Next Article in Journal
Modularization Method to Reuse Medical Knowledge Graphs
Next Article in Special Issue
Hybrid Traffic Scheduling in 5G and Time-Sensitive Networking Integrated Networks for Communications of Virtual Power Plants
Previous Article in Journal
Prediction of Ply Angles of Air Springs According to Airbag Positions and Their Effects on Lateral and Torsional Stiffness
Previous Article in Special Issue
TBRm: A Time Representation Method for Industrial Knowledge Graph
 
 
Font Type:
Arial Georgia Verdana
Font Size:
Aa Aa Aa
Line Spacing:
Column Width:
Background:
Article

Route Planning for Autonomous Driving Based on Traffic Information via Multi-Objective Optimization

1
School of Transportation Science and Engineering, Beihang University, Beijing 100191, China
2
High Technology Research Development Centre, Beijing 100044, China
3
Research Institute for Frontier Science, Beihang University, Beijing 100191, China
*
Author to whom correspondence should be addressed.
Appl. Sci. 2022, 12(22), 11817; https://doi.org/10.3390/app122211817
Submission received: 18 September 2022 / Revised: 21 October 2022 / Accepted: 14 November 2022 / Published: 21 November 2022
(This article belongs to the Special Issue Real-Time Systems and Industrial Internet of Things)

Abstract

Route planning for autonomous driving is a global road planning method based on a given starting point and target point combined with current traffic flow information. The optimal global route can reduce traffic jams and improve the safety and economy of autonomous vehicles. The current optimization method of route planning for autonomous driving only considers a single objective or a chain of single objectives, which cannot meet the requirements of drivers. In this paper, we devise a general framework for the route planning method based on multi-objective optimization. Different from planning optimization based on not only traffic information, the framework considers travel time, distance, cost and personal preference, but focuses more on vehicle status and driver requirements. We use an improved depth-first search algorithm to find the optimal route. The evaluations of our method on real-world traffic data indicate the feasibility and applicability of the framework. Our study contributes to a better understanding of route planning and reveals that exploitation of personal preference can more flexibly configure the corresponding route according to the driver’s requirements.

1. Introduction

An autonomous driving system is a fully automated and highly centralized car operation system for the work performed by drivers [1,2,3]. Realizing fully automatic operation can save energy and optimize the reasonable matching of system energy consumption and speed. In recent years, with the rapid development and popularization of intelligent autonomous driving [4,5], it is a foregone conclusion that cars can achieve a higher level of autonomous driving. In the development process of intelligent driving, the Internet of vehicles is the key premise to realize intelligent driving and autonomous driving [6,7,8]. The Internet of vehicles is a huge interactive network composed of vehicle location, speed, route and other information. Through global positioning systems (GNSS), onboard radars, sensors, etc., vehicles can complete the collection of their own environment and status information. Through Internet technology, all vehicles can transmit all kinds of information to the central processing unit. Through computer technology, the information of a large number of vehicles can be analyzed and processed, so as to calculate the best route for different vehicles, provide a timely report concerning the road conditions and arrange the signal cycle. Route planning, which is closely connected with the Internet of vehicles, is to plan a global road route based on the current real-time traffic flow information given the starting point and target point [9,10,11,12,13]. An optimal global route can avoid traffic jams, reduce fuel consumption and improve the safety of self-driving vehicles, so the selection of optimal constraints is important when performing route planning.
With the rapid development of Telematics and 5G technologies, each driverless vehicle is more likely to have access to real-time road traffic information, which supports global path planning to obtain better routes [14,15]. There are many kinds of studies concerning path optimization, mainly in the field of road traffic and operations research [16], mostly applying one or more optimization objectives for path planning, but how to plan a better route in terms of time, distance, cost, etc., in real time according to the passenger’s wishes under the autonomous driving field is also an important issue in this field. Therefore, developing the best and most reasonable route for autonomous driving systems, taking into account driver requirements, driving time, cost and other factors, can facilitate people’s travel while promoting autonomous driving [17,18,19,20].
In this paper, a general framework for a route planning method based on multi-objective optimization, considering four factors (total travel distance, total travel time, total cost and travelers’ personal preference), is devised. Complex network science is applied to route planning for modeling and route generation. We summarize the main contributions of our paper as follows:
  • We address the problem of route planning for autonomous driving in the background of complex network science. It is shown that the property of the network structure may seriously influence the performance of the traffic and the efficiency of global route planning for autonomous driving.
  • We proposed a general framework of route planning method that provides a human–computer interaction page and inputs the optimal route into the autonomous driving framework for local planning, completing the overall framework for autonomous driving.
  • We evaluate the general framework of the route planning method on a real-world traffic network and the results show that our method can generate a better route based on four factors, proving the feasibility and applicability of our method and accelerating the promotion of autonomous driving.
The rest of the paper is organized as follows. A literature review concerning route planning is introduced in Section 2. In Section 3, a general framework of the route planning method, where total travel distance, total travel time, total cost and travelers’ personal preferences are concerned, is provided. Section 4 gives an evaluation on a real-world traffic network. Finally, the conclusions and future research are presented in Section 5.

2. Literature Review

Before presenting the description of the method in this paper, several existing methods are introduced. As discussed in Section 1, the goals of existing research can be roughly divided into the following optimization objectives: total travel distance, total travel time and total cost. After a careful review of the related work on the problem of route planning, it is found that most of the methods only rely on one of the factors or a combination of a few of them, which would indeed lead to a limitation of the route generation. Some of the typical route planning methods are chosen to be introduced below.
1.
Total travel distance.
In paper [21], a bilevel ant colony optimization algorithm for a capacitated electric vehicle routing problem is proposed. The vehicle routing problem is classified into two sub-problems: (1) capacitated vehicle routing problem and (2) fixed route vehicle charging problem. Assuming a set of the same vehicles, the goal of the vehicle routing problem in the research is to find an optimal route to minimize the total travel distance. The objective function of the algorithm is to minimize the total travel distance, which is defined as:
m i n f ( x ) = i V , j V , i j d i j x i j
The constraints of the algorithm contain served times of customer, charging station limitations, capacity constraints, electricity constraint and domain definition. The proposed algorithm performed better than state-of-the-art algorithms in several real-world experiments.
A bi-strategy-based optimization algorithm is derived to solve the dynamic vehicle routing problem in reference [22]. An effective scheduling generation scheme based on a permutation array, the k-nearest neighbor (kNN) heuristic based on the location information of customers for initialization and two search strategies for representation and scheduling are proposed. Similarly to the above research, a smaller total travel distance is supposed in this algorithm.
2.
Total travel time.
Paper [23] studies improved formulations and algorithmic components on the vehicle routing problem. An arc-based tracking of the time and the state of charge, which outperforms the classical node-based tracking of these values, is derived. A path-based model is proposed to avoid passing by the same station nodes. The objective function of the algorithm is to minimize the total driving and charging time, which is defined as:
m i n f ( x ) = ( i , j ) A t i j x i j + i F δ i
where A is the set of travel arc, t i j is the driving time on arc ( i , j ) and δ i represents the charging time at node i. The constraints of the algorithm contain served times of customer, the flow conservation, sufficient energy, limitation of charging time and departure time. Experiments show that taking the optimal or near-optimal charging decision is very important to produce high-quality solutions.
Paper [24] builds a fuel consumption model related to travel time and calculates the fuel volume under different travel times through the nodes and edges of the transportation network and this method effectively balances the relationship between driving time and fuel consumption under different road traffic networks. Travel time is the optimization constraint of this algorithm.
3.
Total cost.
In the paper [25], an electric vehicle routing problem under time variant energy prices is addressed and a Lagrangian relaxation and a hybrid heuristic are proposed. The impact of energy prices, time windows and fleet size are considered in the study. The objective function of the algorithm is to minimize the total cost, i.e., the total cost of charging the batteries minus the total reward earned from discharging the batteries, which is defined as:
m i n k = 1 K i V s , o d t T [ r i t k P r e t d i t k P d i s t ] + k = 1 K P n i g h t [ B b p k t T δ ( r p t k d p t k ) ]
where P n i g h t is the cost of charging per unit of time at night, P r e t is the cost of charging during period t and P d i s t represents the reward for discharging during period t. The first part of the objective function corresponds to the net cost during the planning horizon, while the second part is the cost of fully recharging all vehicles at night. The constraints of the algorithm contain served times of customer, no route ending at a customer or a station node, time feasibility of the edges leaving the customer and the depot nodes, the time windows, charge state, battery capacity and the demands.
In the paper [26], the route optimization method to balance the needs of passengers and transport companies under urban traffic is studied and a simple multi-objective optimization (SMO) algorithm is proposed to modify the existing route to generate a new feasible route. The algorithm’s optimization goal is to reduce passengers’ travel time and the operators’ travel distance.
Moreover, there are studies that tackle artificial intelligence, the technology of multi-agent systems and applications for other industries in the route problems. The paper [27] applies Automated Vehicle Guide (AGV) to the milk-run of factory logistics and improves the efficiency and economy of logistics by setting the path of AGV. In the framework of the concept of Industry 4.0, the paper [28] uses multi-agent systems to improve the efficiency of the logistic supply chain, taking into account the heterogeneous, time-varying factors.
Although there have been many studies on route planning, people’s preferences are still less taken into account, which will greatly affect the optimality of planned routes. In addition, a single goal cannot meet the practicality of route planning under the condition of autonomous driving. Therefore, it is an urgent problem to build a route planning framework for autonomous driving based on various factors.

3. Proposed Method

Given the limitation of only one or a combination of several factors, we propose to generate the optimal route considering four factors: travel time, travel distance, travel cost and personal preference. Since the personal preference would be quite different at each time for the same traveler in reality, we design a general framework for the route planning method, where a personal preference would be set for each trip. Generally, our framework for the route planning method could be applied to autonomous driving, which has an interactive interface that needs personal preference input; at the same time, the traffic information in the vehicle Internet needs to be transmitted to the ground control center. After inputting the starting point, ending point and personal preferences, the framework outputs the optimal route and transmits the route to the automatic driving framework for trajectory planning in real time.
To solve the route planning problem for autonomous driving, a complete direct graph G = ( V , L ) is used, where V is the set of all nodes in the network and L represents the set of all links in the network. In this paper, the nodes and links in the transportation network have many attributes. Let V i c be the capacity of node i, and L i j c be the capacity of the link between node i and j. D i j stands for the travel demand between nodes i and j, which would be the major factor influencing the planned route. Each link L i j has another two characteristics: the distance ( d i j ) between nodes i and j and the travel time ( t i j ) between nodes i and j.
We assume that the driverless vehicles mentioned in this paper are all fuel vehicles, which will cause increased fuel consumption when encountering traffic jams. At the same time, each vehicle has load capacity and mileage capacity and the mileage capacity of each vehicle can complete the journey it needs. At the beginning of route planning, each vehicle is located at a node in the transportation network. The time of node passing through the intersection is positively correlated with the number of intersections at the intersection. There can be no duplicate sections in the planned route and each node can only be accessed once at most. Every car can obtain instant information about road conditions at any time through the Internet of vehicles.
Based on the above problem definitions and assumptions, the goal of autonomous driving route planning can be set to minimize the comprehensive cost synthesized in four aspects (travel time, travel distance, travel cost and personal preference). The specific objective equation is as follows:
m i n α N o r ( T T i j ) × x i j + β N o r ( T D i j ) × y i j + γ N o r ( T C i j ) × z i j
where N o r ( T T i j ) , N o r ( T D i j ) , N o r ( T C i j ) are the normalization of travel time, travel distance, travel cost respectively; α , β , γ are the manually input variables of personal preferences on the normalization values; x i j , y i j , z i j represent the limited parameters of personal preference concerning time, distance and cost. These parameters (containing α , β , γ , x i j , y i j , z i j ) need to be input and determined in advance before the route planning process. The purpose of normalization is to compress the data within the range of [0, 1], whose calculation formula is:
N o r ( X ) = X X m i n X m a x X m i n
The settings and constraints of the general framework of route planning would be introduced separately as travel time, travel distance, travel cost and personal preference as follows.

3.1. Travel Time

Whether highway sections or daily commuting, driving time is a critical issue for travelers. Through the investigation of the actual road sections in the city, this paper divides the driving time into the following three parts: road driving time, intersection signal time and intersection traffic time.
The road driving time is closely related to the traffic busy degree of the road section. After observing and investigating some actual road sections, it is found that when the number of vehicles in the road section is less than 60% of the capacity, vehicles can usually pass at the free flow speed ( v f ). When the number of vehicles in the road section is less than 80% of the capacity, vehicles can usually pass at 60% of the free flow speed. When the number of vehicles in the road section is saturated, vehicles can usually pass at 35% of the free flow speed.
The intersection signal time is closely related to the driving direction of the vehicle at the intersection. Through the observation of the signal lights at several actual traffic intersections, it can be seen that the vast majority of intersections do not need to wait for the traffic signal lights when turning right and the average signal time of straight sections is lower than that of turning left.
The intersection traffic time is related to the capacity of the intersection, the number of vehicles at the intersection and the number of turnouts. The less the traffic volume at the intersection accounts for its capacity, the shorter the traffic time. The greater the number of intersections, the more complex the traffic behavior at the intersection and the longer the traffic time.
Based on the above considerations, there should be several constraints as below:
t i j d i j 0.35 v f
t n o d e ( x ) t n o d e ( y ) d e g r e e ( x ) d e g r e e y
t r i g h t t s t r a i g h t t l e f t
where t i j represents the travel time between nodes ( i , j ) , d i j is the distance between nodes ( i , j ) , d e g r e e ( x ) represents the number of intersections at node x, t n o d e ( x ) represents the time to pass through node x, t r i g h t represents the right turn time, t s t r a i g h t represents the time to go straight through the intersection and t l e f t represents the left turn time. Constraints (6) ensure that the car avoids traffic jams. Constraints (7) and (8) limit the two situations of the intersection signal time.

3.2. Travel Distance

Travel distance is another indicator that can measure the optimality of the route planning method. Although the travel cost is not completely determined by distance, many people still measure the economic consumption of this journey by travel distance. Travel distance is easy to calculate after the planned route is determined. The constraints resulting from travel distance should be:
E c a r P c a r × D i s t a n c e
where E c a r represents the economic consumption of the car, P c a r represents petrol consumption rate, D i s t a n c e represents the travel distance. Constraints (9) ensure that the remaining fuel of the car can cover this distance.

3.3. Travel Cost

As mentioned above, some travelers consider the travel cost to be only related to the travel distance. However, fuel consumption varies greatly at different speeds and fuel consumption will also occur when the car stops at a traffic post. In addition, fuel consumption when starting a vehicle and when braking is high, which makes the more turnouts in a planned route, the greater the fuel consumption. The constraints resulting from travel cost should be:
C c a r = s S t a t e C s S t a t e = [ t r a v e l , s t o p , S t a r t , b r a k e ]
C h i g h C l o w
where C c a r represents the car fuel consumption, C S represents the car fuel consumption in different states, C h i g h represents the car fuel consumption at high speed and C l o w represents the car fuel consumption at low speed. Constraints (10) ensure that the fuel consumption of the car is distinguished according to the running state. Constraints (11) distinguish fuel consumption at low speed and high speed.

3.4. Personal Preference

Personal preference is the most important factor in our general framework of the route planning method, since the other three factors (travel time, travel distance and travel cost) are affected by personal preference. Personal preference should be entered into the auto drive system as known conditions before route planning begins, including: α , β , γ , x i j , y i j , z i j . α , β , γ are the manually input variables of personal preference on the normalization values; x i j , y i j , z i j represent the limited parameters of personal preference concerning time, distance and cost. α , β , γ calculate the weight parameters of the comprehensive cost. x i j , y i j , z i j represent drivers’ more specific needs for time, distance and cost. For instance, x i j could represent an upper limit value of the travel time of one traveler; y i j limits whether the candidate planned route could be chosen; z i j could be the expected value of fuel consumption. The constraints in this paper should be:
α , β , γ [ 0 , 1 ]
α + β + γ = 1
x i j = t i j > t l i m i t 1 t i j < t l i m i t
y i j = d i j > 1.5 d m i n 1 d i j < 1.5 d m i n
z i j = E i j > E l i m i t 1 E i j < E l i m i t
where t l i m i t is the maximum travel time between nodes ( i , j ) set by the driver, d m i n is the minimum travel distance between nodes ( i , j ) set by the driver and E l i m i t is the maximum travel cost between nodes ( i , j ) set by the driver. Constraints (12) and (13) ensure that the weight parameters meet the basic conditions. Constraints (14)–(16) define the specific needs of autonomous driving.
Through constraints (6)–(8), the travel time of a car under different traffic flows, intersections and turning directions can be limited and the set travel time is more reasonable. Through constraint (9), it is possible to check whether the travel distances meet the constraint after route planning and remove unreasonable routes. The travel cost under different driving conditions can be set by constraints (10) and (11). The weight values of personal preference can be defined by constraints (12) and (13) and the critical values of travel time, travel distance and travel cost can be set by constraints (14)–(16).
As shown in Algorithm 1, after all possible paths and personal preference values are given, all possible paths are traversed and the travel times, travel distances and travel costs between nodes are calculated to obtain the comprehensive cost for a specific path, and then costs of all possible paths are sorted to return to the best path and the lowest cost.
Algorithm 1 Optimization method procedure
Input: value
Output: bestset
 1:  α , β , γ , d m i n , E l i m i t v a l u e
 2:  m i n c o s t , b e s t i n d e x I n f , 0
 3:  n number of (the length of s e t )
 4: while  i n  do
 5:       m number of (the length of s e t [ i ] )
 6:      for j in m do
 7:            c o s t α N o r ( T T j ) × x j + β N o r ( T D j ) × y j + γ N o r ( T C j ) × z j
 8:           if  m i n c o s t c o s t  then
 9:             m i n c o s t c o s t
 10:            b e s t i n d e x i
 11:          end if
 12:     end for
 13: end while
 14:  b e s t s e t s e t [ i ]
 15: return bestset

4. Experiments and Results

In this section, we evaluate the effectiveness of the general framework of the route planning method based on multi-objective optimization on a real-world transportation network of Sioux Falls, the largest city in South Dakota, USA [29]. We introduce network analysis into the traffic network. The intersections are abstracted as nodes and the streets are abstracted as links; there are a total of 24 nodes, 76 links and 360,600 trips in the Sioux Falls network, which is shown in Figure 1 as the network structure in the map and the complex network model.
Figure 2 shows basic statistics for the traffic network used in our paper, where traffic flow is given in the number of vehicles per day. The number of branches at an intersection is called the degree to describe the complexity of the intersection. In Figure 2a, the degree of the nodes in the traffic network is 2, 3, 4, 5, respectively, and only node 10 has the largest degree of 5. More than half of the nodes have degree 3; the complexity distribution of nodes is reasonable. The ratio of the number of times that a node acts as the intermediate node of the shortest path between other nodes to the total number of paths is called betweenness; it indicates the importance of one node to other nodes. In Figure 2b, most of the nodes’ betweenness is less than 0.15 and only two nodes have a betweenness between 0.21 and 0.24; this shows that the number of times each node acts as the center is uniform. In Figure 2c, as for traffic flow in the network, the numbers distribute from 4000 to 24,000, and 25 links is the only the number of links with flow between 8000 and 10,000; this is the only one that occupies more than 10 links. The data used in this paper have obvious characteristics of urban traffic network, information flow and so on and can be used as a dataset to verify autonomous driving route planning.
To show the effectiveness of our work on different trips in the transportation network, we evaluate the methods with six different OD (Origin Destination) pairs, (7, 24), (1, 20), (1, 19), (2, 22), (9, 19), (16, 24). Since personal preference would significantly influence the comprehensive cost of the route planning process, which is the objective function of our method, the same t l i m i t , d m i n and E l i m i t are used to compare the cost under different typical weights α , β , γ in this experiment. We search for all the candidate routes by performing a variant of Breath-First Search on each OD pair. Table 1 presents the optimal comprehensive costs for six different OD pairs with four parameter settings, which are (0.33, 0.33, 0.33), (0.2, 0.4, 0.4), (0.3, 0.2, 0.5), (0.5, 0.3, 0.2). After comparing the values with different parameters, it is shown that the optimal comprehensive costs of the same OD pair with different parameters are quite different. In addition, the optimal comprehensive costs of different OD pairs with the same parameter setting are very similar in the table. It is notable that the parameter of α , which is related to the total distance of the route, has the most influence on the values, since the traffic jam data are missing in the dataset and this would influence the travel time and travel cost seriously.
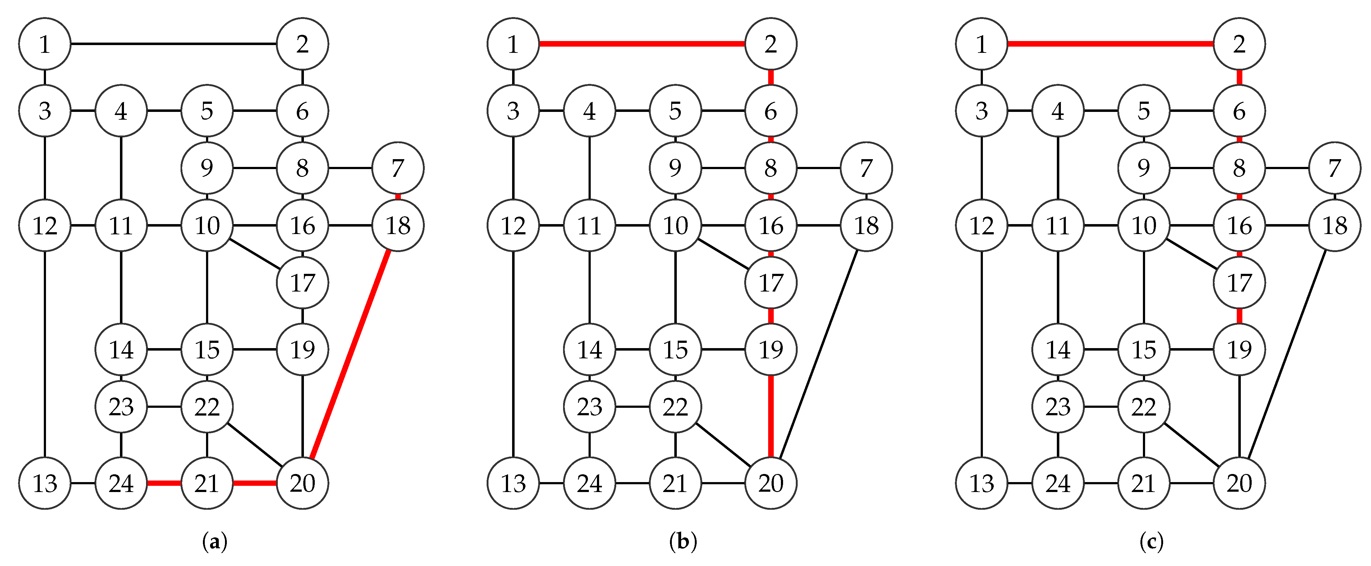
Figure 3 visualizes the optimal routes for six different OD pairs with parameters of (0.3, 0.3, 0.3). After a series of optimization operations, we obtained the optimal route of the six OD pairs shown in Figure 3 when the parameter is set to (0.3, 0.3, 0.3). In the experiment shown in the figure, we set the influence weight parameters of travel distance, travel time and travel cost on the optimization objectives to be equal and the route scheme under this parameter setting is more in line with the situation that people need to measure and consider many aspects in their daily life. For example, in Figure 3e, the route (9, 10, 15, 19) and the route (9, 10, 17, 19) are very similar in terms of the travel distance and the number of intersections, but since intersection 17 has fewer branches (road complexity) than intersection 15, the route in Figure 3e is the optimal route.
Through the above analysis of the results, it can be found that our framework can meet the requirements of designing better routes for travelers concerning travel distance, travel time, travel cost, personal preference and other aspects after the road traffic information has been collected. Compared with the paper [21,22,23,24,25,26,27,28], our framework comprehensively considers multiple objectives, generates the optimal route that meets the driver’s requirements and balances the relationship between total costs and personal preferences, which proves the feasibility and applicability of the general framework, completes the automatic driving framework and improves the safety and economy of automatic driving vehicles.

5. Conclusions

In this paper, we proposed a general framework of the route planning method based on multi-objective optimization, considering four factors: travel time, travel distance, travel cost and personal preference. The route planning problem for autonomous driving is abstracted as an optimization problem with multiple variable parameters. We evaluate our general framework of route planning on a real-world transportation network with different settings of the parameters and OD pairs. The general framework shows its good performance on the change of the traveler’s demands. Our work provides a route planning method that can be adjusted on demand so that pedestrians can get the best route in many aspects according to their own needs and thus makes an important contribution to the development of high-level and reasonable autonomous driving. However, in this paper, only one road was tested and no migration experiments or comparative experiments were conducted. In the future, we should continue to improve the relevant work and introduce the traffic jam data into the model calculation to make the overall framework more convincing.

Author Contributions

Conceptualization, M.-Y.Z. and S.-C.Y.; methodology, M.-Y.Z.; validation, M.-Y.Z. and Y.-G.C.; formal analysis, Y.-Y.C. and J.-Y.L.; investigation, X.-J.F.; data curation, Y.-Y.C. and J.-Y.L.; writing—original draft preparation, M.-Y.Z.; writing—review and editing, S.-C.Y. and Y.-Y.C.; visualization, X.-J.F. and Y.-Y.C.; supervision, Y.-G.C. All authors have read and agreed to the published version of the manuscript.

Funding

This research was funded by National Key R&D Program of China, grant number 2021YFF0601100.

Institutional Review Board Statement

Not applicable.

Informed Consent Statement

Not applicable.

Data Availability Statement

All data is available with an open source license at https://github.com/bstabler/TransportationNetworks (accessed on 3 August 2022).

Conflicts of Interest

The authors declare no conflict of interest.

References

  1. Tabani, H.; Pujol, R.; Alcon, M.; Moya, J.; Abella, J.; Cazorla, F.J. ADBench: Benchmarking autonomous driving systems. Computing 2022, 104, 481–502. [Google Scholar] [CrossRef]
  2. Shafiee, M.J.; Jeddi, A.; Nazemi, A.; Fieguth, P.; Wong, A. Deep Neural Network Perception Models and Robust Autonomous Driving Systems: Practical Solutions for Mitigation and Improvement. IEEE Signal Process. Mag. 2021, 38, 22–30. [Google Scholar] [CrossRef]
  3. Rizzoli, G.; Barbato, F.; Zanuttigh, P. Multimodal Semantic Segmentation in Autonomous Driving: A Review of Current Approaches and Future Perspectives. Technologies 2022, 10, 90. [Google Scholar] [CrossRef]
  4. Kolodko, J.; Vlacic, L. Cooperative autonomous driving at the Intelligent Control Systems Laboratory. Intell. Syst. IEEE 2003, 18, 8–11. [Google Scholar] [CrossRef]
  5. Loureiro, R.; Benmoussa, S.; Touati, Y.; Merzouki, R.; Bouamama, B.O. Integration of Fault Diagnosis and Fault-Tolerant Control for Health Monitoring of a Class of MIMO Intelligent Autonomous Vehicles. IEEE Trans. Veh. Technol. 2014, 63, 30–39. [Google Scholar] [CrossRef]
  6. Cheng, J.; Cheng, J.; Zhou, M.; Liu, F.; Gao, S.; Liu, C. Routing in Internet of Vehicles: A Review. IEEE Trans. Intell. Transp. Syst. 2015, 16, 2339–2352. [Google Scholar] [CrossRef]
  7. Mahmud, K.; Town, G.E.; Morsalin, S.; Hossain, M.J. Integration of electric vehicles and management in the Internet of energy. Renew. Sustain. Energy Rev. 2018, 82, 4179–4203. [Google Scholar] [CrossRef]
  8. Maglaras, L.A.; Al-Bayatti, A.H.; He, Y.; Wagner, I.; Janicke, H. Social Internet of Vehicles for Smart Cities. J. Sens. Actuator Netw. 2016, 5, 3. [Google Scholar] [CrossRef]
  9. Lin, F.; Hsieh, H.-P. Multicriteria Route Planning for In-Operation Mass Transit under Urban Data. Appl. Sci. 2022, 12, 3127. [Google Scholar] [CrossRef]
  10. Wang, Z.; Niu, L. A Data Model for Using OpenStreetMap to Integrate Indoor and Outdoor Route Planning. Sensors 2018, 18, 2100. [Google Scholar] [CrossRef]
  11. Tula, H.; Dessouky, M.; Ioannou, P.A. Truck route planning in nonstationary stochastic networks with time windows at customer locations. IEEE Trans. Intell. Transp. Syst. 2006, 7, 51–62. [Google Scholar]
  12. Iakovou, E.; Douligeris, C.; Huan, L.I. A Maritime Global Route Planning Model for Hazardous Materials Transportation. Transp. Sci. 1999, 33, 34–48. [Google Scholar] [CrossRef]
  13. Li, Z.; Kolmanovsky, I.; Atkins, E.; Lu, J.; Filev, D.P.; Michelini, J. Road Risk Modeling and Cloud-Aided Safety-Based Route Planning. IEEE Trans. Cybern. 2016, 46, 2473–2483. [Google Scholar] [CrossRef] [PubMed]
  14. Lu, H.; Liu, Q.; Tian, D.; Li, Y.; Kim, H.; Serikawa, S. The Cognitive Internet of Vehicles for Autonomous Driving. IEEE Netw. 2019, 33, 65–73. [Google Scholar] [CrossRef]
  15. Wang, Y.; Yang, X.; Liang, H.; Liu, Y. A Review of the Self-Adaptive Traffic Signal Control System Based on Future Traffic Environment. J. Adv. Transp. 2018, 2018, 1096123.1–1096123.12. [Google Scholar] [CrossRef]
  16. Kakarountas, A.; Spathoulas, G.; Trivellas, P.; Reklitis, P.; Malindretos, G. Survey on Routing Services for Smart Delivery in Urban Environments. In Proceedings of the 2020 5th South-East Europe Design Automation, Computer Engineering, Computer Networks and Social Media Conference (SEEDA-CECNSM), Corfu, Greece, 25–27 September 2020; pp. 1–5. [Google Scholar]
  17. Li, X.; Tang, B.; Ball, J.; Doude, M.; Carruth, D.W. Rollover-Free Path Planning for Off-Road Autonomous Driving. Electronics 2019, 8, 614. [Google Scholar] [CrossRef]
  18. Kim, H.; Choi, Y. Autonomous Driving Robot That Drives and Returns along a Planned Route in Underground Mines by Recognizing Road Signs. Appl. Sci. 2021, 11, 10235. [Google Scholar] [CrossRef]
  19. Geng, G.; Wu, Z.; Jiang, H.; Sun, L.; Duan, C. Study on Path Planning Method for Imitating the Lane-Changing Operation of Excellent Drivers. Appl. Sci. 2018, 8, 814. [Google Scholar] [CrossRef]
  20. Brumitt, B.; Stentz, A.; Hebert, M. Autonomous Driving with Concurrent Goals and Multiple Vehicles: Mission Planning and Architecture. Auton. Robot. 2001, 11, 103–115. [Google Scholar] [CrossRef]
  21. Jia, Y.-H.; Mei, Y.; Zhang, M. A Bilevel Ant Colony Optimization Algorithm for Capacitated Electric Vehicle Routing Problem. IEEE Trans. Cybern. 2021, 52, 1–14. [Google Scholar] [CrossRef]
  22. Lu, J.; Wang, L. A Bi-Strategy Based Optimization Algorithm for the Dynamic Capacitated Electric Vehicle Routing Problem. In Proceedings of the 2019 IEEE Congress on Evolutionary Computation (CEC), Wellington, New Zealand, 10–13 June 2019; pp. 646–653. [Google Scholar]
  23. Froger, A.; Mendoza, J.E.; Jabali, O.; Laporte, G. Improved formulations and algorithmic components for the electric vehicle routing problem with nonlinear charging functions. Comput. Oper. Res. 2019, 104, 256–294. [Google Scholar] [CrossRef]
  24. Deng, L.; Hajiesmaili, M.H.; Chen, M.; Zeng, H. Energy-Efficient Timely Transportation of Long-Haul Heavy-Duty Trucks. IEEE Trans. Intell. Transp. Syst. 2018, 19, 2099–2113. [Google Scholar] [CrossRef]
  25. Lin, B.; Ghaddar, B.; Nathwani, J. Electric vehicle routing with charging/discharging under time-variant electricity prices. Transp. Res. Part Emerg. Technol. 2021, 130, 103285. [Google Scholar] [CrossRef]
  26. Fan, L.; Mumford, C.L.; Evans, D. A simple multi-objective optimization algorithm for the urban transit routing problem. In Proceedings of the 2009 IEEE Congress on Evolutionary Computation, Trondheim, Norway, 18–21 May 2009; pp. 1–7. [Google Scholar]
  27. Afonso, T.; Alves, A.C.; Carneiro, P.; Vieira, A. Simulation pulled by the need to reduce wastes and human effort in an intralogistics project. Int. J. Ind. Eng. Manag. 2021, 12, 274–285. [Google Scholar] [CrossRef]
  28. Rahimi, Y.; Matyshenko, I.; Kapitan, R.; Pronchakov, Y. Organization the information support of full logistic supply chains within the Industry 4.0. Int. J. Qual. Res. 2020, 14, 1279–1290. [Google Scholar] [CrossRef]
  29. Transportation Networks for Research Core Team. Transportation Networks for Research. Available online: https://github.com/bstabler/TransportationNetworks (accessed on 3 August 2022).
Figure 1. Transportation network used for experiments, (a) Map of Sioux Falls, (b) Complex network model of Sioux Falls.
Figure 1. Transportation network used for experiments, (a) Map of Sioux Falls, (b) Complex network model of Sioux Falls.
Applsci 12 11817 g001
Figure 2. Basic statistics for traffic network of Sioux Falls, (a) Degree distribution, (b) Betweenness distribution, (c) Traffic flow distribution.
Figure 2. Basic statistics for traffic network of Sioux Falls, (a) Degree distribution, (b) Betweenness distribution, (c) Traffic flow distribution.
Applsci 12 11817 g002
Figure 3. Optimal routes for six different OD pairs with parameters of (0.3, 0.3, 0.3). (a) Optimal route of OD pair (7, 24), (b) Optimal route of OD pair (1, 20), (c) Optimal route of OD pair (1, 19), (d) Optimal route of OD pair (2, 22), (e) Optimal route of OD pair (9, 19), (f) Optimal route of OD pair (16, 24).
Figure 3. Optimal routes for six different OD pairs with parameters of (0.3, 0.3, 0.3). (a) Optimal route of OD pair (7, 24), (b) Optimal route of OD pair (1, 20), (c) Optimal route of OD pair (1, 19), (d) Optimal route of OD pair (2, 22), (e) Optimal route of OD pair (9, 19), (f) Optimal route of OD pair (16, 24).
Applsci 12 11817 g003aApplsci 12 11817 g003b
Table 1. The optimal comprehensive cost for six different OD pairs with four parameter settings.
Table 1. The optimal comprehensive cost for six different OD pairs with four parameter settings.
Origin/Destination Pairs(7, 24)(1, 20)(1, 19)(2, 22)(9, 19)(16, 24)
(0.33, 0.33, 0.33)0.320.310.300.270.290.30
(0.2, 0.4, 0.4)0.190.180.200.180.170.21
(0.3, 0.2, 0.5)0.310.270.280.260.260.31
(0.5, 0.3, 0.2)0.480.460.460.450.430.46
Publisher’s Note: MDPI stays neutral with regard to jurisdictional claims in published maps and institutional affiliations.

Share and Cite

MDPI and ACS Style

Zhang, M.-Y.; Yang, S.-C.; Feng, X.-J.; Chen, Y.-Y.; Lu, J.-Y.; Cao, Y.-G. Route Planning for Autonomous Driving Based on Traffic Information via Multi-Objective Optimization. Appl. Sci. 2022, 12, 11817. https://doi.org/10.3390/app122211817

AMA Style

Zhang M-Y, Yang S-C, Feng X-J, Chen Y-Y, Lu J-Y, Cao Y-G. Route Planning for Autonomous Driving Based on Traffic Information via Multi-Objective Optimization. Applied Sciences. 2022; 12(22):11817. https://doi.org/10.3390/app122211817

Chicago/Turabian Style

Zhang, Meng-Yue, Shi-Chun Yang, Xin-Jie Feng, Yu-Yi Chen, Jia-Yi Lu, and Yao-Guang Cao. 2022. "Route Planning for Autonomous Driving Based on Traffic Information via Multi-Objective Optimization" Applied Sciences 12, no. 22: 11817. https://doi.org/10.3390/app122211817

APA Style

Zhang, M.-Y., Yang, S.-C., Feng, X.-J., Chen, Y.-Y., Lu, J.-Y., & Cao, Y.-G. (2022). Route Planning for Autonomous Driving Based on Traffic Information via Multi-Objective Optimization. Applied Sciences, 12(22), 11817. https://doi.org/10.3390/app122211817

Note that from the first issue of 2016, this journal uses article numbers instead of page numbers. See further details here.

Article Metrics

Back to TopTop