Experimental Analysis of the Thermal Performance Enhancement of a Vertical Helical Coil Heat Exchanger Using Copper Oxide-Graphene (80-20%) Hybrid Nanofluid
Abstract
1. Introduction
2. Experimental Procedure
2.1. Hybrid Nanofluid Preparation
2.2. Characterization
2.3. Experimental Setup
2.4. Calculation of Thermophysical Properties
3. Results and Discussion
4. Conclusions
- -
- Increase in suspended CuO-Gp nanoparticles mass fraction, their clustering, and random collisions increase resulting in an increase in the hybrid nanofluid thermal properties.
- -
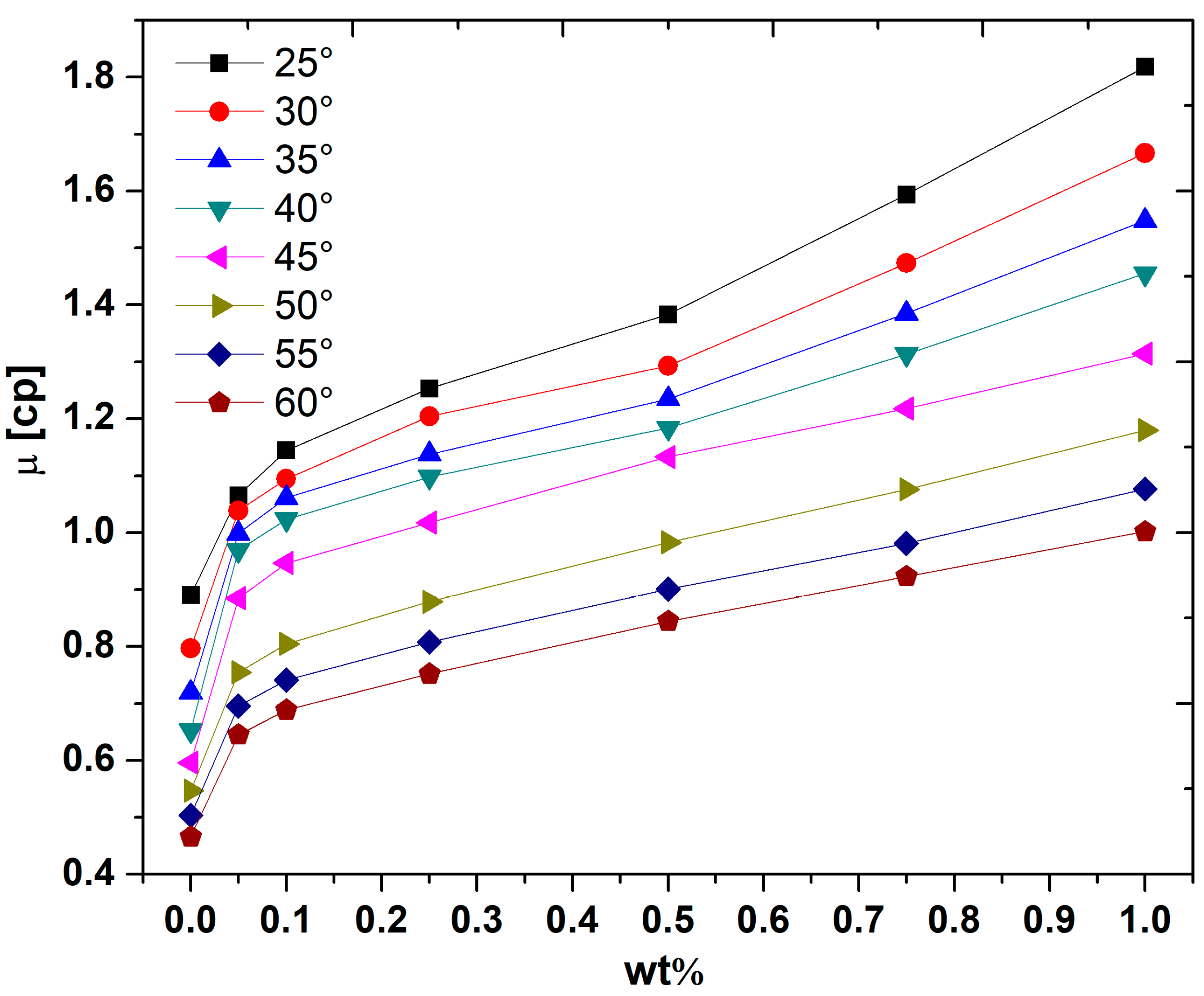
- The increase in temperature leads to a reduction in viscosity while the rise of nanoparticles mass fraction enhances the nanofluid viscosity.
- -
- At the coil outlet and set against the pure distilled water, an enhancement of 23% in the heat transfer coefficient was achieved with nanoparticles mass fraction wt% = 0.2%, while it is as high as 79.6% for wt% = 1%.
- -
- Increase in the Reynolds number is accompanied by a significant increase in heat transfer coefficient which reaches its maximum of 1173 W·m−2·K−1 for wt% = 1% and Re = 1843.
Author Contributions
Funding
Institutional Review Board Statement
Informed Consent Statement
Data Availability Statement
Conflicts of Interest
Nomenclature
| A | area (m2) | |
| Cp | specific heat (J·kg−1·°C−1) | |
| D | Internal tube diameter (m) | |
| Dc | helix diameter (m) | |
| Heat transfer coefficient (W·m−2) | ||
| k | Thermal conductivity (W·m·K−1) | |
| K | shape factor | |
| Heat flux (W) | ||
| Re | Reynolds number | |
| Mass fraction | ||
| Greek Symbols | ||
| Volume fraction | ||
| µ | dynamic viscosity (kg·m−1·s−1) | |
| Density (kg·m−3) | ||
| Superscripts | ||
| av | Average | |
| p | Nanoparticles | |
| bf | Base fluid | |
References
- Prabhanjan, D.G.; Raghavan, G.S.V.; Rennie, T.J. Comparison of heat transfer rates between a straight tube heat exchanger and a helically coiled heat exchanger. Int. Commun. Heat Mass Transf. 2002, 29, 185–191. [Google Scholar] [CrossRef]
- Ghobadi, M.; Muzycha, Y.S. A review of heat transfer and pressure drop correlations for laminar flow in curved circular ducts. Heat Transf. Eng. 2016, 37, 815–839. [Google Scholar] [CrossRef]
- Huminic, G.; Huminic, A. Heat transfer and flow characteristics of conventional fluids and nanofluids in curved tubes: A review. Renew. Sustain. Energy Rev. 2016, 58, 1327–1347. [Google Scholar] [CrossRef]
- Sundar, L.S.; Singh, M.K.; Sousa, A.C.M. Enhanced heat transfer and friction factor of MWCNT—Fe3O4/water hybrid nanofluids. Int. Commun. Heat Mass Transf. 2014, 52, 73–83. [Google Scholar] [CrossRef]
- Babar, H.; Muhammad, H. Airfoil shaped pin-fin heat sink: Potential evaluation of ferric oxide and titania nanofluids. Energy Convers. Manag. 2019, 202, 112194. [Google Scholar] [CrossRef]
- Barzegarian, R.; Moraveji, M.K.; Aloueyan, A. Experimental investigation on heat transfer characteristics and pressure drop of BPHE (brazed plate heat exchanger) using TiO2–water nanofluid. Exp. Ther. Fluid Sci. 2016, 74, 11–18. [Google Scholar] [CrossRef]
- Tiwari, A.K.; Ghosh, P.; Sarkar, J. Heat transfer and pressure drop characteristics of CeO2/water nanofluid in plate heat exchanger. Appl. Ther. Eng. 2013, 57, 24–32. [Google Scholar] [CrossRef]
- Kumar, P.C.M.; Kumar, J.; Suresh, S. Experimental investigation on convective heat transfer and friction factor in a helically coiled with Al2O3/water nanofluid. J. Mech. Sci. Technol. 2013, 27, 239–245. [Google Scholar] [CrossRef]
- Wu, Z.; Wang, L.; Sunden, B. Pressure drop and convective heat transfer of water and nanofluids in a double-pipe helically coiled heat exchanger. Appl. Ther. Eng. 2013, 60, 266–274. [Google Scholar] [CrossRef]
- Farajollahi, B.; Etemad, S.G.; Hojjat, M. Heat transfer of nanofluids in a shell and tube heat exchanger. Int. J. Heat Mass Transf. 2010, 53, 12–17. [Google Scholar] [CrossRef]
- Mukeshkumar, P.C.; Kumar, J.; Suresh, S.; Babu, K.P. ExpSerimental study on parallel and counter flow configuration of a shell and helically coiled tube heat exchanger using Al2O3/water nanofluid. J. Mater. Environ. Sci. 2012, 3, 766–775. [Google Scholar]
- Huminic, G.; Huminic, A. Heat transfer characteristics in double tube helical heat exchangers using nanofluids. Int. J. Heat Mass Transf. 2011, 54, 4280–4287. [Google Scholar] [CrossRef]
- Jamshidi, N.; Farhadi, M.; Sedighi, K.; Ganji, D.D. Optimization of design parameters for nanofluids flowing inside helical coils. Int. Commun. Heat Mass Transf. 2012, 39, 311–317. [Google Scholar] [CrossRef]
- Kumar, P.C.M.; Kumar, J.; Tamilarasan, R.; Sendhilnathan, S.; Suresh, S. Heat transfer enhancement and pressure drop analysis in helically coiled tube using Al2O3/water nanofluid. J. Mech. Sci. Technol. 2014, 28, 1841–1847. [Google Scholar] [CrossRef]
- Kumar, V.; Faizee, B.; Mridha, M.; Nigam, K.D.P. Numerical studies of a tube-in-tube helically coiled heat exchanger. Chem. Eng. Process. 2008, 47, 2287–2295. [Google Scholar] [CrossRef]
- Kumar, P.C.M.; Palanisamy, K.; Kumar, J.; Tamilarasan, R.; Sendhilnathan, S. CFD analysis of heat transfer and pressure drop in helically coiled heat exchangers using Al2O3/water nanofluid. J. Mech. Sci. Technol. 2015, 29, 697–705. [Google Scholar] [CrossRef]
- Hashemi, S.M.; Behabadi, M.A.A. An empirical study on heat transfer and pressure drop characteristics of CuO-base oil nanofluid flow in a horizontal helically coiled tube under constant heat flux. Int. Commun. Heat Mass Transf. 2012, 39, 144–151. [Google Scholar] [CrossRef]
- Saidur, R.; Leong, K.Y.; Mohammad, H.A. A review on applications and challenges of nanofluids. Renew. Sustain. Energy Rev. 2011, 15, 1646–1668. [Google Scholar] [CrossRef]
- Kumar, P.C.M.; Chandrasekar, M. A review on helically coiled tube heat exchanger using nanofluids. Mater. Today Proc. 2020, 21, 137–141. [Google Scholar] [CrossRef]
- Kumar, P.C.M.; Kumar, J.; Suresh, S.; Babu, K.P. Heat transfer enhancement in a helically coiled tube with Al2O3/water nanofluid under laminar flow condition. Int. J. Nanosci. 2012, 11, 1250029. [Google Scholar] [CrossRef]
- Kumar, P.C.M.; Kumar, J.; Sendhilnathan, S.; Tamilarasan, R.; Suresh, S. Heat transfer and pressure drop Al2O3 nanofluid as coolant in shell and helically coiled tube heat exchanger. Bulg. Chem. Comm. 2014, 46, 743–749. [Google Scholar]
- Wang, L.; Wu, Z.; Sundén, B.; Wadsö, L. Aqueous carbon nanotube nanofluids and their thermal performance in a helical heat exchanger. Appl. Ther. Eng. 2016, 96, 364–371. [Google Scholar]
- Akhavan-Behabadi, M.A.; Fakoor-Pakdaman, M.; Ghazvini, M. Experimental investigation on the convective heat transfer of nanofluid flow inside vertical helically coiled tubes under uniform all temperature condition. Int. Commun. Heat Mass Transf. 2012, 39, 556–564. [Google Scholar] [CrossRef]
- Leong, K.Y.; Saidur, R.; Khairulmaini, M.; Michael, Z.; Kamyar, A. Heat transfer and entropy analysis of three different types of heat exchangers operated with nanofluids. Int. Commun. Heat Mass Transf. 2012, 39, 838–843. [Google Scholar] [CrossRef]
- Srinivas, T.; Vinod, A.V. Heat transfer intensification in a shell and helical coil heat exchanger using water-based nanofluids. Chem. Eng. Process. 2016, 102, 1–8. [Google Scholar] [CrossRef]
- Rakhsha, M.; Akbaridoust, F.; Abbassi, A.; Majid, S.A. Experimental and numerical investigations of turbulent forced convection flow of nano-fluid in helical coiled tubes at constant surface temperature. Powder Technol. 2015, 283, 178–189. [Google Scholar] [CrossRef]
- Tohidi, A.; Ghaffari, H.; Nasibi, H.; Mujumdar, A.S. Heat transfer enhancement by combination of chaotic advection and nanofluids flow in helically coiled tube. Appl. Ther. Eng. 2015, 86, 91–105. [Google Scholar] [CrossRef]
- Kannadasan, N.; Ramanathan, K.; Suresh, S. Comparison of heat transfer and pressure drop in horizontal and vertical helically coiled heat exchanger with Cuo/water-based nanofluids. Exp. Ther. Fluid Sci. 2012, 42, 64–70. [Google Scholar] [CrossRef]
- Behrangzade, A.; Heyhat, M.M. The effect of using nano-silver dispersed water based nanofluid as a passive method for energy efficiency enhancement in a plate heat exchanger. Appl. Ther. Eng. 2016, 102, 311–317. [Google Scholar] [CrossRef]
- Kabeel, A.E.; Maaty, T.A.E.; Samadony, Y.E. The effect of using nanoparticles on corrugated plate heat exchanger performance. Appl. Ther. Eng. 2013, 52, 221–229. [Google Scholar] [CrossRef]
- Mohammed, H.A.; Bhaskaran, G.; Shuaib, N.H.; Abu-Mulaweh, H.I. Influence of nanofluids on parallel flow square microchannel heat exchanger performance. Int. Commun. Heat Mass Transf. 2011, 38, 1–9. [Google Scholar] [CrossRef]
- Sundar, L.S.; Shaik, F. Heat transfer and exergy efficiency analysis of 60% water and 40% ethylene glycol mixture diamond nanofluids flow through a shell and helical coil heat exchanger. Int. J. Ther. Sci. 2023, 184, 107901. [Google Scholar] [CrossRef]
- Fuxi, S.; Sina, N.; Ahmadi, A.; Malekshah, E.H.; Mahmoud, M.Z.; Aybar, H.S. Effect of different pitches on the 3D helically coiled shell and tube heat exchanger filled with a hybrid nanofluid: Numerical study and artificial neural network modeling. Eng. Anal. Bound. Elem. 2022, 143, 755–768. [Google Scholar] [CrossRef]
- Singh, K.; Sharma, S.K.; Gupta, S.M. An experimental investigation of hydrodynamic and heat transfer characteristics of surfactant-water solution and CNT nanofluid in a helical coil-based heat exchanger. Mater. Today Proc. 2021, 43, 3896–3903. [Google Scholar] [CrossRef]
- Hasan, M.J.; Ahmed, S.F.; Bhuiyan, A.A. Geometrical and coil revolution effects on the performance enhancement of a helical heat exchanger using nanofluids. Case Stud. Ther. Eng. 2022, 35, 102106. [Google Scholar] [CrossRef]
- Tuncer, A.D.; Khanlari, A.; Sozen, A.; Gürbüz, E.Y.; Variyenli, H.I. Upgrading the performance of shell and helically coiled heat exchangers with new flow path by using TiO2/water and CuO–TiO2/water nanofluids. Int. J. Ther. Sci. 2023, 183, 107831. [Google Scholar] [CrossRef]
- Lee, S.; Choi, S.S.; Li, S.A.; Eastman, J.A. Measuring of thermal conductivity of fluids containing oxide nanoparticles. J. Heat Transf. 1999, 121, 280–289. [Google Scholar] [CrossRef]
- Pak, B.C.; Cho, Y.I. Hydrodynamic and heat transfer study of Dispersed fluids with submicron metallic oxide particles. Exp. Heat Transf. Int. J. 1998, 11, 151–170. [Google Scholar] [CrossRef]
- Brese, N.; O’keeffe, M.; Ramakrishna, B.; Von Dreele, R. Low-temperature structures of CuO and AgO and their relationships to those of MgO and PdO. J. Solid State Chem. 1990, 89, 184–190. [Google Scholar] [CrossRef]











| Peak Position, 2θ (o) | 26.5 | 32.5 | 35.5 | 38.7 | 48.7 | 53.4 | 58.3 | 61.5 | 66.1 | 68.0 | 72.4 | 75.1 |
| Crystallite size, L (nm) | 20.2 | 28.2 | 24.1 | 18.4 | 20.0 | 17.5 | 14.8 | 16.8 | 9.4 | 15.8 | 24.4 | 16.7 |
Publisher’s Note: MDPI stays neutral with regard to jurisdictional claims in published maps and institutional affiliations. |
© 2022 by the authors. Licensee MDPI, Basel, Switzerland. This article is an open access article distributed under the terms and conditions of the Creative Commons Attribution (CC BY) license (https://creativecommons.org/licenses/by/4.0/).
Share and Cite
Omri, M.; Aich, W.; Rmili, H.; Kolsi, L. Experimental Analysis of the Thermal Performance Enhancement of a Vertical Helical Coil Heat Exchanger Using Copper Oxide-Graphene (80-20%) Hybrid Nanofluid. Appl. Sci. 2022, 12, 11614. https://doi.org/10.3390/app122211614
Omri M, Aich W, Rmili H, Kolsi L. Experimental Analysis of the Thermal Performance Enhancement of a Vertical Helical Coil Heat Exchanger Using Copper Oxide-Graphene (80-20%) Hybrid Nanofluid. Applied Sciences. 2022; 12(22):11614. https://doi.org/10.3390/app122211614
Chicago/Turabian StyleOmri, Mohamed, Walid Aich, Hatem Rmili, and Lioua Kolsi. 2022. "Experimental Analysis of the Thermal Performance Enhancement of a Vertical Helical Coil Heat Exchanger Using Copper Oxide-Graphene (80-20%) Hybrid Nanofluid" Applied Sciences 12, no. 22: 11614. https://doi.org/10.3390/app122211614
APA StyleOmri, M., Aich, W., Rmili, H., & Kolsi, L. (2022). Experimental Analysis of the Thermal Performance Enhancement of a Vertical Helical Coil Heat Exchanger Using Copper Oxide-Graphene (80-20%) Hybrid Nanofluid. Applied Sciences, 12(22), 11614. https://doi.org/10.3390/app122211614

