Next Article in Journal
Development of Polyamide 6 (PA6)/Polycaprolactone (PCL) Thermoplastic Self-Healing Polymer Blends for Multifunctional Structural Composites
Next Article in Special Issue
Clustering-Based Segmented Regression for Particulate Matter Sensor Calibration
Previous Article in Journal
Mutual Coupling Effect and Reduction Method with Modified Electromagnetic Band Gap in UWB MIMO Antenna
Previous Article in Special Issue
A Fast Calibration Method for Sensors of Atmospheric Detection System
 
 
Font Type:
Arial Georgia Verdana
Font Size:
Aa Aa Aa
Line Spacing:
Column Width:
Background:
Article

Design and Optimization of Interdigital Capacitive Humidity Sensor with Highly Sensitive and Dynamic Response Time

1
Research Institute for Frontier Science, Beihang University, Beijing 100191, China
2
School of Instrumentation and Optoelectronic Engineering, Beihang University, Beijing 100191, China
3
Advanced Research Institute of Multidisciplinary Sciences, Beijing Institute of Technology, Beijing 100081, China
4
Yangtze Delta Region Academy, Beijing Institute of Technology, Jiaxing 314000, China
5
MIIT Key Laboratory of Complex-Field Intelligent Exploration, Beijing Institute of Technology, Beijing 100081, China
6
Innovation & Research Institute of HIWING Technology Academy, Beijing 100074, China
*
Author to whom correspondence should be addressed.
These authors contributed equally to this work.
Appl. Sci. 2022, 12(23), 12362; https://doi.org/10.3390/app122312362
Submission received: 17 October 2022 / Revised: 21 November 2022 / Accepted: 30 November 2022 / Published: 2 December 2022
(This article belongs to the Special Issue Information Fusion and Its Applications for Smart Sensing)

Abstract

Humidity sensors are widely used in various fields of life. In meteorological detection, the sensor must have high sensitivity and fast dynamic response time due to extreme environmental interference. However, the sensitive mechanism of the humidity sensor determines that the dynamic response time will inevitably be increased while improving the sensitivity, which undoubtedly creates difficulties for sensor design. This article takes the interdigitated capacitive humidity sensor as the research object and proposes an optimal design scheme for the sensor that considers high dynamic response time and sensitivity. By constructing the sensor’s theoretical mathematical model, the influence of each structure is analyzed. The theoretical model has been verified by finite element simulation to have an accuracy higher than 95%. The article constructs the sensor optimization objective equation based on this model. Through analysis, within the range of structural parameters set in the article, to improve the sensitivity and reduce the dynamic response time of the sensor, the width and spacing of the interdigital electrodes should have a minimum value of 3 μm and a maximum value of 14 μm, respectively. The thickness of the electrode layer and the moisture-sensitive layer should be flexibly adjusted according to the application to ensure the lowest value of the optimization objective function. To further improve the sensor’s performance, the article optimizes the electrode structure and heating strategy of the sensor heating layer, which not only enhances the uniformity of heat transfer but also increases the optimal heat transfer area by 6% compared with the traditional scheme.

1. Introduction

Bad weather such as typhoons, blizzards, and freezing rain will bring huge disasters to human beings. It is of great significance to study its genesis and evolution mechanism. In the early warning observation of typhoon disasters, every 1 km of typhoon track forecast error can reduce losses by USD 20 million, and every 1 m/s reduction in intensity forecast error can reduce losses by USD 100 million [1,2]. The refined detection of severe weather in the inner core area is an important means to predict its intensity and development trend [3,4]. As a key parameter to determine the duration of a typhoon, high-performance measurement of humidity in the inner core region is particularly important [5,6].
The internal environment of severe weather is complex, with wind speeds as high as 50 m/s, and temperature and air pressure as low as −90 °C and 10 hPa [7,8,9,10]. On the one hand, freezing temperatures and sudden changes in air pressure will cause the sensor to condense and repeatedly freeze [11], adding massive interference to the sensor measurement. We urgently need to improve the sensitivity of the sensor to detect weak changes in the sensor in extreme environments and reduce measurement errors. On the other hand, extremely high wind speeds and drastic changes in the background also put high requirements on the dynamic performance of the sensor [12,13,14]. The state of the environment is constantly changing, and we need sensors that can respond in real-time to sudden changes in the background to obtain all the conditions of the environment and ensure the comprehensiveness of detection. Therefore, it is essential to simultaneously improve sensors’ static sensitivity and dynamic response performance in complex environments.
Humidity sensors mainly include capacitive [15,16], resistive [17], piezoresistive [18,19], resonant [20], and fiber-optic [21,22] components. As the main research object and commercial product [23,24,25,26,27], the capacitive humidity sensor has the advantages of high sensitivity, fast response speed, good product interchangeability, and easy integration. In the humidity measurement process of capacitive sensors, the adsorption of water molecules by the humidity sensitive medium will cause the dielectric constant to change and thus the capacitance value to change. Capacitive structures of sensitive sensing units include sandwich type [28] and interdigital type [29]. The two electrodes of the sandwich capacitor are facing each other, and the moisture-sensitive film is located between the electrodes, which has high sensitivity and slow dynamic response. The electrodes of the interdigital capacitor are in the same plane, and the surface of the electrode is covered with a moisture-sensitive film, which has low sensitivity and a fast dynamic response.
To improve the sensitivity and dynamic response performance of humidity sensors in extreme environments, researchers have made a lot of technical research. In 2014, Luo designed a sandwich capacitive humidity sensor with a heater, which solved the sensor condensation problem by heating. At the same time, the measurement circuit is designed according to the characteristics of the humidity sensor and ground experiments, and the results show that the humidity sensitivity is about 2.3 pF / % RH [30]. In 2016, Keyvan proposed an interdigitated humidity sensor that uses ZnO nanorods to make a moisture-sensitive film and found that the thinning of the spacing of ZnO nanorods will reduce the density of the moisture-sensitive film and speed up the response speed [31]. In 2017, Zhou studied a sandwich capacitive humidity sensor with a grid-shaped top plate. The numerical results show that the response time of the microhole upper electrode sensor is 86% better than that of the grid upper electrode sensor. The response time of the humidity sensor can be improved by reducing the hole spacing, increasing the aperture, reducing film thickness, and reasonably enlarging the porosity of the film [32]. In 2018, Liang realized a capacitive humidity sensor with a moisture-sensitive film thickness of 1.5 μm and 3.0 μm. The experimental comparison found that the sensor’s response time with a thickness of 1.5 μm was shorter than 3.0 μm, shortened from 35 s to 5 s. Still, the sensitivity was reduced from 299.9 pF/% RH to 178.6 pF / % RH [33]. In 2019, Wu proposed a two-step method to optimize the layout of traditional serpentine film heaters. The substrate area within 96.4% temperature uniformity increases by more than five times compared to the conventional serpentine heater. The optimized serpentine heater realizes a coverage ratio as high as 86.64% on a rectangular membrane [34].
It can be seen from the above studies that most of the current work starts with heating the sensor and changing the structure of the sensor unit to improve the performance of the sensor in complex environments. However, for capacitive humidity sensors, it is contradictory to improve sensor sensitivity and dynamic response time simultaneously. According to the sensor’s moisture-sensing principle, increasing the sensor’s moisture-sensing area by changing the structure of the sensor unit and the moisture-sensing layer will significantly increase the fundamental capacitance value of the sensor and amplify the sensor’s signal to be measured. Nevertheless, the time for water molecules to travel in the moisture-sensitive material is correspondingly increased. Although the sensor’s sensitivity is improved, its dynamic response time is reduced. Likewise, by lowering the moisture-sensitive area of the sensor, the opposite effect occurs. This motivates research on optimizing the sensor structure design while considering the sensitivity and dynamic response performance. In addition, in the research work on heating the humidity-sensitive structure, although the temperature rise significantly improves the sensor performance, the heating area is small, and the heat transfer is not uniform, which affects the high-performance humidity measurement.
Given the above problems, this paper takes the interdigital capacitive humidity sensor with better dynamic performance as the research object. On the one hand, based on the conformal mapping method [35] and Fick’s second diffusion law [36], the sensitivity and dynamic response theoretical model of the humidity sensor is established. The key structural parameters that affect the performance of the sensor are identified, and the accuracy of the theoretical model is verified through simulation modeling. On the other hand, an objective function that takes into account the sensitivity and dynamic response performance of the sensor is constructed, and the optimized design of the sensor structure is realized by using a PSO (Particle Swarm Optimization) algorithm [37]. At the same time, a new sensor heating-electrode structure is designed, which significantly increases the electrode heating area and heat transfer uniformity, and further improves the sensor sensitivity and dynamic response performance. The main contributions of this paper are as follows:
  • Construct a sensitivity and dynamic response theoretical mathematical model of the interdigital capacitive humidity sensor, which obtains the interaction relationship between the sensor performance and various structural parameters;
  • Optimize the key structural parameters of the sensor while taking into account the sensitivity and dynamic response performance;
  • Design the sensor heating electrode structure and heating strategy to significantly increase the heating area and uniformity while effectively reducing system power consumption.
The rest of this paper is organized as follows. Mathematical Modeling is presented in Section 2. Section 3 describes the Optimizing Analysis Methods proposed in this paper. The last two parts, Section 4 and Section 5, are evaluation and conclusions, respectively.

2. Mathematical Modeling

2.1. Static Sensitivity Modeling

The relationship between sensor structure and performance can be well analyzed by theoretical modeling. Figure 1a shows the basic structure of the interdigital capacitive humidity sensor. A pair of interdigitated electrodes cross each other to form an electrode layer, with the moisture-sensitive layer evenly covering the surface of the electrode layer. To eliminate extreme environmental influences, a heating layer is placed between the electrode layer and the substrate layer. When the relative humidity of the environment changes, the dielectric constant of the moisture-sensitive layer will change, and the electric field of the sensor will also change accordingly, as shown in Figure 1b. The relative humidity of the environment can be calculated by detecting the change in the capacitance value of the sensor. Figure 1c demonstrates several key structural parameters of the sensor. Wherein, the length and width of the interdigitated structure are represented by L and b, respectively, and the distance between two interdigitated fingers is represented by a. The thickness of the moisture-sensitive layer, the thickness of the electrode, and the thickness of the substrate layer are represented by h 1 , h 2 , and h 3 , respectively.
Since the capacitance value of a pair of interdigitated structures is very small, multiple pairs of interdigitated structures are often connected in parallel to expand the basic capacitance value of the sensor. In the process of modeling the electric field of the sensor, to simplify the description of the problem, only the electric field of a pair of interdigitated structures is considered first, and other complicate structures are calculated as the parallel connection of capacitances. Considering the complex and changeable interdigital structure, a pair of electrodes is often on different planes during processing. To comprehensively analyze various situations, we choose the conformal mapping method to model the irregular and complex electrode structure. The cross-sectional structure of a pair of interdigitated electrodes in the z-plane is shown in Figure 1d. The angle between a pair of electrode plates AB and CD is ϕ , and the length is half of the side length l 1 = l 2 = b / 2 . The extension line of the plate intersects at point O, and the distance from point O to point A and point C is half the distance between the capacitors r 1 = r 2 = a / 2 . Sufficiently longitudinal dimensions of the electrodes ensure that the problem can be viewed as a two-dimensional structure in cross-section.
The interdigital structure of the sensor is complex, and it is very complicated to solve it directly on the Z plane. In order to simplify it to a simple parallel plate structure, we transform the Z plane to the W plane of the uniform field region with a simple rectangular boundary by means of coordinate transformation. The mapping from the Z plane to the W plane can be expressed as:
w = I 0 t d t t t z A t t z B t t z C t t z D + J t z = 2 z π / φ + a 2 2 + h i 2 + b 2 π / φ a 2 + b 2 π / φ 2 a 2 + b 2 π / φ
where h i is the thickness of the electrode material of the i-th layer ( i = 1 , 2 , 3 , ). I and J are constants related to the correspondence between planes. Points A, B, C, and D can be represented in the Z coordinate system as z A = r 1 + l 1 e j φ , z B = r 1 e j φ , z C = r 2 e j 0 , and z D = r 2 + l 2 e j 0 .
The capacitance per unit length of the sensor can be expressed as:
C = ε ε 0 K ( k ) K ( k )
where K ( k ) = K ( k ) , k = 1 k 2 . K ( k ) is a complete elliptic integral of the first kind, K ( k ) = 0 π 2 d θ 1 h sin 2 θ .
The cross-sectional view of the interdigital capacitive humidity sensor is shown in Figure 1b. The thicknesses h 1 , h 2 , and h 3 of the humidity-sensitive layer, the electrode layer, and the substrate layer correspond to the dielectric constants ε 1 , ε 2 , and ε 3 , respectively. The number of fingers in the interdigital capacitive humidity sensor is N and the length is L. The capacitance expression of the interdigital capacitance is:
C = N L ε 0 K k 0 K k 0 + ε 0 ε 1 1 K k 1 i n K k 1 i n + ε 0 ε 2 1 K k 2 o u t K k 2 o u t + ε 0 ε 3 ε 2 K k 3 o u t K k 3 o u t
where k i n and k o u t are the coefficients inside and outside the electrode, respectively.
k in = 2 a 2 2 + h i 2 β 2 φ a 2 + b 2 β φ 1 2
k out = 2 a 2 2 + h i 2 β 2 ( 2 π φ ) + a 2 + b 2 β ( 2 π φ ) 1 2
In establishing theoretical models, sensitive materials also affect the system’s performance to a certain extent. Considering the particularity of atmospheric environment detection, we need to choose sensitive materials with lower cost and more accessible access as much as possible. Polyimide has the advantages of high sensitivity, good linearity, hysteresis characteristics, low cost, etc., and the production process is mature and straightforward. In this model, we take polyimide material as an example to further improve the sensor electric field equation. The dielectric constant ε 1 of this material can be written as a function of ambient humidity R H and ambient temperature T as ε 1 R H , T . The capacitance expression combined with the interdigital capacitive humidity sensor constructed by the conformal mapping method is:
C = f C a , b , h 1 , h 2 , L , N , R H , T
By definition, the sensor sensitivity expression is:
S = C R H = f S a , b , h 1 , h 2 , L , N , R H , T

2.2. Dynamic Response Modeling

The dynamic response time of the humidity sensor is the diffusion process of water molecules in the humidity sensing film, which Fick’s second law of diffusion can describe [38]. The change in the molar concentration of water molecules can be expressed as:
Δ Q x , y , z , t t = D x 2 Δ Q x 2 + D y 2 Δ Q y 2 + D z 2 Δ Q z 2
where D is the diffusivity of water molecules. Δ Q is the change in molar concentration of water molecules in the moisture-sensitive layer.
As shown in Figure 1b, the moisture-sensitive medium consists of the area above the electrode plate (EP) and the size above the substrate (BASE). The absorption process of water molecules in these two parts should be considered separately. To simplify the model, the transport and diffusion of water molecules between the EP region and the BASE region are not considered. According to the basic assumptions of the model, the initial and boundary conditions of the water molecule molar concentration change model are shown in Table 1.
In Table 1, i = 1 , 2 , , N 1 , M s u r is the molar volume concentration of water molecules on the upper surface of the dielectric, which can be considered the same as the volume concentration of water molecules in the environment where the current capacitive humidity sensor is located. M s u r can be expressed as a function of the current ambient relative humidity R H , temperature T, air pressure P, and time t:
M s u r t = f R H t , T t , P t , t
Solving the boundary conditions can reduce the differential equation of Formula (8) to the first-order form. Integrating the space, the dynamic response h Q t of the humidity sensor can be expressed as:
h Q t = L × a × N 1 × 2 D h 1 + h 2 n = 1 exp D 2 n 1 2 π 2 t 4 h 1 + h 2 2 + L × b × N × 2 D h 1 n = 1 exp D 2 n 1 2 π 2 t 4 h 1 2
where D is the effective diffusion coefficient of water molecules in the polyimide wet film.
The number of water molecules Q t adsorbed on the dielectric can be expressed as the convolution between the molar volume concentration of water molecules on the surface of the dielectric and the dynamic response of the humidity sensor:
Q t = M s u r t h Q t = + M s u r τ h Q t τ d τ
According to the number Q t of water molecules adsorbed on the dielectric at time t, the volume percentage γ of water vapor adsorbed by the dielectric can be calculated:
γ t = Q t · N A L × N · b + N 1 a · h 1 + N 1 a · h 1 + h 2 × 1 ρ H 2 O
where N A is Avogadro’s constant N A = 6.022 × 10 23 . ρ H 2 O is the density of water.
The relative permittivity ε 1 t of the dielectric after water absorption can be expressed as:
ε 1 t = γ t · ε H 2 O 1 3 ε p i 1 3 + ε p i 1 3 3
where ε H 2 O is the relative permittivity of water, and ε p i is the relative permittivity of polyimide in a dry state. The constants ε H 2 O = 78.54 (at room temperature of 298 K) and ε p i = 2.93 can be substituted.
Combined with the Formula (6), the capacitance value C t at time t can be obtained. With the change of time, the moisture transport between the moisture-sensitive layer and the air reaches a dynamic balance, and the capacitance value achieves a stable state. Let the adjustment time to reach a steady state be t s , which is not only related to the plate structure and the thickness of the moisture-sensitive layer, but also to the ambient temperature and humidity. At the same time, it is also affected by the acceptable steady-state error range e s s , so its function can be expressed as:
t s = f t s a , b , h 1 , h 2 , L , N , R H , T , e s s

3. Optimization Analysis Method

3.1. Structural Optimization Analysis

Based on the sensitivity and dynamic response model of the humidity sensor constructed in the article, the relationship between the sensor sensitivity S, the steady-state adjustment time t s , and the structural parameters is obtained, as shown in Figure 2 and Figure 3. Among all the structural parameters of the sensor, the greater the interdigital length L, width b, the thickness of the moisture-sensing layer h 1 , and thickness of the electrode layer h 2 , the greater the sensitivity S of the sensor. The smaller the interdigital distance a, the smaller the sensor sensitivity S. In terms of dynamic adjustment time, the change of L will not affect the adjustment time of the sensor, but smaller a, h 1 , and h 2 with a larger b can contribute to a shorter adjustment time and system’s better dynamic performance.
To ensure that the sensor has high dynamic performance with high sensitivity, in the structural design process, the influence of structural parameters on the sensor’s sensitivity and dynamic performance must be considered simultaneously. Through theoretical modeling analysis, the smaller the interdigital spacing a, the larger the interdigital width b, the higher the sensitivity, and the better the dynamic performance. Therefore, when designing and processing the sensor, it is sufficient to ensure that a and b can obtain the optimum extreme values of their performances within the acceptable error range. For the thickness of the moisture-sensitive layer h 1 and the electrode layer h 2 , the larger the value, the higher the sensitivity and the worse the dynamic performance. The improvement of sensor sensitivity and dynamic performance are contradictory. Therefore, determining the appropriate parameter values of h 1 and h 2 to make the sensor take into account both high sensitivity and high dynamic performance has become a critical step in the design and processing of the sensor.
Sensitivity S and conditioning time t s were chosen as two key metrics for sensor performance optimization. In order to ensure that the variables of different units are in the same magnitude, the two indicator functions are normalized. The sensitivity S and adjustment time t s are normalized to the interval 0–1, and the normalization function can be expressed as:
S n o r a , b , h 1 , h 2 , L , N , R H , T = S a , b , h 1 , h 2 , L , N , R H , T min S R H , T max S R H , T min S R H , T
t s _ n o r a , b , h 1 , h 2 , L , N , R H , T , e s s = t s _ n o r a , b , h 1 , h 2 , L , N , R H , T min t s _ n o r R H , T max t s _ n o r R H , T min t s _ n o r R H , T
where S n o r and t s _ n o r are the normalized sensitivity and steady-state time, respectively.
The objective function taking into account the sensitivity and dynamic response performance of the interdigital capacitive humidity sensor is established:
f a , b , h 1 , h 2 , L , N , R H , T = min [ t s _ n o r a , b , h 1 , h 2 , L , N , R H , T S n o r a , b , h 1 , h 2 , L , N , R H , T ]
The value range of the constructed sensor structure optimization objective function is 1 , 1 . The larger the S, the higher the sensitivity of the sensor, and the smaller the sensor t s , the better the dynamic performance. The purpose of the optimization design is to obtain the most suitable sensor structure parameters and to ensure that the value of the objective function is minimized.

3.2. Heat Transfer Analysis

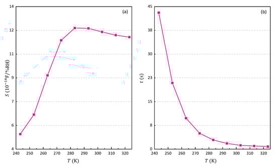
The amount of moisture the air can hold is proportional to the temperature. When moist air encounters a cooler surface, the temperature of the humid air drops accordingly, reducing its ability to retain moisture. If the temperature is lower than a specific limit, moisture will be precipitated on the surface, resulting in condensation and affecting the humidity sensor’s performance [39]. By adding a heating layer to the humidity sensor to make its surface temperature higher than the ambient temperature, the problem of sensor condensation is solved. In addition, based on the sensor sensitivity and dynamic response model established in the article, there is a strong relationship between temperature and the sensor. Increasing the sensor temperature within a certain range can further improve the sensor’s sensitivity and dynamic response performance, as shown in Figure 4.
To optimize the design of the sensor heating layer and realize the optimal sensor heating strategy, it is necessary to analyze the heat exchange between the sensor and the external environment. The humidity sensor is abstracted as a uniform cuboid with area S and height H. The heat transfer process of the humidity sensor can be divided into three parts: thermal conduction ϕ C o n d , thermal convection ϕ C o n v , and thermal radiation ϕ R a d [40], as shown in Figure 5. T s is the surface temperature of the sensor, and T e is the ambient temperature.
The total heat dissipation of the entire humidity sensor structure can be expressed as:
ϕ = ϕ C o n d + ϕ R a d + ϕ C o n v
Thermal conduction is the process of transferring thermal energy from a high temperature to a low temperature. The heat conduction equation of the humidity sensor can be expressed as:
d ϕ C o n d = λ S ( d T / d x )
where λ is the thermal conductivity, S is the area of the heated zone, and d T / d x is the temperature gradient. The established sensor model assumes thermal conductivity is a specific value inside the sensor. The sensor heat transfer ϕ C o n d is obtained by integrating both sides of the equation:
ϕ C o n d = λ S ( T s T e ) H
Thermal radiation refers to the phenomenon that an object radiates electromagnetic waves due to its temperature. The thermal radiation equation of the humidity sensor can be expressed as:
ϕ R a d = 2 ε σ S ( T s 4 T e 4 )
where ε is the emissivity of the object. Assuming the sensor is an ideal black body with ε = 1 . σ is the Boltzmann constant, σ = 5.67 × 10 8 W W ( m 2 · K 4 ) ( m 2 · K 4 ) .
Since the thermal radiation of the system is related to the Boltzmann constant, it is much smaller than thermal convection and thermal conduction. Therefore, in order to simplify the analysis process, the thermal radiation effect of the sensor can be ignored. Thermal convection is the process of transferring heat through a flowing medium. The thermal convection equation of the humidity sensor can be expressed as:
ϕ C o n v = μ ( T s T e )
where μ is the air convection coefficient, generally μ = 5 5 ( m 2 · K ) ( m 2 · K ) .
Through analysis, the total heat dissipation of the humidity sensor structure is:
ϕ = λ S ( T s T e ) H + μ ( T s T e )
It can be seen that when the ambient temperature and heating temperature are constant, the total heat transfer of the sensor is closely related to the structure of the heating layer. By designing the installation of the heater and optimizing the heating strategy, the system can be more suitable for extreme weather detection. While ensuring the elimination of adverse effects such as condensation, the electrodes of the humidity sensor are heated more evenly, the heating area is more expansive, and the power consumption is lower to achieve the optimal heating effect.

4. Evaluation

4.1. Accuracy Evaluation of Theoretical Model

Using the established interdigital capacitive humidity sensor sensitivity and dynamic response theoretical model, the corresponding performance index can be quickly given according to the sensor structure. To better support the optimal design of the sensor structure, the COMSOL finite element analysis software is used to establish a humidity sensor model, calculate various performance indicators of the sensor, and compare it with the theoretical model to verify the accuracy of the model, as shown in Figure 6.
In the evaluation of the steady-state sensitivity model, the initial parameters are set according to the common humidity sensor structure. The center values of each structure are μ a = 5 μ m , μ b = 10 μ m , μ L = 1250 μ m , μ h 1 = 3 μ m and μ h 2 = 1 μ m . The maximum allowable error variation coefficient is 0.4, so the variation range of each geometric structure parameter is a 3 , 7 , b 6 , 14 , L 750 , 1750 , h 1 1.8 , 4.2 and h 2 0.6 , 1.4 . We simulate the low temperature and low humidity environment where the sensor is located. The steady-state analysis sets the model ambient temperature as T = 278.15 K , ambient humidity as R H = 10 % . The geometric parameters of the sensor are changed by parametric scanning, and the sensor’s performance under different geometric parameters is obtained.
Figure 7 shows the comparison between the sensitivity calculated by the theoretical model and the results obtained by the finite element analysis at the same scale. The comparison results are verified by using the Pearson correlation coefficient. The correlation coefficient of the two methods in the thickness of the electrode layer h 2 reaches 1, indicating that the established static sensitivity model has the same accuracy as the finite element simulation analysis for this structure. The correlation coefficient of a, b, L, and h 1 are also above 0.95, which can also meet the requirements of the optimization analysis.
In the evaluation of dynamic response models. Although the extension of the interdigital capacitive humidity sensor in the direction of length L can significantly improve the sensitivity of the sensor, it has little effect on the dynamic performance of the sensor. To improve the speed of finite element analysis and calculation and save computing resources, the model of the capacitive humidity sensor is simplified to a two-dimensional model on the y-z-plane. We set the effective diffusion coefficient of water molecules of the moisture-sensitive material as D = 4.6 × 10 12 m 2 m 2 s s , the relative humidity of the environment changes from 10% to 20% instantaneously at the beginning of the simulation, and the steady-state error of the analysis adjustment time t s is less than 1%.
Figure 8 shows the comparison between the response time calculated by the theoretical model and the results obtained by the finite element analysis at the same scale. Because the dynamic analysis process of the finite element analysis method is very complex, it is necessary to couple various physical fields and set multi-layer boundary conditions. Some subtle changes will affect the output results. At the same time, the accuracy of meshing will also affect the fluctuation of the dynamic response curve. In this case, the correlation coefficient between theory and simulation for each structure is higher than 0.98.
It can be seen that the static sensitivity and dynamic response theoretical model of the interdigital capacitive humidity sensor established in this paper still has high accuracy in the low temperature and low humidity environment, which can well guide the optimal design of the sensor structure. In addition, establishing the theoretical model effectively solves the problem that traditional finite element simulation analysis takes a long time and occupies a lot of resources. It can flexibly adjust the parameters according to the actual use requirements and quickly obtain optimization results.

4.2. Optimal Design of Sensor Structure

Based on the sensor optimization objective equation established in this paper, the sensor structure was analyzed and designed by using Particle Swarm Optimization (PSO). We set the input sensor interdigital logarithm to N = 33 ; the variation range of each geometric structure parameter is the same as the accuracy analysis, the ambient temperature to T = 278.15 K , and the ambient humidity as R H = 10 % . The optimization problem of the sensor electrode structure can be formulated as:
min f a , b , h 1 , h 2 , L , N , R H , T subject to 3 a 7 6 b 14 1.8 h 1 4.2 750 L 1750 0.6 h 2 1.4
According to the monotonicity analysis between the sensitivity and adjustment time of the sensor and various structural parameters, it can be determined that when a takes the minimum value, and b takes the maximum value, the utmost sensitivity and the best dynamic performance of the sensor can be obtained. For h 1 and h 2 , it is contradictory to improve the sensitivity and dynamic performance, and the sensor structure optimization scheme needs to be designed for different situations.
When the structure of the electrode layer of the humidity sensor has been processed, the moisture-sensitive layer has not been uniformly coated and suspended. That is, h 2 has been determined, and h 1 is still unknown. Based on the established sensor optimization objective function, the PSO optimization algorithm is used to realize the optimal design of the thickness h 1 of the moisture-sensitive layer. Figure 9 shows the iterative optimization process of the algorithm. After 2360 iterations, the optimal objective function f reaches the lowest value of 0.13 , and the optimal parameter result of h 1 is 2.88 μm. The sensor’s sensitivity is 1.20 × 10 13 F / % RH , and the dynamic response time is 2.84 s, which ensures the optimal sensitivity and dynamic response performance under this structure.
When the humidity sensor polyimide thickness has been determined, the electrode structure has not been processed. That is, h 1 has been determined, and h 2 is still unknown. Figure 10 shows the iterative optimization process of plate thickness h 2 . After 1880 iterations, the optimal objective function f reaches the lowest value of −0.24, and the optimal parameter result of h 2 is 0.93 μm. At this time, the sensor’s sensitivity is 1.22 × 10 13 F / % RH , and the dynamic response time is 3.01 s.
Through the above discussion and analysis, we have completed the structural optimization design that considers the humidity sensor’s sensitivity and dynamic response performance for different situations. To verify the accuracy and reliability of the scheme, we simulated and calculated the optimal objective function values under other sensor structures, as shown in Figure 11. It can be seen from the figure that the theoretical calculation result of PSO is the same as that of the simulation analysis and has high accuracy. Under this structural design, the objective function of the sensor has reached the minimum value, and the performance is optimal. Similarly, according to different scenarios and size requirements, the model established in this paper can flexibly change parameters to obtain an optimal sensor design scheme that meets actual needs.

4.3. Optimal Design of Sensor Heating Layer

In the theoretical analysis of the heat transfer of the humidity sensor, the article assumes the uniformity of the heating of the sensor. It analyzes the importance of the heater structure. However, in practice, due to the influence of the heating structure, there are differences in the heating temperature of the sensor, and the difference between high and low temperatures significantly impacts the sensor’s performance. In addition, the energy for high-altitude meteorological detection is very precious, limiting the electrodes’ heating power. To expand the heating area of the sensor when the input voltage is constant, we improve the uniformity of heating, and reduce the system’s power consumption simultaneously. We need to optimize the design of the sensor heating layer structure and its heating strategy to improve sensor performance further.
To design a sensor heating electrode structure that is more in line with the needs of meteorological detection, we use Comsol finite element analysis software to analyze the heat transfer of several common heater structures. We set the ambient temperature to −70 °C, the substrate material to be silicon, the heater to be a nickel-chromium alloy, the electrode material to be silver, and the air convection coefficient to be 5 W W ( m 2 · K ) ( m 2 · K ) . At the same time, we ensure that the total volume of each heater structure is the same, which is 0.86975 mm 3 . We assume that the thermal conductivity variation of the sensor material is negligible to simplify the simulation model. The heating power of the four structures is set to be the same, which is 0.02 W. Figure 12 shows the results of the steady-state finite element analysis of heat transfer for each system. The temperature of the four structures is raised to about −8 °C, much higher than the ambient temperature, which meets the conditions for eliminating sensor condensation. In addition, we drew the temperature distribution curves of each structure’s longitudinal centers to further analyze each system’s heat transfer uniformity, as shown in Figure 13.
The total area where the surface temperature difference is less than 0.5 °C when the heating reaches a steady state is selected as the optimal heating area of the sensor. The optimum heat transfer areas of the four structures are 5.41, 5.87, 6.42, and 6.39 mm 2 , respectively. It can be seen from the figure that compared with the first two structures, the thicker electrode structure has a shorter total circuit length, and the heating area and uniformity are not as good as the thinner heating structure. In addition, the power loss is increased under the same input voltage due to the small resistance value of the thick electrode. The latter two systems increase the complexity of the structural design to increase the heat transfer area and reduce the useless power loss. However, the third structure destroys the uniformity of the longitudinal resistance arrangement, and the temperature is concave in the central area, and the uniformity is poor. The fourth structure is longitudinally symmetrical, and the heating result is more uniform, but the heat transfer area is slightly lower.
In terms of heating strategy, the traditional approach sets the target temperature at 20 °C regardless of the sensor’s environment. In the case of limited energy in the detection system, this solution dramatically increases the power supply pressure of the system. For the humidity sensor in the atmospheric detection system, the design of the heating electrode is mainly to solve the influence of high altitude and low temperature. The condensation phenomenon is caused by the temperature of the sensor being lower than the ambient temperature; so, in the design, it is only necessary to make the temperature of the sensor slightly higher than the ambient temperature while satisfying the regular operation of the sensor. To reduce the useless power loss of the system, we set the temperature of the electrode to be only 10 °C higher than the ambient temperature each time. This real-time closed-loop heating control strategy guarantees the sensor’s performance, saving system energy. Therefore, in the case of the same system input voltage, appropriately increasing the resistance of the heating electrode can meet the heating requirements of the sensor.
Based on the above analysis, we designed a new heater structure with full consideration of each system’s heat transfer and power consumption. It not only ensures the uniformity of temperature changes in all directions but also reduces the useless power loss by reducing the cross-sectional area of the resistance and expanding the heat transfer area. Using the same initial setting conditions, we conduct a heat transfer model analysis on the newly designed heating structure, and the results are shown in Figure 14. Through calculation, the optimal heating area of this structure is 6.81 mm 2 , and the lateral and longitudinal temperature distribution curves are relatively gentle, which meets the design requirements of heat transfer uniformity and is superior to other traditional electrode structures. In terms of the heating strategy, the closed-loop control reduces the steady-state temperature required for each stage of the system so that the heating layer can reach the preset temperature faster. It not only reduces the warm-up time and power used by the sensor but also dramatically reduces the useless power loss of the system.

5. Conclusions

This paper proposes an optimal design scheme for a highly dynamic and sensitive interdigital capacitive humidity sensor. Aiming at the problem of contradictory constraints between improving the sensitivity of the sensor and the dynamic response performance in complex environments, starting from the sensitive structure of the sensor and the heating structure, the optimal design of the sensor is completed, and the two performances of the sensor are simultaneously improved. Firstly, through the analysis of the physical field of the sensor, a theoretical model of its sensitivity and dynamic response is established, and the influence of various structural parameters and performance is explored. The model is verified by finite element analysis. The fitting coefficient can reach more than 95% under the same scale compared with the simulation results. Moreover, by fully using the established theoretical model, an objective function that satisfies the two performance optimizations of the sensor at the same time is constructed. According to the different usage scenarios of the sensor, the optimal design of the sensor structure is realized. Additionally, compared with the traditional heating structure, the novel sensor heating electrode structure is designed in this paper. It not only increases the heat transfer area of the electrode but also improves its uniformity, further enhancing the sensor’s sensitivity and dynamic response performance. The optimal design scheme proposed in this paper can also be extended to sensors of other materials, structures, and operating environments. Their performance can be optimized by changing the model parameters.

Author Contributions

Conceptualization, D.L. and D.Z.; methodology and software, D.L. and A.C.; validation, A.C. and R.N.; investigation, Z.L., F.C. and X.Y.; writing—original draft preparation, D.L. and A.C.; writing—review and editing, D.L.; visualization, A.C.; funding acquisition, Z.L. and D.Z. All authors have read and agreed to the published version of the manuscript.

Funding

This research was funded by the National Natural Science Foundation of China (Grant No. 62203056; No. 61873021; No. 61827901) and the Fundamental Research Funds for the Central Universities (Grant No. YWF-22-JC-11).

Institutional Review Board Statement

Not applicable.

Informed Consent Statement

Not applicable.

Data Availability Statement

Not applicable.

Acknowledgments

The authors thank the support and help of the Key Laboratory of Precision Opto-mechatronics Technology (Beihang University).

Conflicts of Interest

The authors declare no conflict of interest.

References

  1. Nordhaus, W.D. The economics of hurricanes and implications of global warming. Clim. Chang. Econ. 2010, 1, 1–20. [Google Scholar] [CrossRef]
  2. Bouwer, L.M. Have disaster losses increased due to anthropogenic climate change? Bull. Am. Meteorol. Soc. 2011, 92, 39–46. [Google Scholar] [CrossRef]
  3. Houze, R.A., Jr.; Chen, S.S.; Smull, B.F.; Lee, W.C.; Bell, M.M. Hurricane intensity and eyewall replacement. Science 2007, 315, 1235–1239. [Google Scholar] [CrossRef] [PubMed]
  4. Willoughby, H.E. Forecasting hurricane intensity and impacts. Science 2007, 315, 1232–1233. [Google Scholar] [CrossRef]
  5. Makarieva, A.M.; Gorshkov, V.G.; Nefiodov, A.V.; Chikunov, A.V.; Sheil, D.; Nobre, A.D.; Li, B.L. Fuel for cyclones: The water vapor budget of a hurricane as dependent on its movement. Atmos. Res. 2017, 193, 216–230. [Google Scholar] [CrossRef]
  6. Sheng, W.J.; Liu, J.W.; Huang, J.P. Accuracy of the retrieved temperature and humidity fields for typhoon haiyan utilizing the advanced technology microwave sounder. J. Trop. Meteorol. 2017, 23, 408–416. [Google Scholar]
  7. Fischer, M.S.; Rogers, R.F.; Reasor, P.D. The rapid intensification and eyewall replacement cycles of Hurricane Irma (2017). Mon. Weather. Rev. 2020, 148, 981–1004. [Google Scholar] [CrossRef]
  8. Chen, A.; Li, D.; Zheng, D.; Li, Z.; Na, R. A Fast Calibration Method for Sensors of Atmospheric Detection System. Appl. Sci. 2022, 12, 11733. [Google Scholar] [CrossRef]
  9. Sitkowski, M.; Kossin, J.P.; Rozoff, C.M.; Knaff, J.A. Hurricane eyewall replacement cycle thermodynamics and the relict inner eyewall circulation. Mon. Weather. Rev. 2012, 140, 4035–4045. [Google Scholar] [CrossRef][Green Version]
  10. Zhang, G.; Perrie, W.; Zhang, B.; Yang, J.; He, Y. Monitoring of tropical cyclone structures in ten years of RADARSAT-2 SAR images. Remote Sens. Environ. 2020, 236, 111449. [Google Scholar] [CrossRef]
  11. Yang, Y.; Jia, L. Experimental investigation on heat transfer coefficient during upward flow condensation of R410A in vertical smooth tubes. J. Therm. Sci. 2015, 24, 155–163. [Google Scholar] [CrossRef]
  12. Chen, X.; Wang, H.; Li, Z.; Ding, W.; Dang, F.; Wu, C.; Chen, X. DeliverSense: Efficient Delivery Drone Scheduling for Crowdsensing with Deep Reinforcement Learning. In Proceedings of the UbiComp/ISWC, Cambridge, UK, 11–15 September 2022. [Google Scholar]
  13. Chen, X.; Purohit, A.; Pan, S.; Ruiz, C.; Han, J.; Sun, Z.; Mokaya, F.; Tague, P.; Zhang, P. Design experiences in minimalistic flying sensor node platform through sensorfly. ACM Trans. Sens. Netw.s (TOSN) 2017, 13, 1–37. [Google Scholar] [CrossRef]
  14. Chen, X.; Purohit, A.; Dominguez, C.R.; Carpin, S.; Zhang, P. Drunkwalk: Collaborative and adaptive planning for navigation of micro-aerial sensor swarms. In Proceedings of the 13th ACM Conference on Embedded Networked Sensor Systems, Seoul, Korea, 1–4 November 2015; pp. 295–308. [Google Scholar]
  15. Raza, E.; Asif, M.; Aziz, F.; Azmer, M.I.; Malik, H.A.; Teh, C.H.; Najeeb, M.A.; Zafar, Q.; Ahmad, Z.; Wahab, F.; et al. Influence of thermal annealing on a capacitive humidity sensor based on newly synthesized macroporous PBObzT2. Sens. Actuators B Chem. 2016, 235, 146–153. [Google Scholar] [CrossRef]
  16. Qiang, T.; Wang, C.; Liu, M.Q.; Adhikari, K.K.; Liang, J.G.; Wang, L.; Li, Y.; Wu, Y.M.; Yang, G.H.; Meng, F.Y.; et al. High-Performance porous MIM-type capacitive humidity sensor realized via inductive coupled plasma and reactive-Ion etching. Sens. Actuators B Chem. 2018, 258, 704–714. [Google Scholar] [CrossRef]
  17. Yu, S.; Zhang, H.; Chen, C.; Zhang, J.; Li, P. Preparation and mechanism investigation of highly sensitive humidity sensor based on two-dimensional porous Gold/Graphite carbon nitride nanoflake. Sens. Actuators B Chem. 2020, 307, 127679. [Google Scholar] [CrossRef]
  18. Xu, J.; Bertke, M.; Li, X.; Mu, H.; Zhou, H.; Yu, F.; Hamdana, G.; Schmidt, A.; Bremers, H.; Peiner, E. Fabrication of ZnO nanorods and Chitosan@ ZnO nanorods on MEMS piezoresistive self-actuating silicon microcantilever for humidity sensing. Sens. Actuators B Chem. 2018, 273, 276–287. [Google Scholar] [CrossRef]
  19. Patil, S.J.; Adhikari, A.; Baghini, M.S.; Rao, V.R. An ultra-sensitive piezoresistive polymer nano-composite microcantilever platform for humidity and soil moisture detection. Sens. Actuators B Chem. 2014, 203, 165–173. [Google Scholar] [CrossRef]
  20. Bi, H.; Yin, K.; Xie, X.; Ji, J.; Wan, S.; Sun, L.; Terrones, M.; Dresselhaus, M.S. Ultrahigh humidity sensitivity of graphene oxide. Sci. Rep. 2013, 3, 1–7. [Google Scholar]
  21. Ascorbe, J.; Corres, J.; Matias, I.; Arregui, F. High sensitivity humidity sensor based on cladding-etched optical fiber and lossy mode resonances. Sens. Actuators B Chem. 2016, 233, 7–16. [Google Scholar] [CrossRef]
  22. Aldaba, A.L.; Lopez-Torres, D.; Elosua, C.; Auguste, J.L.; Jamier, R.; Roy, P.; Arregui, F.J.; López-Amo, M. SnO2-MOF-Fabry-Perot optical sensor for relative humidity measurements. Sens. Actuators B Chem. 2018, 257, 189–199. [Google Scholar] [CrossRef]
  23. Wang, Z.; Hu, C.; Zheng, D.; Chen, X. Ultralow-Power Sensing Framework for Internet of Things: A Smart Gas Meter as a Case. IEEE Internet Things J. 2021, 9, 7533–7544. [Google Scholar] [CrossRef]
  24. Chen, X.; Ruiz, C.; Zeng, S.; Gao, L.; Purohit, A.; Carpin, S.; Zhang, P. H-DrunkWalk: Collaborative and adaptive navigation for heterogeneous MAV swarm. ACM Trans. Sens. Netw. (TOSN) 2020, 16, 1–27. [Google Scholar] [CrossRef]
  25. Chen, X.; Xu, S.; Liu, X.; Xu, X.; Noh, H.Y.; Zhang, L.; Zhang, P. Adaptive hybrid model-enabled sensing system (HMSS) for mobile fine-grained air pollution estimation. IEEE Trans. Mob. Comput. 2020. [Google Scholar] [CrossRef]
  26. Chen, X.; Xu, S.; Han, J.; Fu, H.; Pi, X.; Joe-Wong, C.; Li, Y.; Zhang, L.; Noh, H.Y.; Zhang, P. Pas: Prediction-based actuation system for city-scale ridesharing vehicular mobile crowdsensing. IEEE Internet Things J. 2020, 7, 3719–3734. [Google Scholar] [CrossRef]
  27. Xu, S.; Chen, X.; Pi, X.; Joe-Wong, C.; Zhang, P.; Noh, H.Y. ilocus: Incentivizing vehicle mobility to optimize sensing distribution in crowd sensing. IEEE Trans. Mob. Comput. 2019, 19, 1831–1847. [Google Scholar] [CrossRef]
  28. Hassan, A.S.; Juliet, V.; Raj, C.J.A. MEMS based humidity sensor with integration of temperature sensor. Mater. Today Proc. 2018, 5, 10728–10737. [Google Scholar] [CrossRef]
  29. Rivadeneyra, A.; Fernandez-Salmeron, J.; Agudo-Acemel, M.; Lopez-Villanueva, J.A.; Capitan-Vallvey, L.F.; Palma, A.J. Printed electrodes structures as capacitive humidity sensors: A comparison. Sens. Actuators A Phys. 2016, 244, 56–65. [Google Scholar] [CrossRef]
  30. Luo, Y.; Kun, Y.; Shi, Y.; Shang, C. Research of radiosonde humidity sensor with temperature compensation function and experimental verification. Sens. Actuators A Phys. 2014, 218, 49–59. [Google Scholar] [CrossRef]
  31. Narimani, K.; Nayeri, F.D.; Kolahdouz, M.; Ebrahimi, P. Fabrication, modeling and simulation of high sensitivity capacitive humidity sensors based on ZnO nanorods. Sens. Actuators B Chem. 2016, 224, 338–343. [Google Scholar] [CrossRef]
  32. Zhou, W.; He, X.; Wu, J.; Wang, L.B.; Wang, L. Numerical study on response time of a parallel plate capacitive polyimide humidity sensor based on microhole upper electrode. J. Micro/Nanolithography MEMS MOEMS 2017, 16, 034502. [Google Scholar] [CrossRef]
  33. Liang, J.G.; Kim, E.S.; Wang, C.; Cho, M.Y.; Oh, J.M.; Kim, N.Y. Thickness effects of aerosol deposited hygroscopic films on ultra-sensitive humidity sensors. Sens. Actuators B Chem. 2018, 265, 632–643. [Google Scholar] [CrossRef]
  34. Wu, Y.; Du, X.; Li, Y.; Tai, H.; Su, Y. Optimization of temperature uniformity of a serpentine thin film heater by a two-dimensional approach. Microsyst. Technol. 2019, 25, 69–82. [Google Scholar] [CrossRef]
  35. Gevorgian, S.S.; Martinsson, T.; Linner, P.L.; Kollberg, E.L. CAD models for multilayered substrate interdigital capacitors. IEEE Trans. Microw. Theory Tech. 1996, 44, 896–904. [Google Scholar] [CrossRef]
  36. Tetelin, A.; Pellet, C. Accurate model of the dynamic response of a capacitive humidity sensor. In Proceedings of the SENSORS, 2003 IEEE, Toronto, ON, Canada, 22–24 October 2003; Volume 1, pp. 378–383. [Google Scholar]
  37. Marini, F.; Walczak, B. Particle swarm optimization (PSO). A tutorial. Chemom. Intell. Lab. Syst. 2015, 149, 153–165. [Google Scholar] [CrossRef]
  38. Tetelin, A.; Pellet, C.; de Matos, M.; Conedera, V. Computer-aided response time optimization of capacitive humidity sensors. In Proceedings of the SENSORS, 2004 IEEE, Vienna, Austria, 24–27 October 2004; pp. 111–114. [Google Scholar]
  39. Zhao, C.L.; Qin, M.; Huang, Q.A. A fully packaged CMOS interdigital capacitive humidity sensor with polysilicon heaters. IEEE Sens. J. 2011, 11, 2986–2992. [Google Scholar] [CrossRef]
  40. Fiveland, W. Three-dimensional radiative heat-transfer solutions by the discrete-ordinates method. J. Thermophys. Heat Transf. 1988, 2, 309–316. [Google Scholar] [CrossRef]
Figure 1. (a) Basic structure of the interdigital capacitive humidity sensor. (b) Sensitivity mechanism of the sensor. (c) Key structural parameters of the sensor. (d) Two-dimensional electric field model of the sensor interdigitated structure.
Figure 1. (a) Basic structure of the interdigital capacitive humidity sensor. (b) Sensitivity mechanism of the sensor. (c) Key structural parameters of the sensor. (d) Two-dimensional electric field model of the sensor interdigitated structure.
Applsci 12 12362 g001
Figure 2. Influence of interdigital capacitive humidity sensor structure on sensitivity.
Figure 2. Influence of interdigital capacitive humidity sensor structure on sensitivity.
Applsci 12 12362 g002
Figure 3. Influence of interdigitated capacitive humidity sensor structure on dynamic adjustment time.
Figure 3. Influence of interdigitated capacitive humidity sensor structure on dynamic adjustment time.
Applsci 12 12362 g003
Figure 4. (a) The effect of temperature on the sensitivity of the humidity sensor. (b) The effect of temperature on the dynamic response time of the humidity sensor.
Figure 4. (a) The effect of temperature on the sensitivity of the humidity sensor. (b) The effect of temperature on the dynamic response time of the humidity sensor.
Applsci 12 12362 g004
Figure 5. Humidity sensor heat exchange analysis.
Figure 5. Humidity sensor heat exchange analysis.
Applsci 12 12362 g005
Figure 6. (a) Finite element simulation of the sensor electric field. (b) Finite element simulation of sensor electric field mode.
Figure 6. (a) Finite element simulation of the sensor electric field. (b) Finite element simulation of sensor electric field mode.
Applsci 12 12362 g006
Figure 7. Sensitivity model accuracy evaluation.
Figure 7. Sensitivity model accuracy evaluation.
Applsci 12 12362 g007
Figure 8. Dynamic response model accuracy evaluation.
Figure 8. Dynamic response model accuracy evaluation.
Applsci 12 12362 g008
Figure 9. Optimum design of sensor moisture-sensitive layer.
Figure 9. Optimum design of sensor moisture-sensitive layer.
Applsci 12 12362 g009
Figure 10. Optimum design of sensor electrode layer.
Figure 10. Optimum design of sensor electrode layer.
Applsci 12 12362 g010
Figure 11. (a) Simulation verification of moisture-sensitive layer optimization scheme. (b) Simulation verification of electrode layer optimization scheme.
Figure 11. (a) Simulation verification of moisture-sensitive layer optimization scheme. (b) Simulation verification of electrode layer optimization scheme.
Applsci 12 12362 g011
Figure 12. Finite element analysis of heat transfer for four traditional heating structures. (a) Thick serpentine heating electrode. (b) Thin serpentine heating electrodes. (c) Complex serpentine heating electrodes. (d) Spiral heating electrode.
Figure 12. Finite element analysis of heat transfer for four traditional heating structures. (a) Thick serpentine heating electrode. (b) Thin serpentine heating electrodes. (c) Complex serpentine heating electrodes. (d) Spiral heating electrode.
Applsci 12 12362 g012
Figure 13. Temperature distribution of four traditional heating structures. (a) Thick serpentine heating electrode. (b) Thin serpentine heating electrodes. (c) Complex serpentine heating electrodes. (d) Spiral heating electrode.
Figure 13. Temperature distribution of four traditional heating structures. (a) Thick serpentine heating electrode. (b) Thin serpentine heating electrodes. (c) Complex serpentine heating electrodes. (d) Spiral heating electrode.
Applsci 12 12362 g013
Figure 14. (a) Thermal analysis of new structure. (b) Lateral temperature distribution curve. (c) Longitudinal temperature distribution curve.
Figure 14. (a) Thermal analysis of new structure. (b) Lateral temperature distribution curve. (c) Longitudinal temperature distribution curve.
Applsci 12 12362 g014
Table 1. The initial and boundary conditions of the water molecule molar concentration change model.
Table 1. The initial and boundary conditions of the water molecule molar concentration change model.
Time (s)xyzQ
t≤0 i 1 a + b i 1 a + i b 0 L h 2 + h 3 h 1 + h 2 + h 3 Q = Q 0
i 1 a + i b i a + b 0 L h 2 + h 3 h 1 + h 2 + h 3
t > 0 0 N b + N 1 a 0 , L h 3 h 1 + h 2 + h 3 Δ Q / y = 0
i 1 a + b , i 1 a + b + b 0 L h 3 h 1 + h 2 + h 3 Δ Q / x = 0
i 1 a + b i 1 a + i b 0 L h 2 + h 3 Δ Q / z = 0
i 1 a + i b i a + b 0 L h 3
0 N b + N 1 a 0 L h 1 + h 2 + h 3 Δ Q = M s u r ( t ) Q 0
Publisher’s Note: MDPI stays neutral with regard to jurisdictional claims in published maps and institutional affiliations.

Share and Cite

MDPI and ACS Style

Li, D.; Chen, A.; Zheng, D.; Li, Z.; Na, R.; Cui, F.; Yang, X. Design and Optimization of Interdigital Capacitive Humidity Sensor with Highly Sensitive and Dynamic Response Time. Appl. Sci. 2022, 12, 12362. https://doi.org/10.3390/app122312362

AMA Style

Li D, Chen A, Zheng D, Li Z, Na R, Cui F, Yang X. Design and Optimization of Interdigital Capacitive Humidity Sensor with Highly Sensitive and Dynamic Response Time. Applied Sciences. 2022; 12(23):12362. https://doi.org/10.3390/app122312362

Chicago/Turabian Style

Li, Dapeng, Aobei Chen, Dezhi Zheng, Zhongxiang Li, Rui Na, Fei Cui, and Xiaojun Yang. 2022. "Design and Optimization of Interdigital Capacitive Humidity Sensor with Highly Sensitive and Dynamic Response Time" Applied Sciences 12, no. 23: 12362. https://doi.org/10.3390/app122312362

APA Style

Li, D., Chen, A., Zheng, D., Li, Z., Na, R., Cui, F., & Yang, X. (2022). Design and Optimization of Interdigital Capacitive Humidity Sensor with Highly Sensitive and Dynamic Response Time. Applied Sciences, 12(23), 12362. https://doi.org/10.3390/app122312362

Note that from the first issue of 2016, this journal uses article numbers instead of page numbers. See further details here.

Article Metrics

Back to TopTop