Next Article in Journal
A Cloud-Native Web Application for Assisted Metadata Generation and Retrieval: THESPIAN-NER
Previous Article in Journal
Computational Biology and Machine Learning Approaches Identify Rubber Tree (Hevea brasiliensis Muell. Arg.) Genome Encoded MicroRNAs Targeting Rubber Tree Virus 1
 
 
Font Type:
Arial Georgia Verdana
Font Size:
Aa Aa Aa
Line Spacing:
Column Width:
Background:
Article

Multi-Feature Behavior Relationship for Multi-Behavior Recommendation

Xi’an Research Institute of High Technology, Xi’an 710038, China
*
Author to whom correspondence should be addressed.
Appl. Sci. 2022, 12(24), 12909; https://doi.org/10.3390/app122412909
Submission received: 1 October 2022 / Revised: 21 November 2022 / Accepted: 22 November 2022 / Published: 15 December 2022

Abstract

:
Multi-behavior recommendation aims to model the interaction information of multiple behaviors to enhance the target behavior’s recommendation performance. Despite progress in recent research, it is challenging to represent users’ preferences using the multi-feature behavior information of user interactions. In this paper, we propose a Multi-Feature Behavior Relationship for Multi-Behavior Recommendation (MFBR) framework, which models the multi-behavior recommendation problem from both sequence structure and graph structure perspectives for user preference prediction of target behaviors. Specifically, the MFBR model is designed with a sequence encoder and a graph encoder to construct behavioral representations of different aspects of the user; the correlations between behaviors are modeled by a behavioral relationship encoding layer, and the importance of different behaviors is finally learned in order to construct the final representation of user preferences. Experimental validation conducted on two real-world recommendation datasets shows that our MFBR consistently outperforms state-of-the-art methods.

1. Introduction

Personalized recommendation systems are commonly utilized in many internet services, e.g., e-commerce and advertising systems [1]. They can efficiently handle the information overload problem. The fundamental goal is to fully reflect user preferences for items using data from user interactions. As shown in Figure 1, in practical recommendation scenarios, user interaction behaviors such as page view, add-to-cart, purchase, and add-to-favorites are often diverse. Each behavior reveals different contextual features, realizing multiple interaction modes between users and items. Multi-behavior recommendation is a comprehensive consideration of different behaviors to obtain a more comprehensive understanding of user preferences.
Many scholars have already explored and validated multi-behavior recommendations in practice [2,3,4]. In the early stage, Ajit et al. [5] used matrix decomposition techniques to mine users’ preferences from multiple types of interaction data. Recently, many researchers have proposed multi-behavior recommendation models based on graph neural networks to capture higher-order interaction information. For example, GNMR [6] is based on a graph messaging architecture shown to model user interaction heterogeneity. MBGCN [7] designs a unified graph structure to represent multi-behavior interactions. In addition, researchers have modeled sequential information in multi-behavior recommendations; for instance, MRIG [1] creates multi-relational behavior graphs for session-based recommendations. ATRank [8] models feature interactions between different behaviors using a self-attentive mechanism. Although the above models have performed well in modeling multi-behavior interaction features, the following challenges currently exist in modeling multi-behavior relationships:
Modeling with multi-feature behavior. Many current approaches utilize sequence-based or graph-based models to construct user interest representations, which cannot simultaneously model users’ preferences from multiple feature perspectives [9]. Potential item correlations within the sequence of user behavior interactions can reflect users’ behavior habits and interest evolution patterns. In addition, the user-item interaction graph composed of all user behaviors can reflect the overall interests of users. Therefore, complementing the above two modeling approaches and mining interaction information from multiple perspectives can more accurately represent user preferences.
Correlation between learning behaviors. A user may click on an item link or add a favorite item to the shopping cart, and the user’s interest in the item is reflected in these activities [1]. In addition, non-purchasing behaviors can reveal a user’s underlying interest, particularly with respect to brand-new items that the user has not purchased before. Learning the correlations between different behaviors can more accurately uncover a user’s potential interest and reduce the noise generated by accidental item purchases.
To address the above challenges, we present a framework for multi-behavior recommendation based on user multi-feature behavior relationships that jointly mines user preferences from multi-featured sequences and multi-featured heterogeneous graphs. Specifically, we first design a feature encoding layer which jointly models users’ multi-feature behaviors through sequence encoder and graph encoder to model users’ multi-feature interaction information. Then, we use an attention mechanism in the behavior relation encoder layer to learn the relationship between two behaviors in order to characterize the correlation between different behaviors. A fully connected neural network recognizes the significance of distinct behaviors and assigns weights to each one. The following are this paper’s main contributions:
  • This work focuses on capturing multi-feature behavior interaction patterns of users from their interaction behavior sequences and user–item interaction graphs for multi-behavior recommendation.
  • We propose a multi-behavior recommendation framework, MFBR, that learns higher-order behavioral interaction patterns on user–item multi-relationship graphs and captures sequence information among behaviors in multi-behavioral interaction sequences; our model MFBR is able to learn relationships among different behaviors at a fine-grained level.
  • Comparative experiments are conducted on two real public datasets and widely used state-of-the-art recommendation methods, and the results suggest that our MFBR model is effective.

2. Related Works

2.1. Sequential Recommendation

Sequential recommendation methods mine users’ interests by exploiting their sequential behaviors, with a focus on personal information. In recent years, a number of deep neural networks have been used to improve sequence-based recommendation algorithms. GRU4Rec [10] first introduced Recurrent Neural Networks into the work of sequence recommendation. Subsequently, models based on attention mechanisms have been proposed extensively [1,8,11,12]. SASRec [13] models the associations between historical items using the self-attention mechanism, and CoCoRec [14] models category-aware item-to-item transitions, using an attention mechanism to merge transition patterns for target users from retrieved users. Recently, researchers have proposed low-rank decomposition self-attention networks [12], which effectively alleviate the problems of over-parameterization and implicit positional encoding of the self-attention mechanism to model inaccurate inter-item order relations.

2.2. Graph Neural Network Recommendation

To forecast the potential interest of users, graph-based recommendation techniques commonly assemble interaction information into a user–item bipartite graph. Increasingly, graph neural networks play an important role in learning a variety of relational data [4,6,15,16,17]. For example, PUP [15] predicts users’ price-aware purchasing intention through a graph convolutional network-based architecture; the GHCF model [4] proposes a multi-task learning framework for modeling user preferences using a heterogeneous graph. CoCoRec [14] optimizes the embedding of users and items through graph convolutional networks to model context-aware recommender systems. DeGNN [18] improves the over-smoothing problem of existing graph convolutional models and employs a graph decomposition approach to enhance the performance of generic graph neural networks.

2.3. Multi-Behavior Recommendation

Related research work has shown that multi-behavior recommendations can effectively improve recommendation performance. Earlier work has modeled the multiple behaviors of users through collective matrix decomposition techniques [5]. Recent research on multi-behavior recommendations constructs users’ preferences through sequence-based or graph structure-based models [1,7]. For example, in order to jointly develop a user’s perception representation based on that user’s behavioural patterns sequences, MRIG [1] creates a target behavior graph and an auxiliary behavior graph. NMTR [19] models users’ multi-behavioral interaction data based on a multi-task learning framework and designs shared embedding layers for different types of interactions. DIPN [20] models different user interactions based on a hierarchical attention mechanism to predict the user’s purchase intention. The bottom attention layer models the internal relationship of each behavior sequence, and the top attention layer models the relationship between different behavioral sequences. MBGCN [7] learns behavior semantics by creating a user–item interaction graph through the user–item propagation and item–item propagation layers. In addition, other research works have combined meta-learning with external knowledge to model users’ multi-behavior interaction information [2]. GNMR [6] extracts heterogeneous relationships between users and items and captures heterogeneous collaboration signals from users’ multi-behavior data.

3. Preliminaries

In our recommendation scenario, we utilize U = { u 1 , , u i , , u I } and V = { v 1 , , v i , , v J } to represent the set of users and items, respectively, where I and J denote the number of users and items. We further define the key concepts in multi-behavior recommendations as follows.
Multi-Behavior Interaction Tensor,X. To model the user’s multi-behavior relations, we create a three-dimensional vector, X R I × J × K . The number of behavior categories is denoted by the letter K. Under the k-th behavioral interaction type, x i , j k = 1 if u i interacts with v j ; otherwise, x i , j k = 0 .
Multi-Behavior Interactive Sequence, S u . When considering a user u, we define its multi-behavior history sequence as S u = { s u 1 , s u 2 , , s u K } , where s u k is the item interaction sequence of user u under behavior k. We then have the item sequence s u k = { v 1 , v 2 , , v | s u k | } for each behavior.
Multi-Behavior User–Item Interaction Graph,G. We define a user–item multi-behavior relation graph as G = ( U , V , E ) , where U and V are user sets and item sets, respectively and E are the set of edges of multi-type interactions. When there is an interaction x i , j k = 1 between u i and v j under specific behavior k, there is an edge e i , j k in G.
Task Formulation. The interaction likelihood of user u i and item v j is predicted based on a given user multi-behavior sequence S u and the multi-behavior user–item interaction graph G under target behavior type k.

4. MFBR Model

In this section, we depict the model architecture of MFBR in Figure 2, which is composed of four components: an input layer, feature encoder layer, behavior relation encoder layer, and prediction layer. First, the feature encoder layer uses graph encoder and sequence encoder encoding to generate graph and sequence representations for each behavior type according to the input layer’s different data features. Second, the behavior relation layer represents user preferences by modeling the dependencies between different behaviors. Finally, the prediction layer calculates the similarity score between the user and item representations by taking the inner product of the final user representation and the item representation.

4.1. Input Layer

In the MFBR model, user preferences can be built more precisely by capturing interaction sequence and graph information seperately. As shown in Figure 1, The model’s input data consist of two types of interaction features; the user’s interaction behavior with all items is represented by a heterogeneous graph G, and the behavior sequence S u represents all of the user’s interactions, which are used as the input of the graph encoder and sequence encoder in the the feature encoder layer, respectively.

4.2. Feature Encoder Layer

Sequence Encoder. To fully mine the multi-behavior interaction information of the user, it is necessary to efficiently construct the dependencies within each behavior. The task of the Sequence Encoder is to generate a behavior representation vector u s , k for each sequence of behavior k. In [12], the authors show that low-rank factorized self-attention networks are able to model sequential relationships between items more accurately than self-attention networks. Therefore, we leverage this network to build a more precise representation of user interests.
Low-rank factorized self-attention networks work by projecting the things that a user interacts with onto a low minority of latent interests. Specifically, for each behavior sequence S u of the user u we can create an item embedding matrix E k R n × d as the input of the self-attention network, where d is the initial vector dimension. We convert E k to three matrices E Q = E k W Q , E K = E k W K and E V = E k W V by linear projection, where E Q , E K and E V R n × d , W Q , W K , and W V R d × d . Then, the matrices E K and E V are mapped to the latent interest matrices E ˜ K and E ˜ V by a function f, which is calculated as follows:
E ˜ K = f ( E K ) = ( s o f t max ( E K · M 1 T ) ) T · E K , E ˜ V = f ( E V ) = ( s o f t max ( E V · M 2 T ) ) T · E V
where E ˜ K E ˜ V R d × d are the latent interest matrix, M 1 M 2 R d × d is the learnable parameter matrix, and d is the dimension of the mapped vector. Considering that the self-attention mechanism cannot perceive temporal information, we employ decoupled positional coding to model the sequential relationship between things in order to capture the relationships between them, which can explicitly specify the sequential relationship [12]. Specifically, given a positional embedding vector P k R n × d , P Q = P k U Q and P K = P k U K are obtained by linear projection, where U Q , U K R d × d . Subsequently, the attention representation is constructed as follows:
S ˜ k = A ˜ i t e m · f ( E k W V ) + A ˜ p o s · E k W V A ˜ i t e m = softmax ( E Q · f ( E K ) T d ) A ˜ p o s = softmax ( P Q · ( P K ) T d )
where A ˜ i t e m , A ˜ p o s is the attention matrix. The method models item sequences independently from position sequences and can explicitly consider the sequential relationships for the purpose of decoupling position encoding. To enhance the expressiveness of attention embedding vectors, we stack multiple layers of networks. In addition, we utilize a feed-forward network at each attention layer to provide nonlinearity to the model. The sequence representation of the final obtained specific behavior is denoted as u s , k .
Graph Encoder. The user–item interactions can constitute a user–item heterogeneous graph, which contains information about the higher-order user–item behavioral interactions that in turn can reflect the overall preferences of the user. To characterize the user’s preferences, the graph encoder executes embedding propagation through the multi-behavior interaction graph G = ( U , V , E ) , encoding the higher-order relationships of user–item interactions. Specifically, a low-dimensional representation of the multi-behavior interaction vector X is constructed by pre-training initialization to obtain the user and item initial representation vectors h i 0 and h j 0 [21]. With a behavior type k and an edge on which the user interacts with the item, message propagation from layer l to layer l + 1 is defined as follows:
h i k , ( l + 1 ) = η ( { h j k , ( l ) , x i , j k = 1 } ) h j k , ( l + 1 ) = η ( { h i k , ( l ) : x i , j k = 1 } )
where h i k , ( l + 1 ) and h j k , ( l + 1 ) are the embedding representations passed to u i and v j , respectively, and η ( · ) is a function that considers contextual signals of a specific behavior type, defined as
η ( { h j k , ( l ) : x i , j k = 1 } ) = c = 1 C α c , k W 2 , c · j N ( i , k ) h j k , ( l ) α c , k = δ ( j N ( i , k ) W 1 · h j k , ( l ) + b 1 ) ( c )
where α c , k is the weight of the k-th behavior type learned from the c-th dimension, N ( i , k ) represents the item node that is adjacently connected to user u i under the interaction behavior k, W 1 R C × d , b 1 R C are learnable parameters, δ ( · ) is the activation function (ReLU), and α c , k and W 2 , c aggregate the embeddings of different dimensions under behavior k. Then, the propagation embedding of each layer is connected through the concatenation operation, and the behavior representation of each user under a specific behavior k is obtained as follows:
u g , k = c o n c a t ( h i 0 , h i k , 1 , , h i k , l )
Similar to the calculation of the user representation u g , k , the item representation v g , k is calculated using the above approach.

4.3. Behavior Relation Encoder Layer

There are dependencies between different interaction behaviors. In this section, in order to learn the user’s preference representation in a fine-grained way, we design an action relation encoding layer for mining the latent relationships between different actions. Specifically, in order to capture such information, after obtaining the user’s sequence representation u s , k and graph representation u g , k , a fully connected layer is adopted to combine the sequence representation and graph representation. The representation vector of each behavior k is constructed as follows:
u k = M L P ( u s , k , u g , k )
The different interactions have dependencies on each other and can assist in predicting the user’s preference information. Therefore, we introduce a multi-headed attention mechanism to learn the correlation information between different behaviors in order to construct a user’s preference representation in a fine-grained manner. Specifically, for behaviors k and k , the embedded representations of the two behaviors are projected through two transformation weight matrices. Then the correlation score β k , k s between the behavior embedding is calculated as follows:
u ˜ k = MH - Att ( u k ) = | | S s = 1 k = 1 K β k , k s · V s · u k β k , k s = exp β k , k s k = 1 K exp β k , k s ; β ¯ k , k s = ( Q s u k ) T ( K s u k ) d / S
where | | is a connection operation, S is the potential projection space for learning the dependencies between behaviors from different potential space, and Q s R s , K s R s , and V s R s represent the transformation matrices of the s-th ( s S ) projection space.
Then, the representation connecting the different learned subspaces is calculated by the following equation to update the embedding representation for each behavior:
u ^ k = u ˜ k u k
where ⊕ is the corresponding element summing operation and u ˜ k and u k are the original embedding representation and the updated embedding representation of the user, respectively. For the target behavior, different behaviors contribute to varying degrees. In this paper, we utilize a fully connected neural network to measure the weight of each behavior, then fuse the interests of different behaviors based on the outcomes to calculate the final representation of user preferences, which is calculated as follows:
γ k = w 2 T · δ ( W 3 u ^ k + b 2 ) + b 3 γ ^ k = exp γ k k = 1 K exp γ k
where γ k represents the intermediate value of the input softmax function used to generate the important weight γ ^ k , δ ( · ) represents the ReLU activation function, W 3 R d × d and w 2 R d are trainable transformation matrices, d is the hidden layer vector dimension, and b 2 and b 3 are bias vectors. After obtaining the weight of each behavior, the final representation of the user’s preference is calculated as follows:
u f i n a l = k = 1 K γ ^ k u ^ k
Similar to the user behavior representation fusion method, the item representation is calculated by the above formula.

4.4. Prediction Layer

Following the creation of conclusive representations for users and items, we use the inner product to calculate the likelihood of u i interacting with v j under the target behavior
P r i , j = u f i n a l T v j
where u f i n a l T is the transpose of the final representation of user u and ⊙ is the inner product operation. Our goal in model optimization is to minimize the pairwise marginal loss function
L = i = 1 I s = 1 S max ( 0 , 1 P r i , p s + P r i , n s ) + λ | | Θ | | F 2
where Θ indicates the set of trainable parameters and λ denotes the regularization coefficient. In addition, I denotes the number of users trained and S denotes the number of positive and negative sample pairs for each user.

5. Experimental Results and Evaluation

In this section, we examine the MFBR model’s performance on two publicly available datasets and make comparisons to current baseline models. The following questions were investigated:
  • How does the performance of MFBR compare with the baseline method?
  • How do multi-feature interaction data affect recommendation performance?
  • How does the outcome of the MFBR framework change as the parameters are changed?

5.1. Dataset Description and Evaluation Metrics

We used the Taobao and MovieLens datasets to evaluate the recommendation performance of the MFBR model. Table 1 shows the statistical information of the two datasets.
Taobao Data: This dataset is from Taobao, one of the largest e-commerce sites in China, and contains a total of 147,894 users and 99,037 items interaction records with four interaction behaviors: page view, favorite, add-to-cart, and purchase. In our experiments, the purchase behavior is set as the target behavior and the other behaviors are set as auxiliary behaviors.
MovieLens Data: This dataset is sourced from the MovieLens website and records interaction data for a total of 67,788 users and 8,704 items. In our experiments, the users’ ratings of items are discretized based on previous research work ( r a t i n g [ 1 , , 5 ] ) [6]: ( 1 ) r a t i n g 2 : d i s l i k e , ( 2 ) 2 < r a t i n g < 4 : n e u t r a l , ( 3 ) r a t i n g 4 : l i k e . In this dataset, ”like” is set as the target behavior and the rest of the behaviors are set as auxiliary behaviors.
Evaluation Metrics: To evaluate the success of the recommendation model, we use the Hit Ratio(HR@N) and the Normalized Discounted Cumulative Gain (NDCG@N) as indicators. The higher HR and NDCG ratings indicate more precise recommendation outcomes.

5.2. Comparative Methods

We evaluated the MFBR model using the following baseline methods to verify the model’s performance:
  • NGCF [22]: Based on latent representation graphs that construct users and items across user–item interaction graph structures.
  • DIPN [20]: This method uses an attention mechanism and a recurrent network to aggregate signals of user browsing and purchasing behavior.
  • NMTR [19]: This method is a multi-task learning framework to investigate the correlation between various types of interaction behaviors using a shared embedding layer.
  • MBGCN [7]: A graph-based multi-behavior recommendation model that includes user–item and item–item propagation to incorporate multi-behavior data.
  • MB-GMN [2]: This method includes a meta-learning paradigm to model user behavior heterogeneity and interaction diversity.
  • GNMR [6]: This method captures type-aware behavioral collaboration signals through a user–item multi-behavior interaction graph for multi-behavior recommendation.

5.3. Parameter Settings

We used TensorFlow to implement the proposed MFBR model and the Adam optimizer to optimize the model during the training phase. The training batch size was selected from {32, 64, 128, 256}, and the learning rate was set to {1 × 10 4 , 2 × 10 4 , 3 × 10 4 }. The regularization weight λ , which is applied to alleviate overfitting issues, was chosen with the range of {0.05, 0.005, 0.0005}. The embedding dimension d was set from the range of {4, 8, 16, 32} and set by default to 16. The amount of message propagation layers L was set in the range of {0, 1, 2, 3}, and the low-rank decomposition dimension d was set within the range of {2, 4, 8, 16}.

5.4. Overall Comparison (RQ1)

Table 2 reports the analysis of the performance comparison results for MFBR, while the results for other approaches are shown in Table 2. Based on these results, we can reach the following conclusions.
First, in terms of HR@10 and NDCG@10, MFBR outperformed all baseline methods on both datasets. For example, on the Taobao dataset, compared with MB-GMN, the performance indicators HR@10 and NDCG@10 were improved by 4.52% and 6%, respectively, for MFBR. On the ML-10M dataset, compared with MBGCN, the MFBR performance indicators HR@10 and NDCG@10 improved by 3.37% and 2.71%, respectively. This performance improvement could be attributed to the sequence encoder and the graph encoder simultaneously capturing user preferences from two aspects and modeling the dependencies between different behaviors. GNMR is based on graph neural networks that capture implicit behavioral dependencies automatically. At the same time, MFBR combines data features from both sequence and graph aspects to jointly capture multi-behavioral interaction patterns. The performance gap with the state-of-the-art models proves that incorporating multi-interaction features into the recommendation model can adequately model user interest representations.

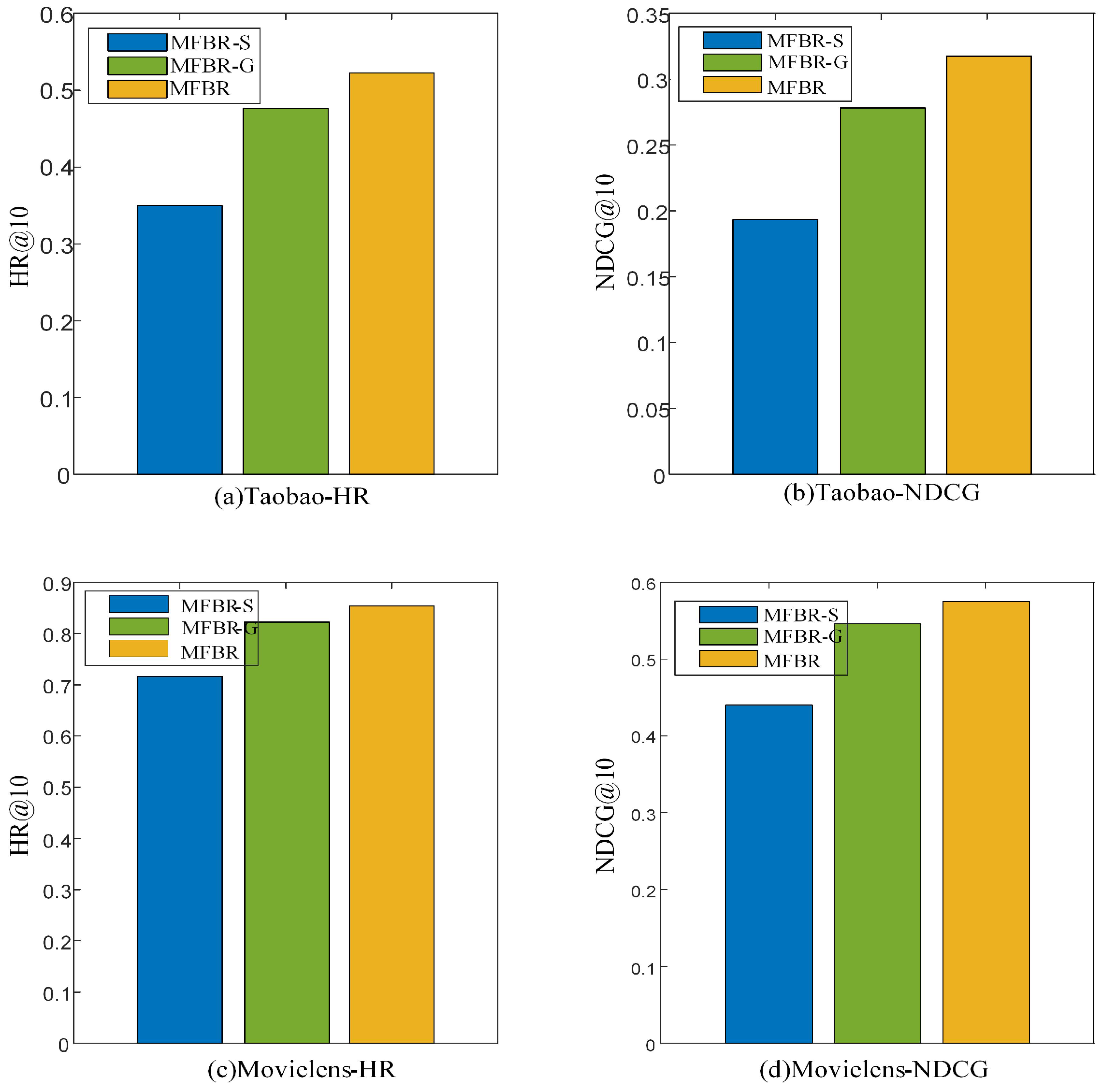
5.5. Component Ablation Evaluation (RQ2)

In this subsection, we discuss the influence of the MFBR modules on the model’s recommended performance, including two MFBR variants:
  • MFBR-S: In comparison to MFBR, MFBR-S eliminates the modeling portion of each behavior sequence and instead focuses on training the user’s preference for suggestion via a user–item multi-behavior heterogeneous graph.
  • MFBR-G: Compared with MFBR, MFBR-G removes the user–item heterogeneous graph used to forecast the user’s behavior and only understands the user’s intention by mining each user’s behavior sequence information for recommendations.
As shown in Figure 3, compared with MFBR, MFBR-S and MFBR-G have different degrees of degradation in recommendation performance on both datasets, which shows that the design of each submodule in MFBR is reasonable and effective. The performance gap between the two variants (MFBR-S and MFBR-G) and MFBR shows that learning different interaction data features of users and items separately in order to mine user preferences from them can effectively improve recommendation performance.

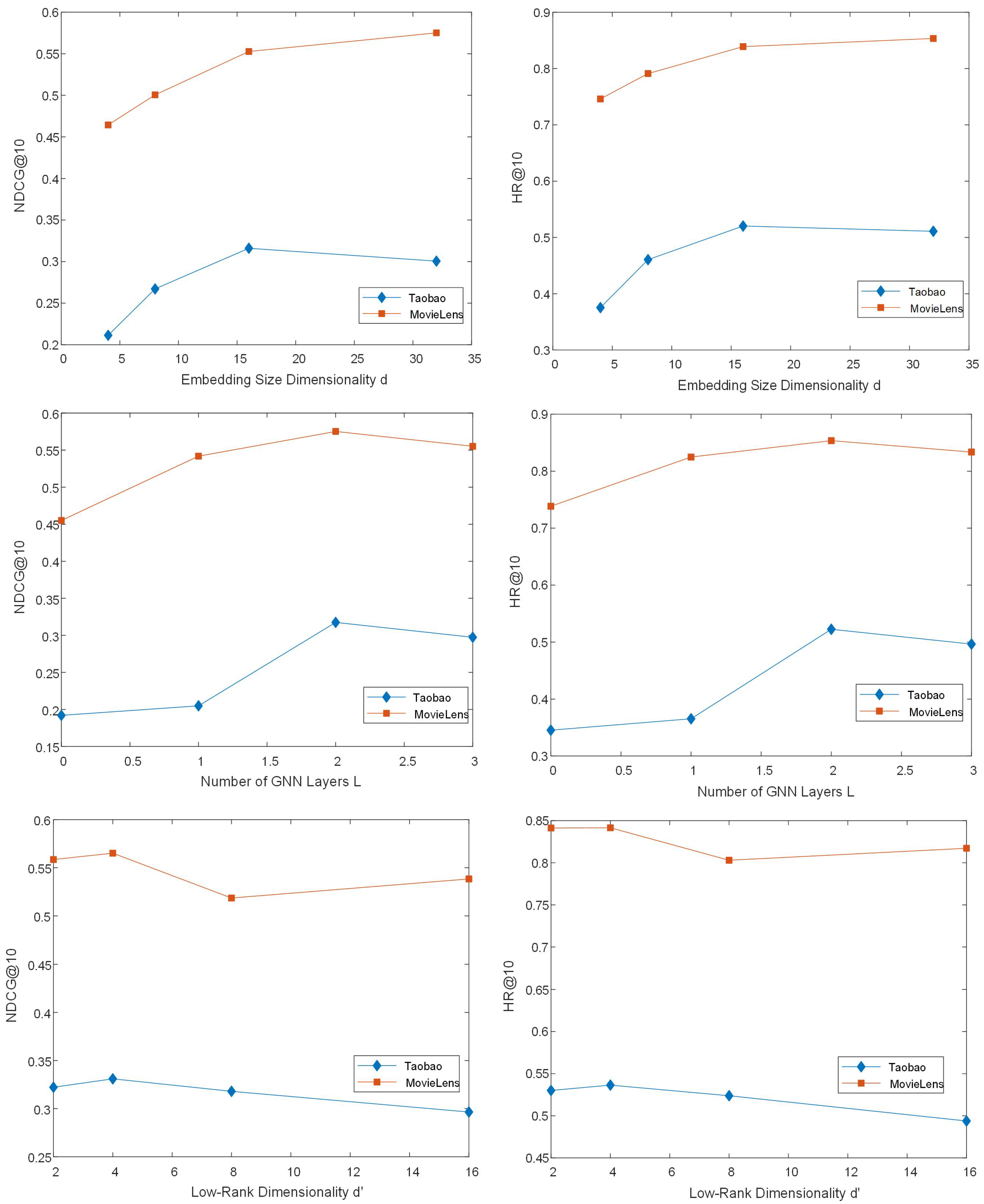
5.6. Hyperparameter Study (RQ3)

To investigate the impact of various parameter settings on experimental outcomes, we selected the key hyperparameters in MFBR and studied their recommendation performance under different values. We show the results in Figure 4; the results can be summarized as follows.
  • Embedding Dimensionality, d. The latent dimensionality d is searched from 4 to 32. It can be seen that the performance of the model gradually improves as the dimension increases from 4 to 16. This is because as the dimension increases, the model can capture more interaction potentials, and therefore the performance gradually improves. However, the performance of the model does not necessarily improve when the dimensionality is further increased, as shown by the fact that the performance on the MovieLens dataset is further increased when the dimensionality is 32, while the performance on the Taobao dataset decreases instead. This may be due to the overfitting phenomenon due to high dimensionality, which causes the recommendation performance to decrease with increasing dimensionality.
  • Layer of Graph Neural Network, L. The user–item multi-relationship graph is used to capture the higher-order user–item interaction information and learn the relationships between different behaviors in order to construct a more fine-grained representation of user preferences. In our experiments, the number of propagation layers of the graph structure was set to 0, 1, 2, 3. It can be observed that the recommendation performance of MFBR when the number of propagation layers is 1 or 2 far exceeds the performance at layer 0, and the best performance is achieved at layer 2. This illustrates that increasing the number of propagation layers appropriately can better encode the high-value information of user–item interactions. However, when the number of propagation layers is increased to 3, the performance decreases on both datasets. This illustrates that when the number of propagation layers is too high, noise may be introduced, leading to a degradation in the performance of the model.
  • Low-rank Decomposition Dimension, d . In this component of MFBR, we design a low-rank decomposition self-attentive network to learn the sequential patterns of user behavioral interactions in order to capture the sequential information between interactions. From the evaluation results, it can be seen that the configuration of d = 4 yields the better recommendation quality. The recommendation performance of the model decreases when the low-rank decomposition dimension is further increased. This experimental result demonstrates that our designed low-rank decomposition scheme is reasonable and effective in reducing computational complexity and improving the robustness of the model.

6. Conclusions

In this paper, we focus on the multi-behavioral recommendation problem and address two challenges facing existing multi-behavioral recommendation models, namely, learning the multi-featured behavioral relationships of users and learning the correlation information between different behaviors. In order to effectively model the multi-behavioral interaction information of users and items for more accurate construction of user preference representations, we propose MFBR, a multi-behavioral recommendation model based on multi-featured behavioral relationships, which combines graph neural network and a low-rank decomposition attention mechanism to model multi-type user interaction data features in user–item bipartite graphs and user multi-behavioral sequences, respectively. The user’s interests are jointly mined from both perspectives in order to model user preferences more comprehensively. Second, the multi-headed attention mechanism learns the dependencies between different behaviors and enhances the multi-behavior representation of users, while the fully connected layer evaluates the meaning of various behaviors and builds the final representation of user preferences. Finally, the prediction layer calculates users’ ratings of candidate items and generates a list of user recommendations. Extensive studies on two real datasets show that MFBR outperforms other state-of-the-art recommendation algorithms. In future research, we plan to study the attribute information of users and items in order to better understand the specific preferences of users and obtain more credible recommendation results.

Author Contributions

Conceptualization, Z.Z.; methodology, Z.Z.; software, Z.Z.; validation, Z.Z., D.S.; formal analysis, Z.Z.; data curation, X.M.; writing—original draft preparation, Z.Z.; writing—review and editing, X.M., Z.Z, D.S. and B.Z.; visualization, Z.Z. and B.Z.; project administration, Z.Z. All authors have read and agreed to the published version of the manuscript.

Funding

This research received no external funding.

Institutional Review Board Statement

Not applicable.

Informed Consent Statement

Not applicable.

Data Availability Statement

Not applicable.

Conflicts of Interest

The authors declare no conflict of interest.

References

  1. Wang, W.; Zhang, W.; Liu, S.; Liu, Q.; Zhang, B.; Lin, L.; Zha, H. Beyond clicks: Modeling multi-relational item graph for session-based target behavior prediction. In Proceedings of the Web Conference 2020, Taipei, China, 20–24 April 2020; pp. 3056–3062. [Google Scholar]
  2. Xia, L.; Xu, Y.; Huang, C.; Dai, P.; Bo, L. Graph meta network for multi-behavior recommendation. In Proceedings of the 44th International ACM SIGIR Conference on Research and Development in Information Retrieval, Virtual Event, 11–15 July 2021; pp. 757–766. [Google Scholar]
  3. Xi, D.; Chen, Z.; Yan, P.; Zhang, Y.; Zhu, Y.; Zhuang, F.; Chen, Y. Modeling the sequential dependence among audience multi-step conversions with multi-task learning in targeted display advertising. In Proceedings of the 27th ACM SIGKDD Conference on Knowledge Discovery & Data Mining, Singapore, 14–18 August 2021; pp. 3745–3755. [Google Scholar]
  4. Chen, C.; Ma, W.; Zhang, M.; Wang, Z.; He, X.; Wang, C.; Liu, Y.; Ma, S. Graph Heterogeneous Multi-Relational Recommendation. Proc. AAAI Conf. Artif. Intell. 2021, 35, 3958–3966. [Google Scholar] [CrossRef]
  5. Singh, A.P.; Gordon, G.J. Relational learning via collective matrix factorization. In Proceedings of the 14th ACM SIGKDD International Conference on Knowledge Discovery and Data Mining, Las Vegas, NV, USA, 24–27 August 2008; pp. 650–658. [Google Scholar]
  6. Xia, L.; Huang, C.; Xu, Y.; Dai, P.; Lu, M.; Bo, L. Multi-Behavior Enhanced Recommendation with Cross-Interaction Collaborative Relation Modeling. In Proceedings of the 2021 IEEE 37th International Conference on Data Engineering, Chania, Greece, 19–22 April 2021; pp. 1931–1936. [Google Scholar]
  7. Jin, B.; Gao, C.; He, X.; Jin, D.; Li, Y. Multi-behavior recommendation with graph convolutional networks. In Proceedings of the 43rd International ACM SIGIR Conference on Research and Development in Information Retrieval, New York, NY, USA, 25–30 July 2020; pp. 659–668. [Google Scholar]
  8. Zhou, C.; Bai, J.; Song, J.; Liu, X.; Zhao, Z.; Chen, X.; Gao, J. Atrank: An attention-based user behavior modeling framework for recommendation. In Proceedings of the Thirty-Second AAAI Conference on Artificial Intelligence, New Orleans, LA, USA, 2–7 February 2021. [Google Scholar]
  9. Wu, Y.; Xie, R.; Zhu, Y.; Ao, X.; Chen, X.; Zhang, X.; Zhuang, F.; Lin, L.; He, Q. Multi-view Multi-behavior Contrastive Learning in Recommendation. In Proceedings of the International Conference on Database Systems for Advanced Applications, Taipei, Taiwan, 11–14 April 2022; pp. 166–182. [Google Scholar] [CrossRef]
  10. Hidasi, B.; Karatzoglou, A.; Baltrunas, L.; Tikk, D. Session-based recommendations with recurrent neural networks. arXiv 2016, arXiv:1511.06939. [Google Scholar]
  11. He, Z.; Zhao, H.; Lin, Z.; Wang, Z.; Kale, A.; Mcauley, J. Locker: Locally Constrained Self-Attentive Sequential Recommendation. In Proceedings of the 30th ACM International Conference on Information & Knowledge Management, Queensland, Australia, 1–5 November 2021; pp. 3088–3092. [Google Scholar]
  12. Fan, X.; Liu, Z.; Lian, J.; Zhao, W.X.; Xie, X.; Wen, J.R. Lighter and better: Low-rank decomposed self-attention networks for next-item recommendation. In Proceedings of the 44th International ACM SIGIR Conference on Research and Development in Information Retrieval, Virtual Event, 11–15 July 2021; pp. 1733–1737. [Google Scholar]
  13. Kang, W.C.; McAuley, J. Self-attentive sequential recommendation. In Proceedings of the 2018 IEEE International Conference on Data Mining, Singapore, 17–20 November 2018; pp. 197–206. [Google Scholar]
  14. Cai, R.; Wu, J.; San, A.; Wang, C.; Wang, H. Category-aware collaborative sequential recommendation. In Proceedings of the 44th International ACM SIGIR Conference on Research and Development in Information Retrieval, Virtual Event, 11–15 July 2021; pp. 388–397. [Google Scholar]
  15. Zheng, Y.; Gao, C.; He, X.; Li, Y.; Jin, D. Price-aware recommendation with graph convolutional networks. In Proceedings of the 2020 IEEE 36th International Conference on Data Engineering, Dallas, TX, USA, 20–24 April 2020; pp. 133–144. [Google Scholar]
  16. Yin, L.; Lu, J.; Zheng, G.; Chen, H.; Deng, W. Recommendation Algorithm for Multi-Task Learning with Directed Graph Convolutional Networks. Appl. Sci. 2022, 12, 8956. [Google Scholar] [CrossRef]
  17. Wu, J.; He, X.; Wang, X.; Wang, Q.; Chen, W.; Lian, J.; Xie, X. Graph convolution machine for context-aware recommender system. Front. Comput. Sci. 2022, 16, 166614. [Google Scholar] [CrossRef]
  18. Miao, X.; Gürel, N.M.; Zhang, W.; Han, Z.; Li, B.; Min, W. Degnn: Improving graph neural networks with graph decomposition. In Proceedings of the 27th ACM SIGKDD Conference on Knowledge Discovery & Data Mining, Singapore, 14–18 August 2021; pp. 1223–1233. [Google Scholar]
  19. Gao, C.; He, X.; Gan, D.; Chen, X.; Feng, F.; Li, Y. Neural multi-task recommendation from multi-behavior data. In Proceedings of the 2019 IEEE 35th international conference on data engineering, Macao, China, 8–11 April 2019; pp. 1554–1557. [Google Scholar]
  20. Guo, L.; Hua, L.; Jia, R.; Zhao, B.; Wang, X.; Cui, B. Buying or browsing? Predicting real-time purchasing intent using attention-based deep network with multiple behavior. In Proceedings of the 25th ACM SIGKDD International Conference on Knowledge Discovery & Data Mining, Anchorage, AK, USA, 4–8 August 2019; pp. 1984–1992. [Google Scholar]
  21. Sedhain, S.; Menon, A.K.; Sanner, S.; Xie, L. Autorec: Autoencoders meet collaborative filtering. In Proceedings of the 24th international conference on World Wide Web, Florence, Italy, 18–22 May 2015; pp. 111–112. [Google Scholar]
  22. Wang, X.; He, X.; Wang, M.; Feng, F.; Chua, T.S. Neural graph collaborative filtering. In Proceedings of the 42nd international ACM SIGIR conference on Research and development in Information Retrieval, Paris, France, 21–25 July 2019; pp. 165–174. [Google Scholar]
Figure 1. Multi-behavior interactions.
Figure 1. Multi-behavior interactions.
Applsci 12 12909 g001
Figure 2. Model architecture of MFBR.
Figure 2. Model architecture of MFBR.
Applsci 12 12909 g002
Figure 3. Case study on the MFBR model.
Figure 3. Case study on the MFBR model.
Applsci 12 12909 g003
Figure 4. Hyperparameter study on the explainability of MFBR.
Figure 4. Hyperparameter study on the explainability of MFBR.
Applsci 12 12909 g004
Table 1. Statictics for Taobao and MovieLens.
Table 1. Statictics for Taobao and MovieLens.
ine DatasetUserItemInteractionInteractive Behavior Type
ine MovieLens67,78887049.9 × 10 6 {Dislike,Neutral,Like}
Taobao147,89499,0377.6 × 10 6 {Page View,Favorite,Cart,Purchase}
ine
Table 2. Performance comparison.
Table 2. Performance comparison.
ModelMovieLens DataTaobao Data
HR@10NDCG@10HR@10NDCG@10
ine NGCF0.7900.5080.3020.185
DIPN0.7910.5000.3170.178
NMTR0.8080.5310.3320.179
MBGCN0.8260.5530.3690.222
MB-GMN0.8020.5040.4910.300
GNMR0.8230.5460.4730.288
MFBR0.8530.5680.5230.318
Publisher’s Note: MDPI stays neutral with regard to jurisdictional claims in published maps and institutional affiliations.

Share and Cite

MDPI and ACS Style

Mu, X.; Zeng, Z.; Shen, D.; Zhang, B. Multi-Feature Behavior Relationship for Multi-Behavior Recommendation. Appl. Sci. 2022, 12, 12909. https://doi.org/10.3390/app122412909

AMA Style

Mu X, Zeng Z, Shen D, Zhang B. Multi-Feature Behavior Relationship for Multi-Behavior Recommendation. Applied Sciences. 2022; 12(24):12909. https://doi.org/10.3390/app122412909

Chicago/Turabian Style

Mu, Xiaodong, Zhaoju Zeng, Danyao Shen, and Bo Zhang. 2022. "Multi-Feature Behavior Relationship for Multi-Behavior Recommendation" Applied Sciences 12, no. 24: 12909. https://doi.org/10.3390/app122412909

APA Style

Mu, X., Zeng, Z., Shen, D., & Zhang, B. (2022). Multi-Feature Behavior Relationship for Multi-Behavior Recommendation. Applied Sciences, 12(24), 12909. https://doi.org/10.3390/app122412909

Note that from the first issue of 2016, this journal uses article numbers instead of page numbers. See further details here.

Article Metrics

Back to TopTop