Analytical Calculation of Air-Gap Magnetic Field Distribution in IPMSMs with Mixed Eccentricity Accounting for Bridge Saturation
Abstract
1. Introduction
2. Methods
2.1. Analytical Model of the Normal Air-Gap Magnetic Field
2.1.1. Model of the Equivalent Magnetic Circuit of the Rotor
2.1.2. Model of the Air-Gap Magnetic Field of Permanent Magnet under No-Load
2.1.3. Model of the Armature Reaction Magnetic Field
2.1.4. Model of the Magnetic Field in the Bridge Regions
2.2. Geometric Model of the Air-Gap with Mixed Eccentricity
2.3. Model Validation Method
3. Results and Discussion
3.1. Model Validation
3.1.1. The Normal Case
3.1.2. The Eccentric Case
3.2. Influence of the Mixed Eccentricity on the Air-Gap Magnetic Field
3.2.1. Analysis of the Radial Component of the Air-Gap Flux Density
3.2.2. Analysis of the Tangential Air-Gap Flux Density Component
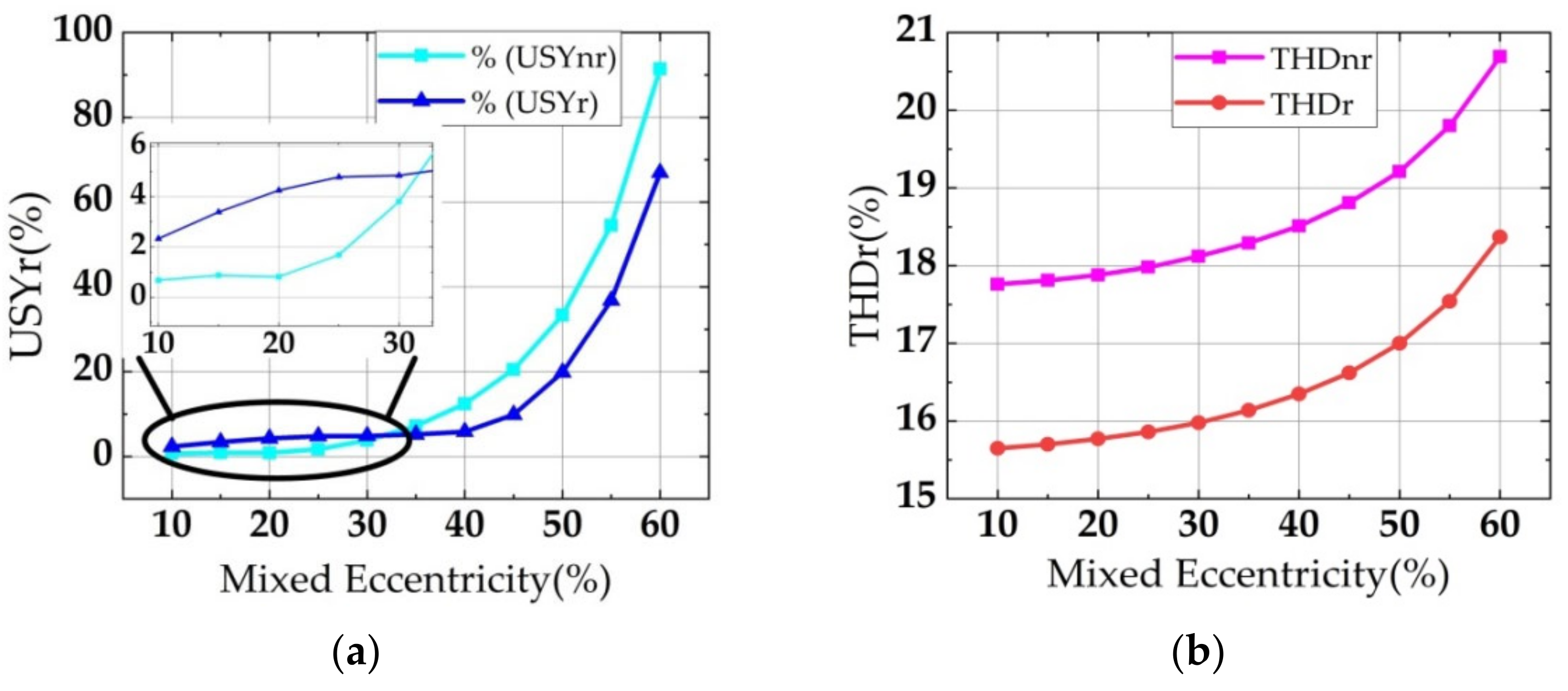
3.3. Influence of Bridge Saturation on Air-Gap Magnetic Field with Mixed Eccentricity
4. Conclusions
Author Contributions
Funding
Institutional Review Board Statement
Informed Consent Statement
Data Availability Statement
Conflicts of Interest
References
- Čorović, S.; Miljavec, D. Modal analysis and rotor-dynamics of an interior permanent magnet synchronous motor: An experimental and theoretical study. Appl. Sci. 2020, 10, 5881. [Google Scholar] [CrossRef]
- Zhang, G.; Yu, W.; Hua, W.; Cao, R.; Qiu, H.; Guo, A. The Design and Optimization of an Interior, Permanent Magnet Synchronous Machine Applied in an Electric Traction Vehicle Requiring a Low Torque Ripple. Appl. Sci. 2019, 9, 3634. [Google Scholar] [CrossRef]
- Zhu, L.; Jiang, S.; Zhu, Z.; Chan, C. Analytical modeling of open-circuit air-gap field distributions in multisegment and multilayer interior permanent-magnet machines. IEEE Trans. Magn. 2009, 45, 3121–3130. [Google Scholar] [CrossRef]
- Zhang, Z.; Xia, C.; Yan, Y.; Geng, Q.; Shi, T. A hybrid analytical model for open-circuit field calculation of multilayer interior permanent magnet machines. J. Magn. Magn. Mater. 2017, 435, 136–145. [Google Scholar] [CrossRef]
- Tian, K.; Zhang, T.; Ai, Y.; Zhang, W. Induction motors dynamic eccentricity fault diagnosis based on the combined use of WPD and EMD-simulation study. Appl. Sci. 2018, 8, 1709. [Google Scholar] [CrossRef]
- Liu, Z.; Huang, J.; He, S. Diagnosis of air-gap eccentricity and partial demagnetisation of an interior permanent magnet synchronous motor based on inverse transient complex inductance vector theory. IET Electr. Power Appl. 2018, 12, 1166–1175. [Google Scholar] [CrossRef]
- Liu, Z.; Huang, J.; Li, B. Diagnosing and distinguishing rotor eccentricity from partial demagnetisation of interior PMSM based on fluctuation of high-frequency d-axis inductance and rotor flux. IET Electr. Power Appl. 2017, 11, 1265–1275. [Google Scholar] [CrossRef]
- Masmoudi, A. Fractional-Slot Concentrated Windings: Design and Analysis. In Design and Electromagnetic Feature Analysis of AC Rotating Machines; Springer: Berlin/Heidelberg, Germany, 2019; pp. 55–85. [Google Scholar]
- Li, L.; Li, W.; Li, D.; Zhang, X.; Fan, Y. Influence of sleeve thickness and various structures on eddy current losses of rotor parts and temperature field in surface mounted permanent-magnet synchronous motor. IET Electr. Power Appl. 2018, 12, 1183–1191. [Google Scholar] [CrossRef]
- An, Y.; Ma, C.; Zhang, N.; Guo, Y.; Degano, M.; Gerada, C.; Bu, F.; Yin, X.; Li, Q.; Zhou, S. Calculation model of armature reaction magnetic field of interior permanent magnet synchronous motor with segmented skewed poles. IEEE Trans. Energy Convers. 2021, 37, 1115–1123. [Google Scholar] [CrossRef]
- Caruso, M.; Di Tommaso, A.O.; Miceli, R.; Viola, F. A Cogging Torque Minimization Procedure for Interior Permanent Magnet Synchronous Motors Based on a Progressive Modification of the Rotor Lamination Geometry. Energies 2022, 15, 4956. [Google Scholar] [CrossRef]
- Park, Y.; Fernandez, D.; Lee, S.B.; Hyun, D.; Jeong, M.; Kommuri, S.K.; Cho, C.; Reigosa, D.D.; Briz, F. Online detection of rotor eccentricity and demagnetization faults in PMSMs based on hall-effect field sensor measurements. IEEE Trans. Ind. Appl. 2018, 55, 2499–2509. [Google Scholar] [CrossRef]
- Li, Y.; Lu, Q.; Zhu, Z.Q. Unbalanced magnetic force prediction in permanent magnet machines with rotor eccentricity by improved superposition method. IET Electr. Power Appl. 2017, 11, 1095–1104. [Google Scholar] [CrossRef]
- Kim, H.J.; Moon, J.W. Improved rotor structures for increasing flux per pole of permanent magnet synchronous motor. IET Electr. Power Appl. 2018, 12, 415–422. [Google Scholar] [CrossRef]
- Azarinfar, H.; Aghaebrahimi, M.R. Design, analysis and fabrication of a novel transverse flux permanent magnet machine with disk rotor. Appl. Sci. 2017, 7, 860. [Google Scholar] [CrossRef]
- Krämer, C.; Kugi, A.; Kemmetmüller, W. Modeling of a permanent magnet linear synchronous motor using magnetic equivalent circuits. Mechatronics 2021, 76, 102558. [Google Scholar] [CrossRef]
- Song, I.-S.; Jo, B.-W.; Kim, K.-C. Analysis of an IPMSM Hybrid Magnetic Equivalent Circuit. Energies 2021, 14, 5011. [Google Scholar] [CrossRef]
- Yu, Z.; Li, Y.; Jing, Y.; Du, J.; Wang, Z. Analytical model for magnetic field calculation of SPMSM with chamfered pole considering iron core saturation. IET Electr. Power Appl. 2020, 14, 1856–1864. [Google Scholar] [CrossRef]
- Liang, P.; Chai, F.; Li, Y.; Pei, Y. Analytical prediction of magnetic field distribution in spoke-type permanent-magnet synchronous machines accounting for bridge saturation and magnet shape. IEEE Trans. Ind. Electron. 2016, 64, 3479–3488. [Google Scholar] [CrossRef]
- Yang, J.; Chen, J.; Yang, G.; Zhao, S.; Zhang, C. Accurate Calculation of Magnetic Field of Same-Pole and Same-Slot Surface-Mounted Three-Phase Permanent Magnet Synchronous Motor. IEEE Trans. Magn. 2022, 58, 8204910. [Google Scholar] [CrossRef]
- Shin, K.-H.; Cho, H.-W.; Lee, S.-H.; Choi, J.-Y. Armature reaction field and inductance calculations for a permanent magnet linear synchronous machine based on subdomain model. IEEE Trans. Magn. 2017, 53, 8105804. [Google Scholar] [CrossRef]
- Ma, F.; Yin, H.; Wei, L.; Wu, L.; Gu, C. Analytical calculation of armature reaction field of the interior permanent magnet motor. Energies 2018, 11, 2375. [Google Scholar] [CrossRef]
- Su, P.; Hua, W.; Wu, Z.; Han, P.; Cheng, M. Analysis of the operation principle for rotor-permanent-magnet flux-switching machines. IEEE Trans. Ind. Electron. 2017, 65, 1062–1073. [Google Scholar] [CrossRef]
- Zheng, J.; Zhao, W.; Ji, J.; Zhu, J.; Gu, C.; Zhu, S. Design to Reduce Rotor Losses in Fault-Tolerant Permanent-Magnet Machines. IEEE Trans. Ind. Electron. 2018, 65, 8476–8487. [Google Scholar] [CrossRef]
- Zhu, X.; Hua, W.; Wang, B.; Dai, N. Comparison of stator-and rotor-surface-mounted PM brushless machines. IET Electr. Power Appl. 2020, 14, 62–70. [Google Scholar] [CrossRef]
- Cheng, M.; Zhu, X.; Wang, Y.; Wang, R.; Wang, W. Effect and inhibition method of armature-reaction field on superconducting coil in field-modulation superconducting electrical machine. IEEE Trans. Energy Convers. 2019, 35, 279–291. [Google Scholar] [CrossRef]
- Ma, C.; Li, Q.; Lu, H.; Liu, Y.; Gao, H. Analytical model for armature reaction of outer rotor brushless permanent magnet DC motor. IET Electr. Power Appl. 2018, 12, 651–657. [Google Scholar] [CrossRef]
- Deng, W.; Zuo, S. Comparative study of sideband electromagnetic force in internal and external rotor PMSMs with SVPWM technique. IEEE Trans. Ind. Electron. 2018, 66, 956–966. [Google Scholar] [CrossRef]
- Ebrahimi, B.M.; Faiz, J. Configuration impacts on eccentricity fault detection in permanent magnet synchronous motors. IEEE Trans. Magn. 2012, 48, 903–906. [Google Scholar] [CrossRef]
- Rezaee-Alam, F.; Rezaeealam, B.; Faiz, J. Unbalanced magnetic force analysis in eccentric surface permanent-magnet motors using an improved conformal mapping method. IEEE Trans. Energy Convers. 2016, 32, 146–154. [Google Scholar] [CrossRef]
- Guo, L.; Xia, C.; Wang, H.; Wang, Z.; Shi, T. Improved equivalent magnetic network modeling for analyzing working points of PMs in interior permanent magnet machine. J. Magn. Magn. Mater. 2018, 454, 39–50. [Google Scholar] [CrossRef]










| Permeance Units | Permeance Formulas | Geometric Structure |
|---|---|---|
![]() Rectangular | stator slot rotor pole air-gap magnetic bridge | |
![]() Trapezoidal | stator tooth | |
![]() Fan-shaped | stator slot opening |
| Parameters | Numerical Values | Parameters | Numerical Values |
|---|---|---|---|
| Rated power Pn | 160 kW | Axial length of the iron core Lr | 130 mm |
| Rated speed n0 | 5100 rpm | Number of wire layers per groove Nt | 4 |
| Number of pole-pairs p | 4 | Number of parallel branches Np | 2 |
| Number of slots Ns | 48 | Magnet thickness hM | 6 mm |
| Radius of the slot bottom Rsb | 93.6 mm | Width of the ermanent magnet LM | 17 mm |
| Radius of the slot top Rst | 80.6 mm | Permeability of the vacuum μ0 | 4π × 10−7 H/m |
| Groove width bsa | 0.05 rad | Relative permeability of the permanent magnet μr | 1.059 |
| Rabbet width boa | 0.011 rad | Width of the bridge αb | 0.035 rad |
| Inner radius of the stator RS | 79.8 mm | End thickness of the bridge hb | 2.1 mm |
| External radius of the rotor Rr | 79.1 mm | Interpolar thickness of the bridge hi | 2.8 mm |
| Basic frequency f0 | 340 Hz |
| Mixed Eccentric Conditions | Spatial Harmonic Amplitudes | USYr | THDr (%) | |||||||||
|---|---|---|---|---|---|---|---|---|---|---|---|---|
| 11 | 13 | 23 | 25 | 35 | 47 | 59 | 71 | 83 | 85 | (%) | ||
| Normal | 0.2084 | 0.1309 | 0.114 | 0.0519 | 0.07635 | 0.05658 | 0.04392 | 0.03379 | 0.02624 | 0.01964 | 0 | 15.52 |
| εS = 20% & εD = 50% | 0.2128 | 0.1355 | 0.1246 | 0.05802 | 0.09288 | 0.07738 | 0.06674 | 0.05448 | 0.04471 | 0.04344 | 5.21 | 17.12 |
| εS = 50% & εD = 20% | 0.2128 | 0.1356 | 0.1248 | 0.05809 | 0.09315 | 0.07774 | 0.06717 | 0.05488 | 0.04508 | 0.04347 | 5.40 | 17.14 |
Publisher’s Note: MDPI stays neutral with regard to jurisdictional claims in published maps and institutional affiliations. |
© 2022 by the authors. Licensee MDPI, Basel, Switzerland. This article is an open access article distributed under the terms and conditions of the Creative Commons Attribution (CC BY) license (https://creativecommons.org/licenses/by/4.0/).
Share and Cite
Sun, Y.; Gu, L.; Liu, P.; Chen, J.; Cheng, D. Analytical Calculation of Air-Gap Magnetic Field Distribution in IPMSMs with Mixed Eccentricity Accounting for Bridge Saturation. Appl. Sci. 2022, 12, 11956. https://doi.org/10.3390/app122311956
Sun Y, Gu L, Liu P, Chen J, Cheng D. Analytical Calculation of Air-Gap Magnetic Field Distribution in IPMSMs with Mixed Eccentricity Accounting for Bridge Saturation. Applied Sciences. 2022; 12(23):11956. https://doi.org/10.3390/app122311956
Chicago/Turabian StyleSun, Yu, Lichen Gu, Peijin Liu, Jiangcheng Chen, and Donghong Cheng. 2022. "Analytical Calculation of Air-Gap Magnetic Field Distribution in IPMSMs with Mixed Eccentricity Accounting for Bridge Saturation" Applied Sciences 12, no. 23: 11956. https://doi.org/10.3390/app122311956
APA StyleSun, Y., Gu, L., Liu, P., Chen, J., & Cheng, D. (2022). Analytical Calculation of Air-Gap Magnetic Field Distribution in IPMSMs with Mixed Eccentricity Accounting for Bridge Saturation. Applied Sciences, 12(23), 11956. https://doi.org/10.3390/app122311956



