Exergy-Based Thermo-Hydraulic Performance of Roughened Absorber in Solar Air Heater Duct
Abstract
:1. Introduction
2. Details of SAH Equipped with Conical Protrusion Ribs
2.1. Thermal Analysis of SAH
2.2. Exergy Analysis
3. Mathematical Model and Validation
- In the first step, rib parameters and operating parameters, such as wind speed, ambient temperature, insolation and inlet air temperature, are selected.
- For the design temperature increase parameter, the outlet air temperature is evaluated with following equation:
- The following relationships are employed to calculate the heat transfer coefficients on the back cover and side edge:
- The major heat losses occur at the top glass cover due to the high absorber plate temperature. The following correlation was developed by Akhtar and Mullick [31]:where
- The overall heat loss coefficient is calculated as the sum of back, side and top heat losses coefficients:
- The following equations are used to determine the useful heat gain to the airflow, as well as the air mass flow rate and the Reynolds number:
- The convective heat transfer coefficient of the absorber plate is determined using the following Nusselt number correlation [26]:
- The heat gain to the air stream is calculated from the collector fin efficiency and the heat removal factor:where
- Qu1 and Qu2 are compared and, in case of difference between these two values, an updated value of Tpm is determined using the heat gain, Qu2, from Equation (34). The iteration continues until the values of Qu1 and Qu2 come to within 1% difference; that is, (Qu1 − Qu2)/Qu1 < 1%.
- The pressure drop and the air blower power are estimated from the friction factor correlation for conical protrusion rib roughness [26]:
4. Result and Discussions
4.1. The Effect of Relative Height
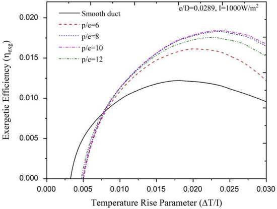
4.2. The Effect of Relative Pitch
4.3. The Effect of Solar Insolation
5. Optimization of the Conical Rib Parameters
6. Conclusions
Author Contributions
Funding
Data Availability Statement
Conflicts of Interest
Nomenclature
| Ap or Ac | Area of absorber plate, m2 | Ra | Rayleigh Number |
| d | Diameter of conical rib, mm | Re | Reynolds number |
| D | Duct height, mm | Ta | Ambient Temperature, °K |
| Dh | Hydraulic diameter, m | te | Edge thickness, mm |
| e | Rib height, mm | Tfm | Fluid mean temperature, °K |
| e/D | Relative rib height | tg | Glass Thickness, mm |
| En | Exergy flow rate to air, W | Ti | Inlet air stream temp, K |
| En | Exergy of the air flow, W | To | Outlet air stream temp, K |
| Es | Exergy of solar radiation, W | Tpm or Tc | Plate mean temp, K |
| Es | Exergy of solar radiation, W | Tsun | Sun temperature, K |
| f | Friction factor in roughened duct | U | Heat transfer coeff., W/m2∙K |
| F′ | Fin efficiency factor, | U0 | Overall heat transfer coeff., W/m2⋅K |
| Fo | Heat removal factor | Ub | Heat transfer coeff. of back cover, W/m2⋅K |
| fs | Friction factor in smooth duct | Ue | Heat transfer coeff. of side edge, W/m2⋅K |
| Gr | Grashof Number | Ut | Heat transfer coeff of top cover, W/m2⋅K |
| h | Convective heat transfer coefficient, W/m2∙K | V | Air velocity, m/s |
| hc,p-c | Convective heat transfer coeff. between absorber and glass cover, W/(m2 K) | W | Duct width, mm |
| hr,c-a | Radiative heat transfer coeff. between glass cover and ambient, W/(m2 K) | ΔPd | Pressure drop, Pa |
| hr,p-c | Radiative heat transfer coeff. between absorber and glass cover, W/(m2 K) | ΔT/I | Temperature increase parameter, K∙m2/W |
| hw | Convective heat transfer coeff. of wind, W/(m2 K) | Greek Symbols | |
| I | Insolation, W/m2 | α | Thermal diffusivity, m2/s |
| ka | Air thermal conduc., W/(m⋅K) | β | Tilt angle, º |
| Kg | Glass thermal conduc., W/(m⋅K) | β′ | Coeff. of expansion, 1/°K |
| kins | Insulation thermal conduc., W/(m⋅K) | εg | Glass cover emissivity |
| L | Collector length, m | εp | Absorber plate emissivity |
| Lg | Glass cover length, m | ηth | Thermal efficiency |
| m | Mass flow rate, kg/s | ηexg | Exergy efficiency |
| N | Number of glass cover | ηc | Carnot efficiency |
| Pm | Pumping power, W | ρ | Air density, kg/m3 |
| Pr | Prandlt number | τ | Transmissivity of glass |
| Qu | Useful heat gain, J | ||
| R1 | Thermal resistance between class cover and ambient, K/W | ||
| R2 | Thermal resistance between absorber plate and glass cover, K/W | µ | Dynamic viscosity of air, N∙s/m2 |
| R3 | Thermal resistance due to side edge, K/W | (τ∙α) | Transmittance-absorptance product of glass |
| R4 | Thermal resistance due to back cover, K/W | υ | Kinematic viscosity, m2/s |
References
- Duffie, J.A.; Beckman, W.A. Solar Engineering Thermal Processes; John Wiley: New York, NY, USA, 1991. [Google Scholar]
- Alam, T.; Saini, R.P.; Saini, J.S. Heat and flow characteristics of air heater ducts provided with turbulators—A review. Renew. Sustain. Energy Rev. 2014, 31, 289–304. [Google Scholar] [CrossRef]
- Alam, T.; Saini, R.P.; Saini, J.S. Use of turbulators for heat transfer augmentation in an air duct–A review. Renew. Energy 2014, 62, 689–715. [Google Scholar] [CrossRef]
- Alam, T.; Balam, N.B.; Kulkarni, K.S.; Siddiqui, M.I.H.; Kapoor, N.R.; Meena, C.S.; Kumar, A.; Cozzolino, R. Performance Augmentation of the Flat Plate Solar Thermal Collector: A Review. Energies 2021, 14, 6203. [Google Scholar] [CrossRef]
- Alam, T.; Kim, M.H. A critical review on artificial roughness provided in rectangular solar air heater duct. Renew. Sustain. Energy Rev. 2017, 69, 387–400. [Google Scholar] [CrossRef]
- Prasad, B.N.; Saini, J.S. Optimal thermohydraulic performance of artficially roughened solar air heaters. Sol. Energy 1991, 47, 91–96. [Google Scholar] [CrossRef]
- Prasad, B.N.; Saini, J.S. Effect of artificial roughness on heat transfer and friction factor in a solar air heater. Sol. Energy 1988, 41, 555–560. [Google Scholar] [CrossRef]
- Gupta, D.; Solanki, S.C.; Saini, J.S. Heat and fluid flow in rectangular solar air heater ducts having transverse rib roughness on absorber plates. Sol. Energy 1993, 51, 31–37. [Google Scholar] [CrossRef]
- Ebrahim-Momin, A.M.; Saini, J.S.; Solanki, S.C. Heat transfer and friction in solar air heater duct with V-shaped rib roughness on absorber plate. Int. J. Heat Mass Transf. 2002, 45, 3383–3396. [Google Scholar] [CrossRef]
- Hans, V.S.; Saini, R.P.; Saini, J.S. Heat transfer and friction factor correlations for a solar air heater duct roughened artificially with multiple v-ribs. Sol. Energy 2010, 84, 898–911. [Google Scholar] [CrossRef]
- Singh, S.; Chander, S.; Saini, J.S. Exergy based analysis of solar air heater having discrete V-down rib roughness on absorber plate. Energy 2012, 37, 749–758. [Google Scholar] [CrossRef]
- Kumar, A.; Saini, R.P.; Saini, J.S. Experimental investigation on heat transfer and fluid flow characteristics of air flow in a rectangular duct with Multi v-shaped rib with gap roughness on the heated plate. Sol. Energy 2012, 86, 1733–1749. [Google Scholar] [CrossRef]
- Gawande, V.B.; Dhoble, A.S.; Zodpe, D.B.; Chamoli, S. Experimental and CFD investigation of convection heat transfer in solar air heater with reverse L-shaped ribs. Sol. Energy 2016, 131, 275–295. [Google Scholar] [CrossRef]
- Kumar, R.; Goel, V.; Singh, P.; Saxena, A.; Kashyap, A.S.; Rai, A. Performance evaluation and optimization of solar assisted air heater with discrete multiple arc shaped ribs. J. Energy Storage 2019, 26, 100978. [Google Scholar] [CrossRef]
- Wang, D.; Liu, J.; Liu, Y.; Wang, Y.; Li, B.; Liu, J. Evaluation of the performance of an improved solar air heater with “S” shaped ribs with gap. Sol. Energy 2020, 195, 89–101. [Google Scholar] [CrossRef]
- Layek, A.; Saini, J.S.; Solanki, S.C. Effect of chamfering on heat transfer and friction characteristics of solar air heater having absorber plate roughened with compound turbulators. Renew. Energy 2009, 34, 1292–1298. [Google Scholar] [CrossRef]
- Layek, A.; Saini, J.S.; Solanki, S.C. Heat transfer and friction characteristics for artificially roughened ducts. Int. J. Heat Mass Transf. 2007, 50, 4845–4854. [Google Scholar] [CrossRef]
- Juarker, A.R.; Saini, J.S.; Ghandi, B.K. Heat transfer and friction characteristics of rectangular solar air heater duct using rib-grooved artificial roughness. Sol. Energy 2006, 80, 895–907. [Google Scholar] [CrossRef]
- Juarker, A.R. Heat and fluid flow characteristics of rib-groove artificially roughened solar air heater. Indian Inst. Technol. Roorkee 2005. [Google Scholar]
- Alam, T.; Saini, R.P.; Saini, J.S. Effect of circularity of perforation holes in V-shaped blockages on heat transfer and friction characteristics of rectangular solar air heater duct. Energy Convers. Manag. 2014, 86, 952–963. [Google Scholar] [CrossRef]
- Alam, T.; Saini, R.P.; Saini, J.S. Heat Transfer Enhancement due to V-Shaped Perforated Blocks in a Solar Air Heater Duct. Appl. Mech. Mater. 2014, 619, 125–129. [Google Scholar] [CrossRef]
- Saini, R.P.; Verma, J. Heat transfer and friction factor correlations for a duct having dimple-shape artificial roughness for solar air heaters. Energy 2008, 33, 1277–1287. [Google Scholar] [CrossRef]
- Sethi, M.; Varun Thakur, N.S. Correlations for solar air heater duct with dimpled shape roughness elements on absorber plate. Sol. Energy 2012, 86, 2852–2861. [Google Scholar] [CrossRef]
- Sethi, M.; Thakur, N.S.; Varun. Heat transfer and friction characteristics of dimple-shaped roughness element arranged in angular fashion (arc) on the absorber plate of solar air heater. J. Renew. Sustain. Energy 2012, 4, 023112. [Google Scholar] [CrossRef]
- Bhushan, B.; Singh, R. Nusselt number and friction factor correlations for solar air heater duct having artificially roughened absorber plate. Sol. Energy 2011, 85, 1109–1118. [Google Scholar] [CrossRef]
- Perwez, A.; Kumar, R. Thermal performance investigation of the flat and spherical dimple absorber plate solar air heaters. Sol. Energy 2019, 193, 309–323. [Google Scholar] [CrossRef]
- Yadav, S.; Kaushal, M.; Varun, S. Nusselt number and friction factor correlations for solar air heater duct having protrusions as roughness elements on absorber plate. Exp. Therm. Fluid Sci. 2013, 44, 34–41. [Google Scholar] [CrossRef]
- Alam, T.; Kim, M.H. Heat transfer enhancement in solar air heater duct with conical protrusion roughness ribs. Appl. Therm. Eng. 2017, 126, 458–469. [Google Scholar] [CrossRef]
- Sharma, S.K.; Kalamkar, V.R. Thermo-hydraulic performance analysis of solar air heaters having artificial roughness–A review. Renew. Sustain. Energy Rev. 2015, 41, 413–435. [Google Scholar] [CrossRef]
- Altfeld, K.; Leiner, W.; Fiebig, M. Second law optimization of plat-plate solar air heaters. Sol. Energy 1988, 41, 127–132. [Google Scholar] [CrossRef]
- Akhtar, N.; Mullick, S.C. Approximate method for computation of glass cover temperature and top heat-loss coefficient of solar collectors with single glazing. Sol. Energy 1999, 66, 349–354. [Google Scholar] [CrossRef]













| System Parameter | Value |
|---|---|
| Emissivity of absorber plate (εp) | 0.9 |
| Transmittance-absorptance product (α∙τ) | 0.8 |
| Emissivity of transparent glass cover (εg) | 0.88 |
| Tilt angle (β) | 30° |
| Collector edge thickness (te) | 0.1 m |
| Glass cover thickness (tg) | 0.002 m |
| Thickness of back insulation (ti) | 0.05 m |
| Insulation thermal conductivity (kin) | 0.037 W/m∙K |
| Collector length (L) | 1.0 m |
| Distance between glass cover and collector (Lg) | 0.025 m |
| Collector width (W) | 0.3 m |
| Number of glass covers (N) | 1 |
| Collector duct height (H) | 0.025 m |
| Relative rib pitch (p/e) | 6–12 |
| Relative rib height (e/D) | 0.020–0.044 |
| Operating Parameters | |
| Reynolds number | 1000–15000 |
| Insolation (I) | 600–1000 W/m2 |
| Temperature increase parameter (ΔT/I) | 0.010–0.030 K∙m2/W |
| p/e = 10 and I = 1000 W/m2 | |||
|---|---|---|---|
| Parameter | Optimum Value | ΔT/I | Re |
| e/D | Smooth | ∆T/I < 0.0076 | Re > 10760 |
| e/D = 0.0200 | 0.0076 < ∆T/I < 0.0087 | 9700 < Re < 10760 | |
| e/D = 0.0289 | 0.0087 < ∆T/I < 0.0104 | 7530 < Re < 9700 | |
| e/D = 0.0360 | 0.0104 < ∆T/I < 0.0111 | 6910 < Re < 7530 | |
| e/D = 0.0440 | 0.0111 < ∆T/I | Re < 6910 | |
| P/e = 10, I = 1000 W/m2 | ΔT/I = 0.005 | ΔT/I = 0.01 | ΔT/I = 0.015 | ΔT/I = 0.020 | ΔT/I = 0.025 | |
|---|---|---|---|---|---|---|
| Enhancement factor (ηexg/ηexgs) | e/D = 0.0200 | 1.14 | 1.28 | 1.39 | 1.48 | 1.45 |
| e/D = 0.0289 | 1.16 | 1.33 | 1.48 | 1.64 | 1.75 | |
| e/D = 0.0360 | 1.15 | 1.35 | 1.53 | 1.74 | 1.92 | |
| e/D = 0.0440 | 1.14 | 1.37 | 1.58 | 1.81 | 2.04 | |
| I = 1000 W/m2 and e/D = 0.0289 | |||
|---|---|---|---|
| Parameter | Optimum Value | ΔT/I | Re |
| p/e | Smooth | ∆T/I < 0.0076 | Re > 10870 |
| p/e = 12 | 0.0076 < ∆T/I < 0.0092 | 8570 < Re < 10870 | |
| p/e = 10 | 0.0092 < ∆T/I | Re < 8570 | |
| e/D = 0.0289, I = 1000 W/m2 | ΔT/I = 0.010 | ΔT/I = 0.015 | ΔT/I = 0.020 | ΔT/I = 0.025 | ΔT/I = 0.030 | |
|---|---|---|---|---|---|---|
| Enhancement factor (ηexg/ηexgs) | p/e = 6 | 1.11 | 1.25 | 1.34 | 1.37 | 1.27 |
| p/e = 8 | 1.15 | 1.32 | 1.47 | 1.62 | 1.72 | |
| p/e = 10 | 1.16 | 1.33 | 1.48 | 1.64 | 1.75 | |
| p/e = 12 | 1.15 | 1.3 | 1.43 | 1.55 | 1.59 | |
Publisher’s Note: MDPI stays neutral with regard to jurisdictional claims in published maps and institutional affiliations. |
© 2022 by the authors. Licensee MDPI, Basel, Switzerland. This article is an open access article distributed under the terms and conditions of the Creative Commons Attribution (CC BY) license (https://creativecommons.org/licenses/by/4.0/).
Share and Cite
Alam, T.; Siddiqui, M.I.H.; Alshehri, H.; Ali, M.A.; Blecich, P.; Saurabh, K. Exergy-Based Thermo-Hydraulic Performance of Roughened Absorber in Solar Air Heater Duct. Appl. Sci. 2022, 12, 1696. https://doi.org/10.3390/app12031696
Alam T, Siddiqui MIH, Alshehri H, Ali MA, Blecich P, Saurabh K. Exergy-Based Thermo-Hydraulic Performance of Roughened Absorber in Solar Air Heater Duct. Applied Sciences. 2022; 12(3):1696. https://doi.org/10.3390/app12031696
Chicago/Turabian StyleAlam, Tabish, Md Irfanul Haque Siddiqui, Hassan Alshehri, Masood Ashraf Ali, Paolo Blecich, and Kushagra Saurabh. 2022. "Exergy-Based Thermo-Hydraulic Performance of Roughened Absorber in Solar Air Heater Duct" Applied Sciences 12, no. 3: 1696. https://doi.org/10.3390/app12031696
APA StyleAlam, T., Siddiqui, M. I. H., Alshehri, H., Ali, M. A., Blecich, P., & Saurabh, K. (2022). Exergy-Based Thermo-Hydraulic Performance of Roughened Absorber in Solar Air Heater Duct. Applied Sciences, 12(3), 1696. https://doi.org/10.3390/app12031696

