Simple Lossless Inductive Snubbers-Assisted Series Load Resonant Inverter Operating under ZCS-PDM Scheme for High-Frequency Induction Heating Fixed Roller
Abstract
:1. Introduction
2. Schematic of Induction Heating Fixed Roller and Its Equivalent Circuit
2.1. Schematic Structure of Induction Heating Fixed Roller
2.2. Transformer Circuit Model for IH Load
2.3. Theoretical Analysis of IH Load Parameters
3. ZCS Series Load Resonant High-Frequency Inverter Employing PDM Control
3.1. Circuit Description
3.2. Principle of Operation
3.3. Operation of the Circuit
- Mode 1
- With switch S1 in the conduction mode, the power is delivered to the resonant capacitor Cr, snubber inductor LS1 and the IH load. The attenuated sinusoidal resonance starts through the IH load.
- Mode 2
- When load current iL decreases through S1 to zero at t = t1, anti-parallel diode DS1 is naturally turned on. At turn-off transition, this results in S1 achieving complete ZCS-and-ZVS hybrid soft commutation.
- Mode 3
- While diode DS1 is in conducting mode, the S2 switch turns on at t = t2. Consequently, the DS1 current commutates to S2. Eventually, the DS1 current is completely transferred to switch S2 by snubber inductor LS2. Therefore, switch S2 achieves ZCS turn-on.
- Mode 4
- While switch S2 is still in conduction mode, the diode DS1 current becomes zero at t = t3. Then, Cr delivers the output power to the IH load. This results in the attenuated sinusoidal resonance starting through the IH load.
- Mode 5
- As the load current iL increases, the S2 current decreases to zero at t = t4. As a result, anti-parallel diode DS2 is naturally turned on and S2 turns off by complete ZVS and ZCS throughout this operating mode.
- Mode 6
- While diode DS2 is still in conduction mode, switch S1 turns on at t = t5. The DS2 current begins to commutate to switch S1. Eventually, the DS2 current is completely transferred to switch S1 due to snubber inductor LS1. As the result, switch S1 is turned on with the ZCS condition, and the circuit operation Modes 1–6 repeat.
4. Experimental Results and Performance Evaluations
4.1. Voltage and Current Waveforms
4.2. Power Conversion Efficiencies
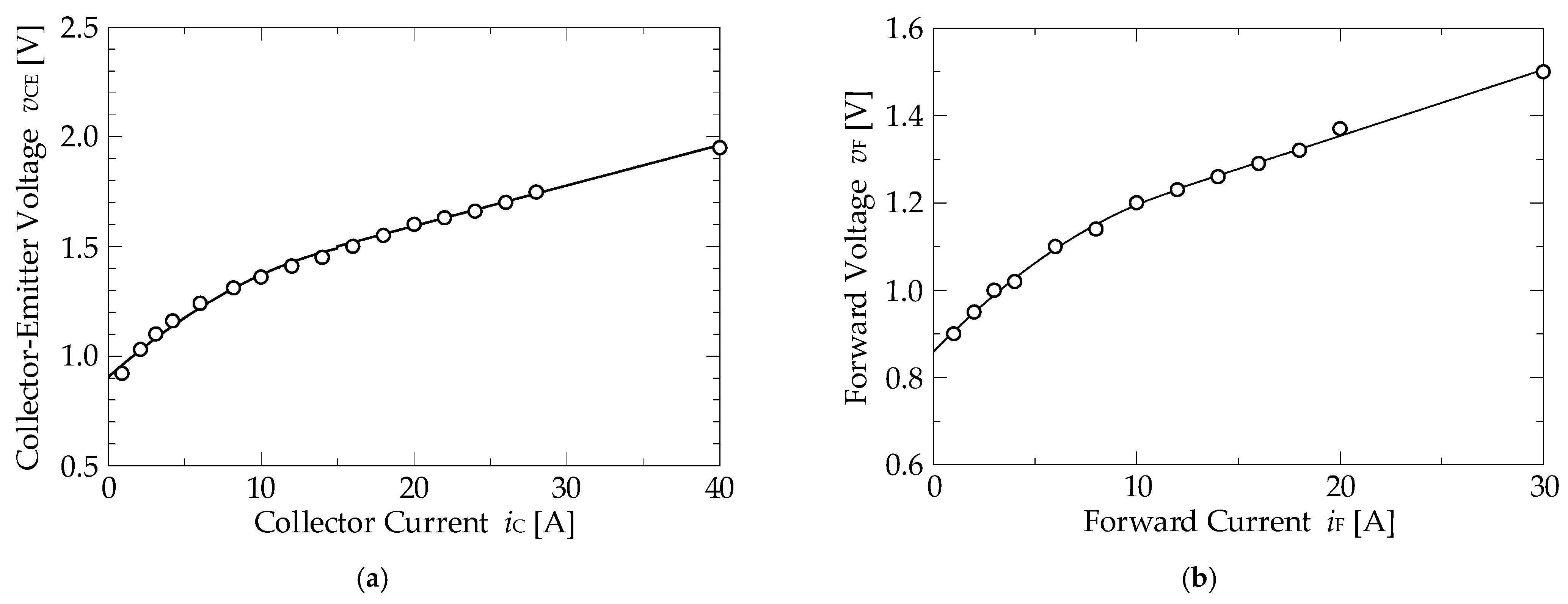
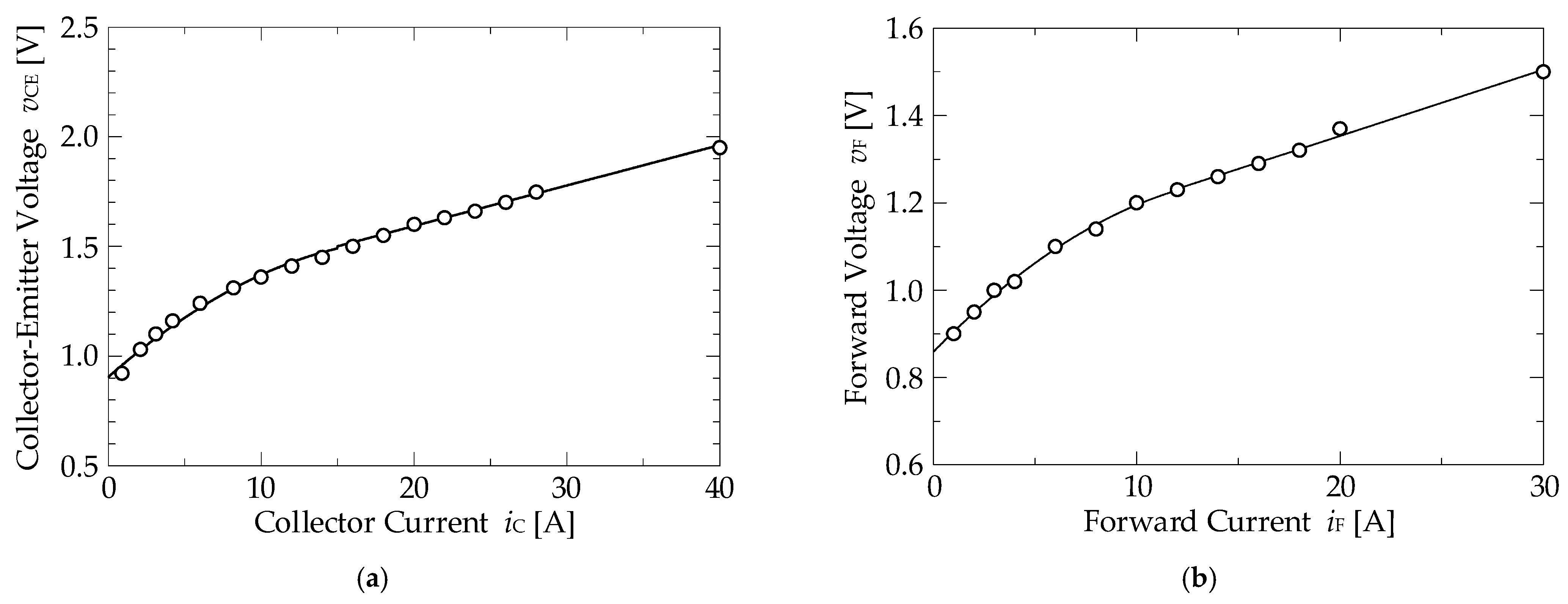
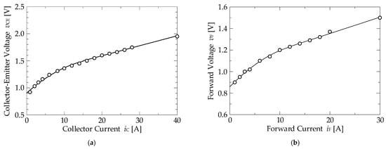
4.3. Analysis of Power Loss
4.4. Halogen Lamp Heater Comparative Characteristics
5. Conclusions
Author Contributions
Funding
Conflicts of Interest
References
- Lucia, O.; Maussion, P.; Dede, E.J.; Burdio, J.M. Induction heating technology and its applications: Past developments, current technology, and future challenges. IEEE Trans. Ind. Electron. 2014, 61, 2509–2520. [Google Scholar] [CrossRef] [Green Version]
- Parida, N.; Kumari, V.; Bhaskar, D.V.; Maity, T. Power control techniques used in high frequency induction heating applications. In Proceedings of the International Conference on Circuit, Power and Computing Technologies (ICCPCT), Nagercoil, India, 19–20 March 2015; pp. 1–6. [Google Scholar]
- Llorente, S.; Monterde, F.; Burdio, J.M.; Acero, J. A comparative study of resonant inverter topologies used in induction cookers. In Proceedings of the Annual IEEE Applied Power Electronics Conference and Exposition (APEC), Dallas, TX, USA, 10–14 March 2002; pp. 1168–1174. [Google Scholar]
- Sarnago, H.; Lucia, O.; Mediano, A.; Burdio, J.M. A comparative evaluation of high-efficiency resonant converters for domestic induction heating. In Proceedings of the Annual Conference of the IEEE Industrial Electronics Society (IECON), Vienna, Austria, 10–14 November 2013; pp. 5016–5022. [Google Scholar]
- Zeroug, H.; Meziane, B. Open-loop control of full-bridge resonant inverter for induction metal surface heating. In Proceedings of the Annual Conference of the IEEE Industrial Electronics Society (IECON), Dallas, TX, USA, 29 October–1 November 2014; pp. 3258–3264. [Google Scholar]
- Hu, J.; Bi, C.; Jia, K.; Xiang, Y. Power control of asymmetrical frequency modulation in a full-bridge series resonant inverter. IEEE Trans. Power Electron. 2015, 30, 7051–7059. [Google Scholar] [CrossRef]
- Millan, I.; Puyal, D.; Burdio, J.M.; Bemal, C.; Acero, J. Improved performance of half-bridge series resonant inverter for induction heating with discontinuous mode control. In Proceedings of the Annual IEEE Applied Power Electronics Conference and Exposition (APEC), Anaheim, CA, USA, 25 February–1 March 2007; pp. 1293–1298. [Google Scholar]
- Mishima, T.; Takami, C.; Nakaoka, M. A new current phasor-controlled ZVS twin half-bridge high-frequency resonant inverter for induction heating. IEEE Trans. Ind. Electron. 2014, 61, 2531–2545. [Google Scholar] [CrossRef] [Green Version]
- Domínguez, A.; Barragán, L.A.; Otín, A.; Artigas, J.I.; Urriza, I.; Navarro, D. Small-signal model of dual half-bridge series resonant inverter sharing resonant capacitor for domestic induction heating. In Proceedings of the Annual Conference of the IEEE Industrial Electronics Society (IECON), Dallas, TX, USA, 29 October–1 November 2014; pp. 3277–3282. [Google Scholar]
- Carretero, C.; Lucia, O.; Acero, J.; Burdio, J.M. Phase-shift modulation in double half-bridge inverter with common resonant capacitor for induction heating appliances. IET Power Electron. 2015, 8, 1128–1136. [Google Scholar] [CrossRef]
- Kaewoonruan, S.; Nurach, S.; Lenwari, W. Three level single phase half bridge NPCVSI induction heating with combined phase shift PWM and PFM digital power control. In Proceedings of the International Conference on Electrical Machines and Systems (ICEMS), Pattaya, Thailand, 25–28 October 2015; pp. 569–573. [Google Scholar]
- Yeon, J.-E.; Cho, K.-M.; Kim, H.-J. A 3.6kW single-ended resonant inverter for induction heating applications. In Proceedings of the European Conference on Power Electronics and Applications (EPE’15 ECCE-Europe), Geneva, Switzerland, 8–10 September 2015; pp. 1–7. [Google Scholar]
- Park, N.-J.; Lee, D.-Y.; Hyun, D.-S. Study on the new control scheme of class-E inverter for IH-jar application with clamped voltage characteristics using pulse frequency modulation. IET Electr. Power Appl. 2007, 1, 433–438. [Google Scholar] [CrossRef]
- Ogiwara, H.; Nakaoka, M. ZCS high frequency inverter using SIT for induction heating applications. IEE Electr. Power Appl. 2003, 150, 185–192. [Google Scholar] [CrossRef]
- Sugimura, H.; Tanimatsu, H.; Muraoka, H.; Nakaoka, M.; Lee, H.-W. Lossless inductive snubber-assisted soft switching PFM series resonant high frequency inverter for electromagnetic induction eddy current-heated fixing roller. In Proceedings of the International Power Electronics and Motion Control Conference (IPEMC), Xi’an, China, 14–16 August 2004; pp. 138–143. [Google Scholar]
- Kifune, H.; Hatanaka, Y. A method of power regulation applied to the high frequency inverter for the IH home appliances. In Proceedings of the European Conference on Power Electronics and Applications (EPE’07), Aalborg, Denmark, 5–9 September 2007; pp. 1–7. [Google Scholar]
- Saha, B.; Sugimura, H.; Mishima, T.; Sumiyoshi, S.; Omori, H.; Mun, S.P.; Nakaoka, M. Dual PWM controlled soft switching high frequency IH load resonant inverter with lossless snubbing capacitor and switched capacitor. In Proceedings of the International Conference on Electrical Machines and Systems (ICEMS), Tokyo, Japan, 15–18 November 2009; pp. 1–6. [Google Scholar]
- Sugimura, H.; Eid, A.M.; Lee, H.-W.; Nakaoka, M. A voltage-fed series load resonant high frequency inverter with ZCS-PDM scheme for induction-heated fusing roller and extended circuit topologies. In Proceedings of the IEE International Conference on Power Electronics, Machines and Drives (PEMD), Dublin, Ireland, 4–6 April 2006; pp. 146–151. [Google Scholar]
- Yonemori, H.; Kobayashi, M.; Suzuki, K. Temperature control of a double-coil drive type IH cooker by means of the PDM control provided with audio noise suppression. In Proceedings of the IEEE International Conference on Electronics, Circuits and Systems (ICECS), St. Julian’s, Malta, 31 August–3 September 2008; pp. 914–917. [Google Scholar]
- Zhu, H.; Wang, C.; Peng, Y.; Li, Y. The study of novel PDM-based Induction heating frequency tracking control. In Proceedings of the International Power Electronics and Motion Control Conference (IPEMC), Harbin, China, 2–5 June 2012; pp. 2893–2897. [Google Scholar]
- Esteve, V.; Jordán, J.; Sanchis-Kilders, E.; Dede, E.J.; Maset, E.; Ejea, J.B.; Ferreres, A. Enhanced pulse-density-modulated power control for high-frequency induction heating inverters. IEEE Trans. Ind. Electron. 2015, 62, 6905–6914. [Google Scholar] [CrossRef]
- Izaki, K.; Hirota, I.; Yamashita, H.; Omori, H.; Wang, S.P.; Jasni, M.; Nakaoka, M. Soft-switched PWM high-frequency load-resonant inverter for induction heating cooking appliance. In Proceedings of the IEEE International Conference on Power Electronics and Drive Systems (PEDS), Singapore, 26–29 May 1997; pp. 169–173. [Google Scholar]
- Hoshi, N.; Matsui, A. Improvement of power conversion efficiency of soft-switching inverter in range of low output power by adjustable dead time control. IEEJ Trans. Ind. Appl. 2011, 131, 679–684. (In Japanese) [Google Scholar] [CrossRef]
- Fujita, H.; Akagi, H. Pulse-density-modulated power control of a 4 kW, 450 kHz voltage-source inverter for induction melting applications. IEEE Trans. Ind. Appl. 1996, 32, 279–286. [Google Scholar] [CrossRef] [Green Version]
- Saha, B.; Lee, H.W.; Nakaoka, M. Series load resonant soft-switched PWM and PDM high frequency inverter using auxiliary active edge-resonant snubber. In Proceedings of the IEEE International Conference on Industrial Technology, Mumbai, India, 15–17 December 2006; pp. 288–293. [Google Scholar]
- Ahmed, N.A. High-frequency soft-switching AC conversion circuit with dual-mode PWM/PDM control strategy for high-power IH applications. IEEE Trans. Ind. Electron. 2011, 58, 1440–1448. [Google Scholar] [CrossRef]
- Shen, J.; Ma, H.; Yan, W.; Hui, J.; Wu, L. PDM and PSM hybrid power control of a series-resonant inverter for induction heating applications. In Proceedings of the IEEE Conference on Industrial Electronics and Applications (ICIEA), Singapore, 24–26 May 2006. [Google Scholar]
- Acero, J.; Lucía, O.; Carretero, C.; Lope, I.; Díez, C. Efficiency improvement of domestic induction appliances using variable inductor-load distance. In Proceedings of the Annual IEEE Applied Power Electronics Conference and Exposition (APEC), Orlando, FL, USA, 5–9 February 2012; pp. 2153–2158. [Google Scholar]
- Gao, Z.; Zhou, Y. Research on switching losses for induction heating power supply with LLC resonant load. In Proceedings of the International Conference on Electronic and Mechanical Engineering and Information Technology (EMEIT), Harbin, China, 12–14 August 2011; pp. 2474–2477. [Google Scholar]
- Yang, J.; Che, Y.; Ran, L.; Jiang, H. Evaluation of frequency and temperature dependence of power losses difference in parallel IGBTs. IEEE Access 2020, 8, 104074–104084. [Google Scholar] [CrossRef]













| Item | Symbol | Value |
|---|---|---|
| DC input voltage | Vin | 280 V |
| Resonant capacitor | Cr | 0.49 µF |
| Frequency of switching | f | 20 kHz |
| Frequency of PDM | f PDM | 400 Hz |
| Snubber inductor | LS1, LS2 | 12 μH |
| Heating coil self-inductance | L1 | 90 μH |
| IH load time constant | τ | 9.23 μs |
| Electromagnetic coefficient of coupling | k | 0.48 |
| IGBT (Mitsubishi: CT75AM-12) | IC | 75 A |
| VCE | 600 V |
| Item | IH Fixed Roller | Halogen Lamp Heater |
|---|---|---|
| Rise time to 185 °C | 27.9 s | 36.1 s |
| Idling mode power consumption | 52 Wh | 57 Wh |
Publisher’s Note: MDPI stays neutral with regard to jurisdictional claims in published maps and institutional affiliations. |
© 2022 by the authors. Licensee MDPI, Basel, Switzerland. This article is an open access article distributed under the terms and conditions of the Creative Commons Attribution (CC BY) license (https://creativecommons.org/licenses/by/4.0/).
Share and Cite
Ogura, K.; Chandhaket, S.; Kolhe, M.L.; Sakphrom, S.; Mekhilef, S. Simple Lossless Inductive Snubbers-Assisted Series Load Resonant Inverter Operating under ZCS-PDM Scheme for High-Frequency Induction Heating Fixed Roller. Appl. Sci. 2022, 12, 1122. https://doi.org/10.3390/app12031122
Ogura K, Chandhaket S, Kolhe ML, Sakphrom S, Mekhilef S. Simple Lossless Inductive Snubbers-Assisted Series Load Resonant Inverter Operating under ZCS-PDM Scheme for High-Frequency Induction Heating Fixed Roller. Applied Sciences. 2022; 12(3):1122. https://doi.org/10.3390/app12031122
Chicago/Turabian StyleOgura, Koki, Srawouth Chandhaket, Mohan Lal Kolhe, Siraporn Sakphrom, and Saad Mekhilef. 2022. "Simple Lossless Inductive Snubbers-Assisted Series Load Resonant Inverter Operating under ZCS-PDM Scheme for High-Frequency Induction Heating Fixed Roller" Applied Sciences 12, no. 3: 1122. https://doi.org/10.3390/app12031122
APA StyleOgura, K., Chandhaket, S., Kolhe, M. L., Sakphrom, S., & Mekhilef, S. (2022). Simple Lossless Inductive Snubbers-Assisted Series Load Resonant Inverter Operating under ZCS-PDM Scheme for High-Frequency Induction Heating Fixed Roller. Applied Sciences, 12(3), 1122. https://doi.org/10.3390/app12031122

