The Effect of Strengthening Methods on the Performance of Reinforced Concrete Columns against Vehicle Impact
Abstract
:1. Introduction
2. Development of Finite Element Model of Axially Loaded RC Columns for Impact Load
2.1. Constitutive Models of the Materials
2.2. Contact Definition
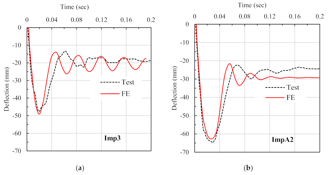
3. Validation of the FE Model of Column Subjected to Impact Load
4. Numerical Simulation of a Vehicle Collision with Column
4.1. Finite Element Models of Vehicles and Reinforced Concrete Columns
4.2. Contact Definition between Vehicle and Column
4.3. Initial Velocity
5. Results and Discussions
5.1. Impact Damage of Column and Car
5.2. Impact Force Time-History
5.3. Effect of Crushing Height on the Impact Force
5.4. Displacement Time History
6. Performance of Retrofitted Column against Vehicle Impact
6.1. Performance of AFRP-Retrofitted Column
6.2. Performance of Column with RC Jacket
7. Conclusions
- (1)
- The axially loaded column, with a cross-section of 300 × 300 mm2 (C300), is highly vulnerable under the initial car impact with V = 40 km/h. However, the column with a cross-section of 400 × 400 mm2 (C400) is more stable under initial car impact with V = 40 km/h. This implies that increasing column shear capacity by increasing the size of the columns can improve the impact resistance of the column.
- (2)
- Impact forces do not increase linearly with the increase of car initial-impact velocity. Therefore, the estimation of design impact force using the constant stiffness factor proposed by Eurocode 1 is not valid for crashing velocities of more than 20 km/h.
- (3)
- There is no significant effect on the impact force if the car-crashing height changes from 850 to 1500 mm. However, the deformation characteristics of the column are varied with the change of impact height.
- (4)
- There is an improvement in the column performance against car impact when the longitudinal reinforcement ratio increases from 1% to 2.6%. However, adding more than 2.6% of longitudinal reinforcement, there is a minor improvement in controlling the lateral displacement of the column against car impact.
- (5)
- The slender column should be strengthened near the car impact region to avoid any permanent deformation (i.e., internal damage) of the RC column at the parking places of the building. Two systems are proposed in this study, namely, (1) retrofitting the column by AFRP and (2) reinforced concrete jackets (RC jackets) at the column base.
- (6)
- The AFRP warp can reduce maximum lateral displacement and residual displacement, but it cannot eliminate the internal damage of the column. On the other hand, the RC jacket is very effective in reducing the lateral displacement and internal damage of the column. Up to an impact velocity of 40 km/h, a 40-mm-thick RC jacket can completely eliminate any permanent damage to column C300. Similarly, with a 40-mm-thick jacket, column C400 can withstand a car impact velocity of 60 km/h without being damaged.
- (7)
- By comparing the performance of an AFRP-retrofitted column to a column with an RC jacket, it is found that the AFRP jacket is not as effective as the RC jacket for the column against car impact.
- (8)
- Using the damage index specified in Equation (8), the RC jacket can be designed to protect the column against car (SUV type) impact with specific velocities.
Author Contributions
Funding
Institutional Review Board Statement
Informed Consent Statement
Data Availability Statement
Acknowledgments
Conflicts of Interest
References
- Gurbuz, T.; Ilki, A.; Thambiratnam, D.P.; Perera, N. Low-elevation impact tests of axially loaded reinforced concrete columns. ACI Struct. J. 2019, 116, 117–128. [Google Scholar] [CrossRef]
- Thilakarathna, H.M.I.; Thambiratnam, D.P.; Dhanasekar, M.; Perera, N. Numerical simulation of axially loaded concrete columns under transverse impact and vulnerability assessment. Int. J. Impact Eng. 2010, 37, 1100–1112. [Google Scholar] [CrossRef] [Green Version]
- Reiter, R. Crash course: The overlooked threat of vehicle-into-building accidents. Risk Manag. 2014, 61, 40–43. [Google Scholar]
- Yao, J.; Wang, B.; Hou, Y.; Huang, L. Analysis of Vehicle Collision on an Assembled Anti-Collision Guardrail. Sensors 2021, 21, 5152. [Google Scholar] [CrossRef] [PubMed]
- Ferrer, B.; Ivorra, S.; Irles, R. Low velocity vehicle impact against building structures: An outline of relevant codes. Rev. Construcción 2010, 9, 18–25. [Google Scholar] [CrossRef]
- Ferrer, B.; Ivorra, S.; Irles, R.; Mas, D. Real size experiments of a car crash against a building column. In WIT Transactions on the Built Environment; Wessex Institute of Thecnology: Southampton, UK, 2010; Volume 113, pp. 231–241. ISBN 9781845644666. [Google Scholar]
- METRO Metro News. Available online: https://metro.co.uk/2017/10/18/man-faces-50000-repair-bill-after-crashing-rented-car-into-concrete-column-7009575/ (accessed on 26 June 2021).
- Fujikake, K.; Li, B.; Soeun, S. Impact Response of Reinforced Concrete Beam and Its Analytical Evaluation. J. Struct. Eng. 2009, 135, 938–950. [Google Scholar] [CrossRef]
- Kishi, N.; Mikami, H. Empirical formulas for designing reinforced concrete beams under impact loading. ACI Struct. J. 2012, 109, 509–519. [Google Scholar] [CrossRef]
- Pham, T.M.; Hao, H. Plastic hinges and inertia forces in RC beams under impact loads. Int. J. Impact Eng. 2017, 103, 1–11. [Google Scholar] [CrossRef] [Green Version]
- Hu, B.; Cai, J.; Ye, J. Numerical Simulation of Dynamic Response and Evaluation of Flexural Damage of RC Columns under Horizontal Impact Load. Appl. Sci. 2021, 11, 11223. [Google Scholar] [CrossRef]
- Lim, K.M.; Han, T.H.; Lee, J.H. Numerical simulation on dynamic behavior of slab–column connections subjected to blast loads. Appl. Sci. 2021, 11, 7573. [Google Scholar] [CrossRef]
- Zhang, C.; Gholipour, G.; Mousavi, A.A. State-of-the-Art Review on Responses of RC Structures Subjected to Lateral Impact Loads. Arch. Comput. Methods Eng. 2021, 28, 2477–2507. [Google Scholar] [CrossRef]
- Pham, T.M.; Hao, H. Behavior of fiber-reinforced polymer-strengthened reinforced concrete beams under static and impact loads. Int. J. Prot. Struct. 2017, 8, 3–24. [Google Scholar] [CrossRef]
- Gurbuz, T. Impact Performance and Mitigation of Reinforced Concrete Columns. Ph.D. Thesis, Queensland University of Technology, Brisbane, Australia, 2018. [Google Scholar]
- Berardi, V.P. Fracture failure modes in fiber-reinforced polymer systems used for strengthening existing structures. Appl. Sci. 2021, 11, 6344. [Google Scholar] [CrossRef]
- Dong, J.; Zhao, J.; Zhang, D. Numerical Evaluation of Reinforced Concrete Columns Retrofitted with FRP for Blast Mitigation. Adv. Civ. Eng. 2020, 2020, 8884133. [Google Scholar] [CrossRef]
- Lu, J.; Qi, Y.; Li, Y.; Wang, X. Axial compressive performance of a composite concrete-filled GFRP tube square column. Appl. Sci. 2021, 11, 6757. [Google Scholar] [CrossRef]
- Wang, W.; Mo, Z.; Chouw, N.; Jayaraman, K. Renovation effect of flax frp-reinforced cracked concrete slabs under impact loadings. Materials 2021, 14, 6212. [Google Scholar] [CrossRef] [PubMed]
- Liu, B.; Fan, W.; Huang, X.; Shao, X.; Kang, L. A Simplified Method to Predict Damage of Axially-Loaded Circular RC Columns Under Lateral Impact Loading. Int. J. Concr. Struct. Mater. 2020, 14, 32. [Google Scholar] [CrossRef]
- Tsang, H.H.; Lam, N.T.K. Collapse of Reinforced Concrete Column by Vehicle Impact. Comput. Civ. Infrastruct. Eng. 2008, 23, 427–436. [Google Scholar] [CrossRef]
- EN 1991-1-7:2006; Eurocode 1: Actions on Structures-Part 1–7: General Actions—Accidental Actions, 2010 [Incorporating Corrigendum, 20–24 and 53–55]. CEN: Bruxelles, Belgium, 2010.
- Ferrer, B.; Ivorra, S.; Segovia, E.; Irles, R. Tridimensional modelization of the impact of a vehicle against a metallic parking column at a low speed. Eng. Struct. 2010, 32, 1986–1992. [Google Scholar] [CrossRef]
- Al-Thairy, H.; Wang, Y.C. An assessment of the current Eurocode 1 design methods for building structure steel columns under vehicle impact. J. Constr. Steel Res. 2013, 88, 164–171. [Google Scholar] [CrossRef]
- Abdelkarim, O.I.; ElGawady, M.A. Performance of bridge piers under vehicle collision. Eng. Struct. 2017, 140, 337–352. [Google Scholar] [CrossRef]
- Sohel, K.M.A.; Al-Jabri, K.; Al Abri, A.H.S. Behavior and design of reinforced concrete building columns subjected to low-velocity car impact. Structures 2020, 26, 601–616. [Google Scholar] [CrossRef]
- A-SAFE. Building, Wall and Column Impact Protection. Available online: https://www.asafe.com/ar-ae/applications/building-wall-and-column-protection/ (accessed on 30 November 2021).
- Kang, H.; Kim, J. Damage Mitigation of a Steel Column Subjected to Automobile Collision Using a Honeycomb Panel. J. Perform. Constr. Facil. 2020, 34, 04019107. [Google Scholar] [CrossRef]
- Yang, M.; Qiao, P. Analysis of cushion systems for impact protection design of bridges against overheight vehicle collision. Int. J. Impact Eng. 2010, 37, 1220–1228. [Google Scholar] [CrossRef]
- LSTC. LS-DYNA Keyword User’s Manual R11.0 (r:10580)—Vol I; Livermore Software Technology Corporation: Livermore, CA, USA, 2018. [Google Scholar]
- NHTSA. Crash Simulation Vehicle Models|NHTSA. Available online: https://www.nhtsa.gov/crash-simulation-vehicle-models#madymo-occupant-vehicle (accessed on 30 October 2021).
- Sohel, K.M.A.; Richard Liew, J.Y.; Koh, C.G. Numerical modelling of lightweight Steel-Concrete-Steel sandwich composite beams subjected to impact. Thin-Walled Struct. 2015, 94, 135–146. [Google Scholar] [CrossRef]
- LSTC. LS-DYNA Keyword User’s Manual (Material Models) R11.0 (r:10572) —Vol II; Livermore Software Technology Corporation: Livermore, CA, USA, 2018. [Google Scholar]
- Malvar, L.J. Review of static and dynamic properties of steel reinforcing bars. ACI Mater. J. 1998, 95, 609–616. [Google Scholar] [CrossRef]
- Liu, B.; Fan, W.; Guo, W.; Chen, B.; Liu, R. Experimental investigation and improved FE modeling of axially-loaded circular RC columns under lateral impact loading. Eng. Struct. 2017, 152, 619–642. [Google Scholar] [CrossRef]
- Fan, W.; Yuan, W.C. Numerical simulation and analytical modeling of pile-supported structures subjected to ship collisions including soil-structure interaction. Ocean Eng. 2014, 91, 11–27. [Google Scholar] [CrossRef]
- Wu, Y.; Crawford, J.E. Numerical Modeling of Concrete Using a Partially Associative Plasticity Model. J. Eng. Mech. 2015, 141, 04015051. [Google Scholar] [CrossRef]
- Murray, Y.; Abu-Odeh, A.; Bligh, R. Evaluation of LS-DYNA Concrete Material Model 159; Federal Highway Administration: Washington, DC, USA, 2007. [Google Scholar]
- Kong, X.; Qi, X.; Gu, Y.; Lawan, I.A.; Qu, Y. Numerical evaluation of blast resistance of RC slab strengthened with AFRP. Constr. Build. Mater. 2018, 178, 244–253. [Google Scholar] [CrossRef]
- El-Tawil, S.; Severino, E.; Fonseca, P. Vehicle Collision with Bridge Piers. J. Bridge Eng. 2005, 10, 345–353. [Google Scholar] [CrossRef] [Green Version]
- ACI Committee 318. Building Code Requirements for Structural Concrete and Commentary (ACI 318M-11); ACI: Farmington Hills, MI, USA, 2011. [Google Scholar]
- Yi, N.H.; Choi, J.H.; Kim, S.J.; Kim, J.H.J. Collision capacity evaluation of RC columns by impact simulation and probabilistic evaluation. J. Adv. Concr. Technol. 2015, 13, 67–81. [Google Scholar] [CrossRef] [Green Version]
- Liew, J.Y.R.; Sohel, K.M.A.; Koh, C.G. Impact tests on steel-concrete-steel sandwich beams with lightweight concrete core. Eng. Struct. 2009, 31, 2045–2059. [Google Scholar] [CrossRef]
- Sayed, A.M.; Rashwan, M.M.; Helmy, M.E. Experimental behavior of cracked reinforced concrete columns strengthened with reinforced concrete jacketing. Materials 2020, 13, 2832. [Google Scholar] [CrossRef] [PubMed]



















| Fabric Density (kg/m3) | Fabric Thickness (mm) | Tensile Strength (MPa) | Elastic Modulus (GPa) | Ultimate Strain |
|---|---|---|---|---|
| 1450 | 0.2 | 3200 | 120 | 0.024 |
| Econoline | Explorer | |
|---|---|---|
| Number of parts | 438 | 923 |
| Number of nodes | 295,555 | 724,628 |
| Number of solids | 15,952 | 33,690 |
| Number of beams | 2 | 185 |
| Number of springs | 6 | 42 |
| Number of mass elements | 90 | 456 |
| Number of shells | 278,535 | 680,288 |
| Number of elements | 300,066 | 714,661 |
| Column (ρs) | Jacket Thickness (mm) | Longitudinal Reinforcement in Jacket | Shear Reinforcement in the Jacket | Car Impact Velocity (km/h) | Maximum Deflection (mm) | Residual Deflection (mm) |
|---|---|---|---|---|---|---|
| C300 (2.6%) | 0* | 0 | 0 | 40 | 11.78 | 3.65 |
| 40 | 4 ϕ10.0 | ϕ10@150 mm | 40 | 4.16 | 0 | |
| 40 | 4 ϕ10.0 | ϕ10@150 mm | 50 | 9.18 | 1.26 | |
| 40 | 4 ϕ12.0 | ϕ10@150 mm | 40 | 4.15 | 0 | |
| 40 | 4 ϕ27.3 | ϕ10@150 mm | 40 | 3.58 | 0 | |
| C300 (1.13%) | 40 | 4 ϕ18.0 | ϕ10@150 mm | 40 | 0 | |
| 40 | 4 ϕ10.0 | ϕ10@150 mm | 40 | 4.72 | 0 | |
| C400 (2.6%) | 0 * | 0 | 0 | 60 | 6.65 | 1.15 |
| 40 | 8 ϕ10.0 | ϕ10@150 mm | 60 | 3.74 | 0 | |
| 40 | 8 ϕ12.0 | ϕ10@150 mm | 60 | 3.53 | 0 | |
| 40 | 8 ϕ18.0 | ϕ10@150 mm | 60 | 3.50 | 0 | |
| 40 | 8 ϕ26.0 | ϕ10@150 mm | 60 | 3.42 | 0 | |
| C400 (1.13%) | 40 | 8 ϕ10.0 | ϕ10@150mm | 60 | 3.78 | 0.4 |
| Column (ρs) | Jacket Thickness (mm) | Longitudinal Reinforcement in Jacket | Shear Capacity at RC Jacket (kN) | Car Impact Velocity (km/h) | PIF (kN) | DI | Observation from FE Analysis |
|---|---|---|---|---|---|---|---|
| C300 (2.6%) | 0 * | 0 | 408.5 | 40 | 686.35 | 1.68 | Major cracks and residual displacement |
| 40 | 4 ϕ10.0 | 660.1 | 40 | 686.35 | 1.04 | No residual deformation, some cracks in the jacket | |
| 40 | 4 ϕ10.0 | 660.1 | 50 | 1057.59 | 1.60 | Cracking at base and residual displacement | |
| 40 | 4 ϕ12.0 | 660.1 | 40 | 686.35 | 1.04 | No residual deformation, some cracks in the jacket | |
| 40 | 4 ϕ27.3 | 660.1 | 40 | 686.35 | 1.04 | No residual deformation, some cracks in the jacket | |
| C300 (1.13%) | 40 | 4 ϕ10.0 | 619.3 | 40 | 686.35 | 1.11 | No residual deformation, some cracks in the jacket |
| C400 (2.6%) | 0* | 0 | 702.8 | 60 | 1505.0 | 2.14 | Column base yielded and residual deformation |
| 40 | 8 ϕ10.0 | 1028.7 | 60 | 1505.0 | 1.46 | No residual deformation, some cracks in the jacket | |
| 40 | 8 ϕ12.0 | 1028.7 | 60 | 1505.0 | 1.46 | No residual deformation, some cracks in the jacket | |
| 40 | 8 ϕ18.0 | 1028.7 | 60 | 1505.0 | 1.46 | No residual deformation, some cracks in the jacket | |
| 40 | 8 ϕ26.0 | 1028.7 | 60 | 1505.0 | 1.46 | No residual deformation, some cracks in the jacket | |
| C400 (1.13%) | 40 | 8 ϕ10.0 | 960.1 | 60 | 1505.0 | 1.57 | Minor damage in the column and jacket |
Publisher’s Note: MDPI stays neutral with regard to jurisdictional claims in published maps and institutional affiliations. |
© 2022 by the authors. Licensee MDPI, Basel, Switzerland. This article is an open access article distributed under the terms and conditions of the Creative Commons Attribution (CC BY) license (https://creativecommons.org/licenses/by/4.0/).
Share and Cite
Fuhaid, A.A.; Sohel, K.M.A.; Arifuzzaman, M. The Effect of Strengthening Methods on the Performance of Reinforced Concrete Columns against Vehicle Impact. Appl. Sci. 2022, 12, 1382. https://doi.org/10.3390/app12031382
Fuhaid AA, Sohel KMA, Arifuzzaman M. The Effect of Strengthening Methods on the Performance of Reinforced Concrete Columns against Vehicle Impact. Applied Sciences. 2022; 12(3):1382. https://doi.org/10.3390/app12031382
Chicago/Turabian StyleFuhaid, Abdulrahman Al, Kazi Md Abu Sohel, and Md Arifuzzaman. 2022. "The Effect of Strengthening Methods on the Performance of Reinforced Concrete Columns against Vehicle Impact" Applied Sciences 12, no. 3: 1382. https://doi.org/10.3390/app12031382
APA StyleFuhaid, A. A., Sohel, K. M. A., & Arifuzzaman, M. (2022). The Effect of Strengthening Methods on the Performance of Reinforced Concrete Columns against Vehicle Impact. Applied Sciences, 12(3), 1382. https://doi.org/10.3390/app12031382

