |
|---|---|---|---|
| m | Quadrotor mass | 1.585 | Kg |
| Ixx | Quadrotor moment of inertia in the x, y, and z directions | 0.018636482 | Kg·m2 |
| Iyy | 0.020027499 | ||
| Izz | 0.02788 | ||
| d | Quadrotor arm length | 0.252 | m |
| Cm | Motor moment coefficient | 1.39 × 10−7 | |
| Ct | Motor thrust coefficient | 9.79 × 10−6 | |
| Cdf | Quadrotor fuselage drag coefficient | 0.055 | |
| Cdm | Motor drag coefficient | 0.003 | |
| mL | Suspended load mass | 0.27 | Kg |
| L | Suspended load cable length | 1 | m |
| (xh, yh, zh) | Hook suspension point | (0,0,–0.1) | m |
Publisher’s Note: MDPI stays neutral with regard to jurisdictional claims in published maps and institutional affiliations. |
© 2022 by the author. Licensee MDPI, Basel, Switzerland. This article is an open access article distributed under the terms and conditions of the Creative Commons Attribution (CC BY) license (https://creativecommons.org/licenses/by/4.0/).
Share and Cite
Omar, H.M. Hardware-In-the-Loop Simulation of Time-Delayed Anti-Swing Controller for Quadrotor with Suspended Load. Appl. Sci. 2022, 12, 1706. https://doi.org/10.3390/app12031706
Omar HM. Hardware-In-the-Loop Simulation of Time-Delayed Anti-Swing Controller for Quadrotor with Suspended Load. Applied Sciences. 2022; 12(3):1706. https://doi.org/10.3390/app12031706
Chicago/Turabian StyleOmar, Hanafy M. 2022. "Hardware-In-the-Loop Simulation of Time-Delayed Anti-Swing Controller for Quadrotor with Suspended Load" Applied Sciences 12, no. 3: 1706. https://doi.org/10.3390/app12031706
APA StyleOmar, H. M. (2022). Hardware-In-the-Loop Simulation of Time-Delayed Anti-Swing Controller for Quadrotor with Suspended Load. Applied Sciences, 12(3), 1706. https://doi.org/10.3390/app12031706

